Книга Стой, кто ведет? Биология поведения человека и других зверей, страница 19 – Дмитрий Жуков

Авторы: А Б В Г Д Е Ж З И Й К Л М Н О П Р С Т У Ф Х Ч Ш Ы Э Ю Я
Книги: А Б В Г Д Е Ж З И Й К Л М Н О П Р С Т У Ф Х Ц Ч Ш Щ Ы Э Ю Я
Бесплатная онлайн библиотека LoveRead.ec

Онлайн книга «Стой, кто ведет? Биология поведения человека и других зверей»

📃 Cтраница 19

В мозговом слое надпочечников синтезируются адреналин и норадреналин

Функции норадреналина те же, что и у адреналина, за исключением влияния на пищеварительный тракт, мышцы зрачка, углеводный обмен и потребление кислорода тканями. Увеличивает работоспособность утомленных мышц, выделяясь из окончаний симпатических нервов. Не обладает психотропным эффектом. Основной источник норадреналина в крови – не мозговой слой надпочечников, а окончания симпатических нервов в мышцах.

Регуляция. Только нервная – веточками чревного нерва, который является частью симпатической нервной системы. Мозговой слой надпочечника представляет собой видоизмененный симпатический ганглий.

В регуляции этих двух гормонов отмечаются некоторые различия. Секреция адреналина выше в ситуациях, связанных с неуверенностью, ожиданием неприятностей, боли, страха или с состоянием тревоги, т. е. при формировании мотивации, когда программа действия еще не выработана. Секреция норадреналина выше в ситуациях, сопровождающихся агрессией, гневом, яростью, т. е. при эмоциональном, физическом и умственном напряжении, необходимом для реализации выработанной программы действия – программы «борьбы». Соответственно, несколько различаются и биологические эффекты двух гормонов.

Стероидные гормоны

Все вышеперечисленные гормоны относятся к пептидам. Периферические гормоны, продуцируемые корой надпочечников и половыми железами, относятся к химическому классу стероидов.

Стероиды отличаются от пептидов не только химически, но и физиологически. Во-первых, увеличение концентрации пептидных гормонов в крови можно зарегистрировать через несколько секунд после стимулирующего воздействия. Рост концентрации стероидов в крови отмечается только через несколько минут после стимуляции. Во-вторых, время полужизни пептидов в крови составляет от одной до двух минут, а стероидов – десятки минут. Это связано с тем, что распад пептидов происходит с помощью ферментов крови, а метаболизм стероидов протекает главным образом в печени. Большая химическая стабильность стероидов позволяет определять их содержание не только в крови, но и в слюне, моче и экскрементах, что очень удобно для полевых исследований физиологии диких животных. В-третьих, пептиды неэффективны при введении в рот, так как разрушаются пищеварительными ферментами, а стероиды, поступая в организм с пищей, всасываются в кровь в желудочно-кишечном тракте. Наконец, и это самое важное, стероиды свободно проникают в ЦНС, а пептидные гормоны – с трудом. Это связано с наличием гемато-энцефалического барьера, обеспечивающего постоянство химической среды ЦНС. Некоторые гормоны (например, адреналин) совершенно не проникают в ЦНС из крови, а для других (например, окситоцина) существуют специальные системы транспортных белков, которые работают с ограниченной скоростью.

Иллюстрация к книге — Стой, кто ведет? Биология поведения человека и других зверей [i_019.jpg]

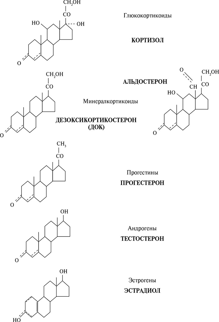
Рис. 2.4. Пять семейств стероидов. На основании строения молекул все стероиды разделены на пять семейств, биологические свойства которых тоже различны. Приведены химические формулы представителей пяти семейств стероидных гормонов. Следует обратить внимание на большое сходство строения гормонов, сильно различающихся по своему биологическому эффекту


Стероиды синтезируются из общего предшественника – холестерина – и делятся на пять семейств: глюкокортикоиды, минералокортикоиды, прогестины, андрогены (мужские половые гормоны) и эстрогены (женские половые гормоны) (рис. 2.4 и 2.5). Несмотря на общий план строения стероидов, почти каждое семейство является функциональным антагонистом остальных. Например, прогестины препятствуют проявлению эффектов всех остальных четырех групп стероидов.

Иллюстрация к книге — Стой, кто ведет? Биология поведения человека и других зверей [i_020.jpg]

Рис. 2.5. Схема биосинтеза стероидов. Заглавными буквами выделены основные представители семейств. Следует обратить внимание на метаболическую близость стероидов с различным биологическим действием, т. е. на потенциальную легкость превращения одного стероида в другой. Эта метаболическая близость имеет практическое следствие: при стрессе увеличивается секреция не только глюкокортикоидов, но и других стероидов. У разных индивидуумов при стрессе увеличивается секреция стероидов разных семейств


Стероидные гормоны синтезируются в двух железах: корковом слое надпочечников и гонадах (половых железах). В коре надпочечников синтезируются главным образом минералокортикоиды и глюкокортикоиды. Поэтому эти два семейства вместе называют кортикостероидами. Прогестины, андрогены и эстрогены в основном синтезируются в гонадах.

В коре надпочечников отсутствуют нервные окончания, соответственно, синтез гормонов в этом органе регулируется только гуморальным путем. Кора надпочечников делится на три слоя, в каждом из них синтезируется особый тип стероидных гормонов.

В клубочковой зоне синтезируются минералокортикоидыальдостерон (основной у человека) и дезоксикортикостерон (с меньшим влиянием на солевой обмен, но с психотропной активностью).

Функции: как следует из названия, регуляция водно-солевого обмена (задерживают в организме натрий и увеличивают выделение калия); усиление воспалительных процессов.

Регуляция: основной регулятор содержание калия и натрия в крови. Стимуляция синтеза при снижении концентрации натрия в диете. Кроме того, в регуляции секреции минералокортикоидов участвуют и другие гуморальные агенты: факторы, синтезируемые в печени (ренин-ангиотензиновая система, которая активируется при стрессе), вазопрессин, окситоцин. Торможение минералокортикоидной активности коры надпочечников осуществляется эндорфинами.

В пучковой зоне синтезируются глюкокортикоиды, главными из которых у человека является кортизол, а у крыс и мышей – основных лабораторных животных – кортикостерон.

В коре надпочечников синтезируются минералокортикоиды и глюкокортикоиды. Синтезируются и все другие стероиды

Функции: обмен углеводов; противовоспалительное и противоаллергическое действие; множественные влияния на эффекты других гормонов, в первую очередь гормонов гипоталамо-гипофизарной системы. Кортизол – функциональный антагонист прогестерона.

Регуляция: АКТГ – основной стимулятор. Кроме того, синтез кортизола увеличивается вазопрессином и факторами, секретируемыми в мозговом слое надпочечников. Гуморальные факторы, тормозящие синтез и секрецию кортизола, неизвестны.

Уровень глюкокортикоидов в крови – самый распространенный показатель стресса.

Адаптивное значение глюкокортикоидов было показано Гансом Селье в 1930-е гг. (см. главу 4). Уже в годы Второй мировой войны экстракты коры надпочечников использовались в немецкой армии в качестве стимуляторов (например, летчиками перед пикированием). Материал – бычьи надпочечники – вывозили подводными лодками из Аргентины.

Вход
Поиск по сайту
Ищем:
Календарь