Онлайн книга «Объясняя мир. Истоки современной науки»
|
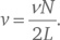
Теперь рассмотрим струну какого-нибудь музыкального инструмента. Пусть ее длина равна L. Амплитуда колебаний должна равняться нулю на обоих концах струны, в точках ее крепления. Это условие ограничивает возможные длины волн синусоидальных составляющих, на которые раскладывается любое частное колебания струны. Как мы отметили, расстояние между любыми точками синусоидальной волны, где амплитуда колебания равна нулю, должно быть кратно половине длины волны. Значит, зафиксированная на обоих концах струна должна содержать целое число N таких интервалов в половину длины волны, то есть L = Nλ/2. Это означает, что в струне возможны только волны, длины которых выражаются формулой λ = 2L/N, где N = 1, 2, 3, и т. д. Соответственно, все возможные частоты можно найти по формуле [28]: ![]() Самая низкая частота для случая, когда N = 1, равна v/2L. Все прочие частоты, соответствующие N = 2, 3, 4 и т. д., называются обертонами. Например, самая низкая частота для струны ноты до первой октавы («среднее до») – 261,63 колебаний в секунду, но еще она же вибрирует с частотой 523,26 колебаний в секунду, 784,89 колебаний в секунду и т. д. Интенсивность различных обертонов определяет качество звучания разных музыкальных инструментов. Теперь допустим, что вибрировать заставили две струны с длинами L1 и L2, которые в остальном абсолютно одинаковы – в частности, скорость v распространения возмущения в обеих одинакова. За время t форма колебаний первой и второй струн на самых низких частотах для обеих пройдет через n1 = ν1t = vt/2L1 и n2 = ν2t = vt/2L2 циклов или частичных циклов, соответственно. Их соотношение равняется: ![]() Таким образом, для того, чтобы частоты самого низкого из возможных для каждой из струн звуков относились как целые числа, величина L2/L1 должна выражаться простой целочисленной дробью, то есть рациональным числом (в этом случае и для каждого обертона частоты будут удовлетворять тому же условию). Звуки обеих струн в этом случае сольются, как если бы щипнули одну струну, а не две. По всей видимости, именно поэтому мы воспринимаем получившееся созвучие как консонанс. Например, если L2/L1 = 1/2, то на каждое колебание первой струны придется два полных цикла второй. В этом случае говорят, что звуки, издаваемые первой и второй струнами, образуют интервал октаву. Все клавиши ноты до на клавиатуре фортепиано производят музыкальные звуки, каждый из которых отделен от соседнего интервалом в одну октаву. Если отношение L2/L1 = 2/3, то получающийся интервал называется квинтой. Например, это справедливо в случае, когда первая струна звучит на ноте до первой октавы с главной частотой 261,63 колебаний в секунду, а вторая струна, длина которой 2/3 от первой, звучит на ноте соль первой октавы с частотой 3/2 × 261,63 = 392,45 колебаний в секунду [29]. Если соотношение L2/L1 = 3/4, получившийся интервал называется терцией. Другая причина того, что эти сочетания нот благозвучны, заключается в обертонах. Чтобы N1-й обертон струны 1 имел ровно ту же частоту, что и N2-й обертон струны 2, должно выполняться равенство vN1/2L1 = vN2/2L2, и таким образом: ![]() И вновь отношение длин двух струн выражается рациональным числом, хотя и по иной причине. Но если это отношение окажется равно какому-либо нерациональному числу, например, π или квадратному корню из 2, то обертоны двух струн никогда не совпадут точно, хотя частоты более высоких обертонов могут сходиться как угодно близко. Звук, который при этом получается, ужасен. 4. Теорема Пифагора
Так называемая теорема Пифагора – самая знаменитая во всей планиметрии. Хотя ее доказательство приписывают ученикам и последователям Пифагора, например, Архиту Тарентскому, в точности история ее создания неизвестна. Здесь я приведу простейшее доказательство, основанное на понятии пропорциональности, широко применявшемся древнегреческими математиками. Рассмотрим треугольник с вершинами A, B и P, у которого угол при вершине P является прямым. Теорема утверждает, что площадь квадрата, сторона которого равна AB (гипотенуза треугольника), равняется сумме площадей квадратов, стороны которых равны двум другим сторонам того же треугольника, катетам AP и BP. Говоря языком современной алгебры, рассматривая AB, AP и BP как численные величины, равные длинам указанных сторон, должно быть справедливо равенство: AB² = AP² + BP². Чтобы доказать теорему, следует провести перпендикуляр к гипотенузе AB из вершины P. Обозначим точку его пересечения с гипотенузой C (см. рис. 2). Таким образом мы поделим исходный треугольник ABP на два меньших прямоугольных треугольника APC и BPC. Легко видеть, что оба меньших треугольника подобны исходному прямоугольному треугольнику, то есть все углы в них те же самые, что и в большом. Если мы обозначим углы при вершинах A и B α (альфа) и β (бета), то у треугольника ABP будут углы α, β и 90°, и значит, α + β + 90° = 180°. В треугольнике APC два угла равны α и 90°, значит, третий угол равняется β. Аналогично в треугольнике BPC два угла равны β и 90°, следовательно, третий угол равен α. Так как все три треугольника взаимно подобны, их соответствующие стороны пропорциональны. Это означает, что длина катета AC относится к длине гипотенузы AP треугольника ACP так же, как длина катета AP к длине гипотенузы AB в исходном треугольнике ABP. Соответственно, BC относится к BP в той же пропорции, что и BP к AB. Мы можем выразить это в более привычной алгебраической форме, связав длины сторон пропорцией: |
![Иллюстрация к книге — Объясняя мир. Истоки современной науки [i_015.jpg] Иллюстрация к книге — Объясняя мир. Истоки современной науки [i_015.jpg]](img/book_covers/072/72959/i_015.jpg)
![Иллюстрация к книге — Объясняя мир. Истоки современной науки [i_016.jpg] Иллюстрация к книге — Объясняя мир. Истоки современной науки [i_016.jpg]](img/book_covers/072/72959/i_016.jpg)
![Иллюстрация к книге — Объясняя мир. Истоки современной науки [i_017.jpg] Иллюстрация к книге — Объясняя мир. Истоки современной науки [i_017.jpg]](img/book_covers/072/72959/i_017.jpg)