Книга Геном человека: Энциклопедия, написанная четырьмя буквами, страница 5 – Вячеслав Тарантул

Авторы: А Б В Г Д Е Ж З И Й К Л М Н О П Р С Т У Ф Х Ч Ш Ы Э Ю Я
Книги: А Б В Г Д Е Ж З И Й К Л М Н О П Р С Т У Ф Х Ц Ч Ш Щ Ы Э Ю Я
Бесплатная онлайн библиотека LoveRead.ec

Онлайн книга «Геном человека: Энциклопедия, написанная четырьмя буквами»

📃 Cтраница 5

И такая ситуация сохранялась вплоть до апреля 1953 года.

ДНК — МОЛЕКУЛЯРНАЯ ОСНОВА ГЕНОМА

Сколько истин, признаваемых нами в настоящее время бесспорными, в момент провозглашения их казались лишь парадоксами или даже ересями!

Екатерина II

Что мыслимо — то возможно, что возможно — то мыслимо.

Г. Лейбниц
Тонкое устройство ДНК

Чтобы дальнейшее повествование было более ясным для читателя, рассмотрим сначала подробнее, как же устроена эта странная и загадочная молекула ДНК.

Итак, ДНК состоит из 4-х азотистых оснований, а также сахара (дезоксирибозы) и фосфорной кислоты. Два азотистых основания (сокращенно называемых Ц и Т) относятся к классу так называемых пиримидиновых основания, а два других (А и Г) — к пуриновым основаниям. Такое разделение связано с особенностями их структур, которые показаны на рис. 1.

Иллюстрация к книге — Геном человека: Энциклопедия, написанная четырьмя буквами [i_001.jpg]

Рис. 1. Структура азотистых оснований (элементарных «букв»), из которых построена молекула ДНК


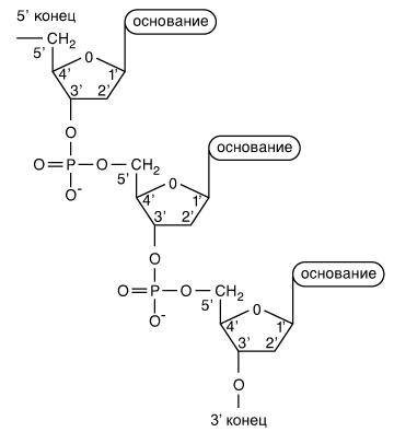
Отдельные основания связаны в цепочке ДНК сахаро-фосфатными связями. Эти связи изображены на следующем рисунке (рис. 2).

Иллюстрация к книге — Геном человека: Энциклопедия, написанная четырьмя буквами [i_002.jpg]

Рис. 2. Химическая структура цепи ДНК


Все это известно уже довольно давно. Но детальное устройство молекулы ДНК стало понятно лишь спустя почти 90 лет после знаменитых работ Менделя и открытия Мишера. 25 апреля 1953 г. в английском журнале «Nature» было опубликовано небольшое письмо молодых и тогда еще мало известных ученых Джеймса Уотсона и Френсиса Крика редактору журнала. Оно начиналось словами: «Мы хотели бы предложить свои соображения по поводу структуры соли ДНК. Эта структура имеет новые свойства, которые представляют большой биологический интерес». Статья содержала всего около 900 слов, но — и это не преувеличение — каждое из них оказалось на вес золота.

А началось все так. В 1951 году на симпозиуме в Неаполе американец Джеймс Уотсон встретился с англичанином Морисом Уилкинсом. Конечно же, они тогда не могли себе даже представить, что в результате этой встречи они станут нобелевскими лауреатами. В то время Уилкинс со своей коллегой Розалиндой Франклин проводили в Кембриджском университете рентгеноструктурный анализ ДНК и определили, что молекула ДНК представляет собой, скорее всего, спираль. После разговора с Уилкинсом Уотсон «загорелся» и решил заняться исследованием структуры нуклеиновых кислот. Он перебрался в Кембридж, где познакомился с Френсисом Криком. Ученые решили совместными усилиями попытаться понять, как устроена ДНК. Работа началась не на пустом месте. Исследователи уже знали о существовании двух типов нуклеиновых кислот (ДНК и РНК), знали и то, из чего они состоят. В их распоряжении были фотографии рентгеноструктурного анализа, полученные Р. Франклин. Кроме того, Эрвин Чаргафф сформулировал к тому времени очень важное правило, согласно которому в ДНК число А всегда равно числу Т, а число Г равно числу Ц. А далее сработала «игра ума». Результатом этой «игры» и стала статья в журнале «Nature», в которой Дж. Уотсон и Ф. Крик описали созданную ими теоретически модель строения молекулы ДНК. (Уотсону к этому времени еще не исполнилось и 25 лет, а Крику было 37). Согласно их «научной фантазии», основанной тем не менее на определенных твердо установленных фактах, молекула ДНК должна состоять из двух гигантских полимерных цепочек. Звенья каждого полимера состоят из нуклеотидов: углевода дезоксирибозы, остатка фосфорной кислоты и одного из 4 азотистых оснований (А, Г, Т или Ц). Последовательность звеньев в цепочке может быть любой, но эта последовательность строго связана с последовательностью звеньев в другой (парной) полимерной цепочке: напротив А должно быть Т, напротив Т должно быть А, напротив Ц должно быть Г, а напротив Г должно быть Ц (правило комплементарности) (рис. 3).

Иллюстрация к книге — Геном человека: Энциклопедия, написанная четырьмя буквами [i_003.jpg]

Рис. 3. Схема взаимодействия двух комплементарных цепей в молекуле ДНК


Две полимерные цепи закручены в правильную двойную спираль. Они удерживаются вместе посредством водородных связей между парами оснований (А — Т и Г — Ц) подобно ступенькам лестницы. По этой причине говорят, что две цепи ДНК комплементарны. Для природы это не удивительно. Известно множество примеров комплементарности. Комплементарны, например, древнекитайские символы «инь» и «янь», гнезда розетки и штырьки вилки.

Двойная спираль ДНК схематически изображена на рис. 4. Внешне она напоминает веревочную лестницу, завитую в правую спираль. Ступенями в этой лестнице являются пары нуклеотидов, а связывающие их «боковинки» состоят из сахаро-фосфатного остова.

Иллюстрация к книге — Геном человека: Энциклопедия, написанная четырьмя буквами [i_004.jpg]
Иллюстрация к книге — Геном человека: Энциклопедия, написанная четырьмя буквами [i_005.jpg]

Рис. 4. Знаменитая двойная спираль ДНК а — Рентгенограмма ДНК, полученная Р. Франклин, которая помогла Уотсону и Крику найти ключ к двухспиральной структуре ДНК; б — Схематическое изображение двухспиральной молекулы ДНК


Так была открыта знаменитая «двойная спираль». Если последовательность звеньев (нуклеотидов) в ДНК рассматривать как ее первичную структуру, то двойная спираль — это уже вторичная структура ДНК. Предложенная Уотсоном и Криком модель «двойной спирали» изящно решала не только проблему кодирования информации, но и удвоения (репликации) гена.

В 1962 году Дж. Уотсон, Ф. Крик и Морис Уилкинс получили по достоинству за это достижение Нобелевскую премию. А ДНК была названа самой главной молекулой живой природы. Во всем этом, конечно же, сыграли свою роль точные сведения о строении ДНК, но не в меньшей мере и «провидческие» построения сложной пространственной структуры, что потребовало от исследователей не только логики, но и творческого воображения — качества, присущего художникам, писателям и поэтам. «Здесь, в Кембридже, произошло, быть может, самое выдающееся после книги Дарвина событие в биологии — Уотсон и Крик раскрыли структуру гена!» — писал в то время в Копенгаген Нильсу Бору его бывший ученик М. Дельбрюк. Известный испанский художник Сальвадор Дали после открытия двойной спирали сказал, что это для него явилось доказательством существования Бога, и изобразил ДНК на одной из своих картин.

Реклама
Вход
Поиск по сайту
Ищем:
Календарь