Книга Почему мы болеем? Виртуальные реальности болезней и зависимостей. Выход есть! Теория и практика, страница 127 – Юлия Яценко

Авторы: А Б В Г Д Е Ж З И Й К Л М Н О П Р С Т У Ф Х Ч Ш Ы Э Ю Я
Книги: А Б В Г Д Е Ж З И Й К Л М Н О П Р С Т У Ф Х Ц Ч Ш Щ Ы Э Ю Я
Бесплатная онлайн библиотека LoveRead.ec

Онлайн книга «Почему мы болеем? Виртуальные реальности болезней и зависимостей. Выход есть! Теория и практика»

📃 Cтраница 127
Иллюстрация к книге — Почему мы болеем? Виртуальные реальности болезней и зависимостей. Выход есть! Теория и практика [i_065.jpg]

Рис. 9. Осложнения алкогольной зависимости, алкогольной аномии (алкоголизма)

Иллюстрация к книге — Почему мы болеем? Виртуальные реальности болезней и зависимостей. Выход есть! Теория и практика [i_066.jpg]

Рис. 10. АРЕТЕЯ


Аретея – не метод или методика, а тип практики и, собственно говоря, практическое воздействие при работе с виртуальным объектом. Аретевт – это врач, психотерапевт, психолог, проводящий аретею, а аретент – это пациент, клиент, с которым производится аретея.

Иллюстрация к книге — Почему мы болеем? Виртуальные реальности болезней и зависимостей. Выход есть! Теория и практика [i_067.jpg]

Рис. 11. Аретея: области работы и виды

Иллюстрация к книге — Почему мы болеем? Виртуальные реальности болезней и зависимостей. Выход есть! Теория и практика [i_068.jpg]

Рис. 12. Метод «ФОРСАЖ™»

Иллюстрация к книге — Почему мы болеем? Виртуальные реальности болезней и зависимостей. Выход есть! Теория и практика [i_069.jpg]

Рисунок 1.

Иллюстрация к книге — Почему мы болеем? Виртуальные реальности болезней и зависимостей. Выход есть! Теория и практика [i_070.jpg]

Рисунок 2.

Иллюстрация к книге — Почему мы болеем? Виртуальные реальности болезней и зависимостей. Выход есть! Теория и практика [i_071.jpg]

Рисунок 3.

Иллюстрация к книге — Почему мы болеем? Виртуальные реальности болезней и зависимостей. Выход есть! Теория и практика [i_072.jpg]

Рисунок 4

Иллюстрация к книге — Почему мы болеем? Виртуальные реальности болезней и зависимостей. Выход есть! Теория и практика [i_073.jpg]

Рисунок 5

Иллюстрация к книге — Почему мы болеем? Виртуальные реальности болезней и зависимостей. Выход есть! Теория и практика [i_074.jpg]

Рисунок 6


Точки на деснах для акупрессурного воздействия на внутренние органы человека

Иллюстрация к книге — Почему мы болеем? Виртуальные реальности болезней и зависимостей. Выход есть! Теория и практика [i_075.jpg]

Частота встречаемости (%) психопатологических симптомов в структуре алкогольного абстинентного синдрома

Иллюстрация к книге — Почему мы болеем? Виртуальные реальности болезней и зависимостей. Выход есть! Теория и практика [i_076.jpg]

Частота встречаемости (%) проявлений соматовегетативных расстройств в структуре алкогольного абстинентного синдрома

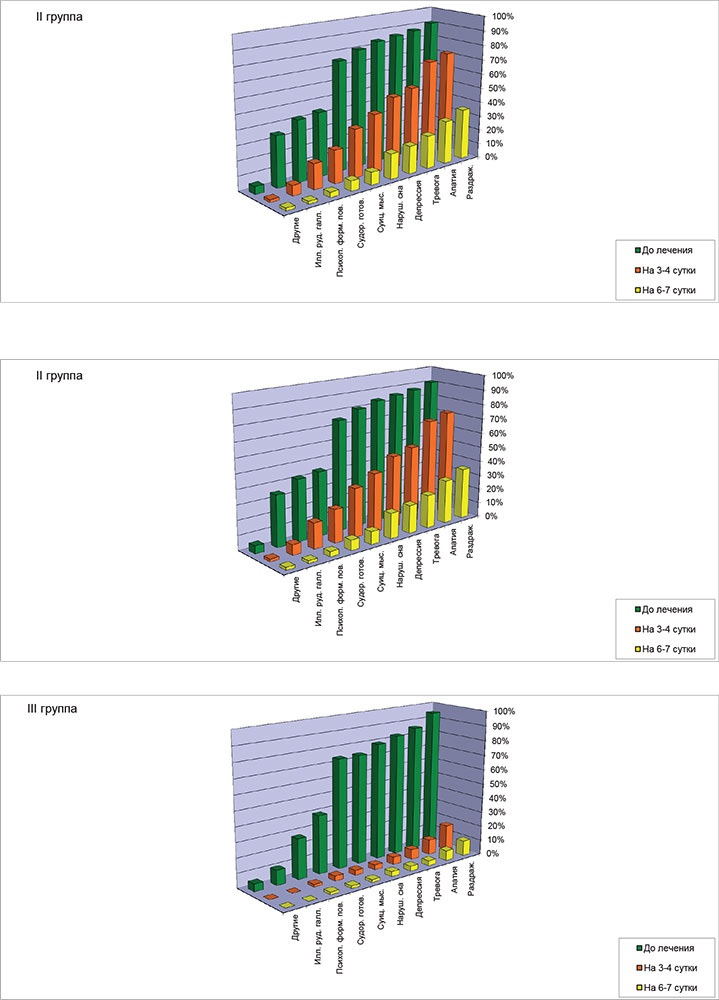
Иллюстрация к книге — Почему мы болеем? Виртуальные реальности болезней и зависимостей. Выход есть! Теория и практика [i_077.jpg]

Сравнительная оценка эффективности ремиссии (%) у пациентов I, II и III групп синдром зависимости от алкоголя средняя вторая стадия (хронический алкоголизм II стадия) на разных стадиях лечения за период 1993–1995 г.г.

Иллюстрация к книге — Почему мы болеем? Виртуальные реальности болезней и зависимостей. Выход есть! Теория и практика [i_078.jpg]
Приложение III. Виртуальная алкогольная зависимость, виртуальные алкогольные патологические мыслеобразы в рисунках пациентов: выраженное влечение к алкоголю, виртуальные мыслеобразы, возникшие у алкогользависимых людей в состоянии («белой горячки») острого алкогольного психоза и виртуальные мыслеобразы выздоровления
Иллюстрация к книге — Почему мы болеем? Виртуальные реальности болезней и зависимостей. Выход есть! Теория и практика [i_079.jpg]
Иллюстрация к книге — Почему мы болеем? Виртуальные реальности болезней и зависимостей. Выход есть! Теория и практика [i_080.jpg]
Иллюстрация к книге — Почему мы болеем? Виртуальные реальности болезней и зависимостей. Выход есть! Теория и практика [i_081.jpg]
Иллюстрация к книге — Почему мы болеем? Виртуальные реальности болезней и зависимостей. Выход есть! Теория и практика [i_082.jpg]
Иллюстрация к книге — Почему мы болеем? Виртуальные реальности болезней и зависимостей. Выход есть! Теория и практика [i_083.jpg]
Иллюстрация к книге — Почему мы болеем? Виртуальные реальности болезней и зависимостей. Выход есть! Теория и практика [i_084.jpg]
Вход
Поиск по сайту
Ищем:
Календарь