Книга Стой, кто ведет? Биология поведения человека и других зверей, страница 65 – Дмитрий Жуков

Авторы: А Б В Г Д Е Ж З И Й К Л М Н О П Р С Т У Ф Х Ч Ш Ы Э Ю Я
Книги: А Б В Г Д Е Ж З И Й К Л М Н О П Р С Т У Ф Х Ц Ч Ш Щ Ы Э Ю Я
Бесплатная онлайн библиотека LoveRead.ec

Онлайн книга «Стой, кто ведет? Биология поведения человека и других зверей»

📃 Cтраница 65
Иллюстрация к книге — Стой, кто ведет? Биология поведения человека и других зверей [i_072.jpg]

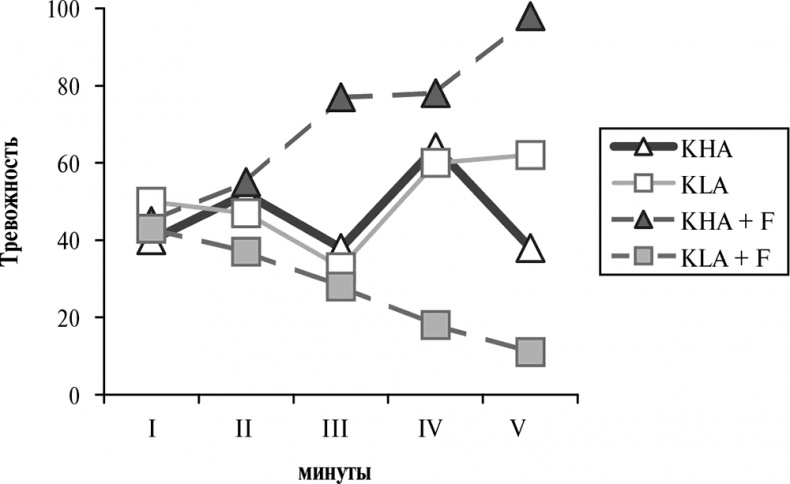
Рис. 4.22. Тревожность у крыс двух генетических линий после введения кортизола [121]. По оси абсцисс – минуты (общее время теста – 5 минут). По оси ординат – время, проведенное животными в открытых освещенных пространствах экспериментальной камеры, для каждой минуты теста. KHA и KLA – названия линий крыс. Пустые значки – группы животных, без введения гормона. Черные значки – группы животных, которым за три дня до теста вводили кортизол (F) в дозе 50 мг/кг. На момент тестирования уровень кортикостерона у этих животных был почти нулевым вследствие торможения секреции глюкокортикоидов по механизму отрицательной обратной связи


Разнонаправленное изменение тревожности у крыс двух групп вызвано, вероятно, торможением различных звеньев гипофиз-адреналовой системы, например кортиколиберина и АКТГ – гормонов, которые оказывают разное влияние на поведение. Поскольку у крыс одной линии тревожность повышалась, а у крыс другой – понижалась, очевидно, что в группе, составленной из представителей обеих линий, эффект кортизола отсутствовал бы.

Только два психотропных эффекта из многих описанных в литературе являются первичными для глюкокортикоидов, а не связаны с их влиянием на другие железы. При лечении большими дозами глюкокортикоидов у большинства больных отмечается эйфория (беспричинно повышенное настроение), доходящая порой до степени психоза. Это так называемые кортизоловые психозы.

Основная психотропная функция глюкокортикоидов – обеспечение реакции затаивания

Вторая первичная психотропная функция глюкокортикоидов – обеспечение реакции затаивания. При удалении коры надпочечников животные постоянно находятся в движении, исчезает реакция затаивания (одна из двух основных форм стрессорной реакции), а при введении глюкокортикоидов в компенсирующей дозе она восстанавливается. Поскольку увеличение дозы вводимого гормона не ведет к увеличению времени, которое животное проводит в неподвижности, глюкокортикоиды не модулируют (не стимулируют), а обеспечивают реакцию затаивания (см. главу 1).

В последние годы интенсивно изучается эффект влияния глюкокортикоидов на гибель нейронов в некоторых структурах головного мозга, в особенности гиппокампа. В малых концентрациях глюкокортикоиды предотвращают гибель нейронов, а в больших, возникающих при длительном стрессе, вызывают клеточную смерть. Поскольку гиппокамп – структура, принимающая участие в организации процессов памяти, аффективного состояния, мотивации, адаптации к изменениям во внешней среде и многих других, значение этого эффекта глюкокортикоидов весьма велико.

Рассмотрим один пример сложной интерпретации результатов психоэндокринного эксперимента [122] (рис. 4.23).

Иллюстрация к книге — Стой, кто ведет? Биология поведения человека и других зверей [i_073.jpg]

Рис. 4.23. Влияние стресса на память. На верхней панели слева схема лабиринта Морриса – бассейн, куда помещают крысу, которая должна найти платформу, расположенную ниже уровня воды и поэтому невидимую для нее. По тому, как изменяется время, затраченное на поиски при последовательном тестировании, судят о функциях памяти. Количественно такая функция отражается в соотношении времени, проводимом животным в секторе, прилегающем к платформе, и секторе, противоположном ей (верхняя правая панель). Внизу даны результаты эксперимента. Если животное подвергали стрессу именно за 30 минут до теста, то снижается время, проведенное ею вблизи платформы. Авторы работы трактуют это изменение в поведении как ухудшение памяти. Однако возможно, что возрастает комфортное поведение из-за уменьшения тревоги вследствие увеличения в крови концентрации дезоксикортикостерона, который может легко образовываться из кортикостерона – основного стрессорного гормона у крыс


Один из тестов на память крыс – решение лабиринта Морриса. Он представляет собой бассейн, в котором ниже уровня воды находятся платформы, невидимые для плавающей крысы. Случайно наткнувшись на одну из них, животное должно запомнить ее положение. Если в последующей серии тестов крыса плавает вблизи платформы, значит, она помнит ее положение. Если время, проводимое ею в разных секторах бассейна, примерно одинаково, значит, ее память ослаблена. В указанном эксперименте память ухудшалась, если за 30 минут до тестирования крысу подвергали слабому стрессу или вводили ей кортикостерон (основной глюкокортикоид у мышевидных грызунов). Причем эффект отмечался, если животное подвергали стрессу только за 30 минут до тестирования. Если воздействие производили за две минуты или за четыре часа до теста, то эффект отсутствовал – крыса бόльшую часть времени проводила в секторе около платформы, пытаясь ее нащупать. Авторы исследования делают вывод об ухудшении памяти у животных, у которых за 30 минут до теста повышали содержание экзогенного или эндогенного кортикостерона.

Утверждение об изменении именно памяти спорно. Лабораторная крыса происходит от пасюка, серой крысы Rattus norvegicus, который экологически является околоводным видом. Дикие крысы предпочитают селиться вблизи воды, а их лабораторные потомки часто любят купаться. Поэтому у крысы, помещенной в бассейн, конкурируют две мотивации: избавления от опасности и комфортное поведение. Последнее реализуется при низком уровне тревоги. Сам кортикостерон не обладает противотревожным действием, но только одна химическая реакция отделяет его от дезоксикортикостерона (см. рис. 2.4 и 2.5), противотревожное действие которого хорошо известно. Следовательно, поведенческий эффект и стресса, и введения кортикостерона может иметь механизм, ключевым звеном которого является увеличение концентрации дезоксикортикостерона. Возможно, что именно этот гормон, снижая тревогу, увеличивает возможность реализации комфортного поведения, что проявляется в том, что животные не торопятся выбираться из воды (рис. 4.24).

Интерпретация результатов экспериментов сложна, поскольку разные особи (и люди, и животные) в одинаковой ситуации имеют разные мотивации

Возможность такого объяснения подтверждается тем, что у крыс, которым вживляют медленно растворяющуюся таблетку дезоксикортикостерона, уменьшается количество попыток выбраться из лабиринта Морриса. Таким образом, интерпретация данных экспериментов с введением гормонов всегда затруднительна из-за взаимных влияний эндокринных систем и взаимных превращений стероидных гормонов.

Дополнительную трудность представляет неопределенность мотивации объекта исследования. В рассмотренном примере у животного могут существовать обе мотивации – избавления от опасности и гедонистическая. Определить доминирующую довольно сложно.

Вход
Поиск по сайту
Ищем:
Календарь