Книга Происхождение жизни. От туманности до клетки, страница 30 – Михаил Никитин

Авторы: А Б В Г Д Е Ж З И Й К Л М Н О П Р С Т У Ф Х Ч Ш Ы Э Ю Я
Книги: А Б В Г Д Е Ж З И Й К Л М Н О П Р С Т У Ф Х Ц Ч Ш Щ Ы Э Ю Я
Бесплатная онлайн библиотека LoveRead.ec

Онлайн книга «Происхождение жизни. От туманности до клетки»

📃 Cтраница 30
Иллюстрация к книге — Происхождение жизни. От туманности до клетки [i_049.jpg]

Получается, что наземное геотермальное поле предоставляет почти все необходимое для зарождения жизни:

• среду, обогащенную калием, фосфором и необходимыми микроэлементами;

• местообитание со встроенным источником тепла, с практически постоянными условиями независимо от капризов погоды;

• пористые минеральные осадки, работающие в качестве катализаторов и предоставляющие огромное количество раздельных микроотсеков для обитания доклеточных форм жизни;

• испаряющиеся лужи, в которых могут накапливаться органические вещества и благодаря высокой концентрации солей и формамида может идти образование цепочек РНК и белков;

• несколько разных механизмов получения органических веществ из атмосферного CO2 и азота;

• освещаемую солнцем поверхность, на которой идут фотохимические реакции, и совсем рядом с ней – защищенные от ультрафиолета поры в осадках;

• подогреваемые с одной стороны поры и трещины, в которых происходит накопление нуклеотидов и РНК до высоких концентраций.

Никакие другие местообитания не обладают сразу всеми этими достоинствами. Например, в «черных курильщиках» нет обогащения калием и фосфором, нет ультрафиолета и нет накопления веществ в испаряющихся лужах. Так что грязевые котлы наземных геотермальных полей на сегодня представляются самым вероятным местом появления жизни.

Глава 7
Получение нуклеотидов из продуктов атмосферной фотохимии

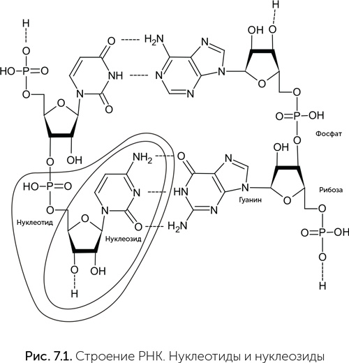
Вспомним, как устроены нуклеиновые кислоты: РНК и ДНК. Их длинные молекулы состоят из повторяющихся единиц – нуклеотидов. Каждый нуклеотид состоит из трех основных деталей: азотистого основания, сахара (рибоза в РНК и дезоксирибоза в ДНК) и фосфата. Остов молекулы составляют соединенные в цепочку сахара и фосфаты, а азотистые основания прикреплены к сахарам сбоку (рис. 7.1). В двухцепочечной форме две цепи РНК или ДНК лежат рядом и образуют двойную спираль. Их азотистые основания контактируют между собой, образуя комплементарные пары А-Т и Г-Ц, а сахарофосфатные остовы удалены друг от друга, располагаясь кнаружи от пар азотистых оснований.

Когда в клетке строятся новые молекулы ДНК или РНК, сначала рибоза соединяется с одним из четырех азотистых оснований. Такая молекула называется нуклеозид. Дальше к ней присоединяются фосфатные группы общим числом до трех. Нуклеозид с фосфатными группами составляет нуклеотид. Далее из нуклеотидов строится цепочка РНК или ДНК. Новые нуклеотиды присоединяются к цепочке по одному, и каждый раз две фосфатные группы отделяются, а третья входит в состав цепочки. На построение фосфатного хвоста нуклеотидов затрачивается энергия, а при его распаде эту энергию можно использовать разными способами. Нуклеотид-трифосфаты и другие формы нуклеотидов, которые можно соединить в цепочку РНК без дополнительных затрат энергии, называют еще «активированными нуклеотидами». Один из активированных нуклеотидов, АТФ (аденозинтрифосфат), играет в клетках роль универсальной энергетической «валюты», подобно электрической энергии в человеческой цивилизации (рис. 7.2). АТФ может с равным успехом обеспечивать энергией сборку РНК, ДНК и белков, сокращение мышц, прохождение нервного импульса, фильтрацию и концентрирование солей в почках, а также множество других процессов.

Иллюстрация к книге — Происхождение жизни. От туманности до клетки [i_050.jpg]
Иллюстрация к книге — Происхождение жизни. От туманности до клетки [i_051.jpg]

Соответственно, чтобы получить РНК, не имея клеток и ферментов, надо как-то создать азотистые основания и рибозу из тех веществ, которые были доступны на древней Земле. Потом необходимо соединить их друг с другом и с фосфатом в нуклеотиды, а затем соединить нуклеотиды в цепочки.

Как мы помним, атмосфера древней Земли могла состоять в основном из углекислого газа и азота, и органические вещества в такой среде не образуются. Во время проведения опытов Миллера по получению аминокислот и другой органики в электрических разрядах ученые использовали смесь водорода, метана и аммиака, которая в условиях Земли быстро будет разрушена солнечным ультрафиолетом. В прошлой главе мы определили, что первые шаги земная жизнь делала в геотермальных водоемах, где есть несколько источников органических веществ. Это фотосинтез на кристаллах сульфида цинка, поставляющий муравьиную, уксусную и другие органические кислоты, и реакции на горячем сульфиде железа, в которых образуется карбонилсульфид (COS), меркаптаны, тиоуксусная кислота (CH3COSH) и ее эфиры. Для синтеза азотистых оснований это не очень подходящее сырье, потому что там нет необходимого азота, зато есть ненужная для РНК сера. Однако если на планете действует постоянный источник метана, то солнечный ультрафиолет может производить из него и атмосферного азота хорошее сырье для азотистых оснований и сахаров.

Круговорот метана на древней Земле

В 2000 году на дне Атлантического океана были обнаружены белые колонны неправильной формы и высотой до 50 м. Из колонн сочилась горячая вода. Это гидротермальное поле, получившее название Lost City («затерянный город»), отличается от «черных курильщиков», о которых мы говорили ранее. Температура воды в Lost City около 80 °С, и несет она не сульфиды металлов, а гидроксид магния, который выпадает в осадок и слагает белые колонны. В отличие от «черных курильщиков», Lost City находится примерно в 50 км от рифтовой долины, и его вода подогревается не горячей магмой, а химическими реакциями в толще твердых донных пород. Эти реакции в геологии называются «серпентинизация»: в них изверженные в рифтовой долине базальты превращаются в минералы зрелого океанского дна – серпентиниты. Серпентинизация происходит, когда базальт остывает до 200–300 °С, трескается и в трещины входит морская вода. Она реагирует с силикатами железа, окисляя железо до магнетита, при этом выделяется водород:

3Fe2SiO4 + 2H2O → 2Fe3O4 + 3SiO2 + 2H2.

Если в воде был растворен углекислый газ, то он в этих условиях восстанавливается до метана (CH4) и муравьиной кислоты (HCOOH). В горячей воде Lost City растворено до 30 мг/л метана и водорода, до 7 мг/л муравьиной и до 1 мг/л уксусной кислоты; изотопный состав углерода в них точно такой же, как в углекислом газе, т. е. метан и кислоты образуются абиогенно, без участия микробов (Lang et al., 2010).

Горячие источники, подобные Lost City, с тех пор были найдены во многих районах океанского дна. Их населяют богатые микробные сообщества, питающиеся метаном, муравьиной кислотой и водородом. На древней Земле геологические процессы были гораздо активнее, содержание углекислоты в океанской воде – выше, и серпентинизация производила большое количество водорода и метана. Выходящий в атмосферу метан вступал в химические реакции под действием солнечных лучей. Подобные процессы мы сейчас можем наблюдать в атмосфере Титана – крупнейшего спутника Сатурна, обладающего атмосферой из азота и 1–2 % метана. Как показали наблюдения зонда «Кассини» и его спускаемого аппарата «Гюйгенс», в атмосфере Титана метан превращается в ацетилен (C2H2) и более сложные углеводороды (Raulin, Owen, 2002). Кроме того, под действием ультрафиолета метан реагирует и с прочными молекулами азота, при этом образуются цианид (HCN) и его производные – цианамид (NH2 CN) и цианоацетилен (HC3N). Эти вещества создают желтую дымку в атмосфере Титана, скрывающую его поверхность.

Реклама
Вход
Поиск по сайту
Ищем:
Календарь