Книга Красота в квадрате. Как цифры отражают жизнь и жизнь отражает цифры, страница 73 – Алекс Беллос

Авторы: А Б В Г Д Е Ж З И Й К Л М Н О П Р С Т У Ф Х Ч Ш Ы Э Ю Я
Книги: А Б В Г Д Е Ж З И Й К Л М Н О П Р С Т У Ф Х Ц Ч Ш Щ Ы Э Ю Я
Бесплатная онлайн библиотека LoveRead.ec

Онлайн книга «Красота в квадрате. Как цифры отражают жизнь и жизнь отражает цифры»

📃 Cтраница 73

Дифференциальный анализатор представлял собой аналоговое вычислительное устройство, поскольку его механические составляющие были функционально подобны взаимодействиям в той физической системе, которую он моделировал. Устройство Буша служило основой многих аналоговых компьютеров вплоть до 70-х годов ХХ столетия, когда в результате наступления цифровой эры и аналоговые вычислительные устройства, и логарифмические линейки вышли из употребления.

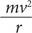
Мы с вами уже знаем, что исчисление было рабочим инструментом Ньютона при открытии законов движения и всемирного тяготения. Математические нововведения позволили ему создать логически связную совокупность формул, описывающих зависимость между силами, действующими на объект, и его положением, скоростью и ускорением. В книге «Математические начала натуральной философии» Ньютон ввел новую концепцию — центростремительной силы, «под действием которой тела притягиваются, или продвигаются, или любым другим способом стремятся к определенной точке как к центру». Именно эта сила заставляет тела двигаться по кругу. Представьте себе теннисный мяч, привязанный к шнуру. Возьмите конец шнура в руку, поднимите над головой и начинайте вращать мяч так, чтобы он описывал в воздухе круги. Шнур тянет мяч к центру под действием центростремительной силы.

Центростремительная сила рассчитывается по формуле

Иллюстрация к книге — Красота в квадрате. Как цифры отражают жизнь и жизнь отражает цифры [i_316.jpg]
, где m — это масса тела, v — его скорость, r — радиус окружности (см. рисунок ниже). В каждый момент времени скорость мяча перпендикулярна шнуру, а центростремительная сила воздействует на шнур, притягивая его к центру. В «Началах» Ньютон уделял особое внимание центростремительным силам, воздействующим на планеты. Однако в XVIII веке эта сила вызывала большую обеспокоенность у транспортных инженеров.

Иллюстрация к книге — Красота в квадрате. Как цифры отражают жизнь и жизнь отражает цифры [i_317.jpg]
Иллюстрация к книге — Красота в квадрате. Как цифры отражают жизнь и жизнь отражает цифры [i_318.jpg]

Теннисный мяч движется по кругу под действием центростремительной силы

На первых железнодорожных линиях использовались только прямые и круговые участки пути. Такое сочетание создавало определенные проблемы, поскольку, когда поезд переходил с прямого на круговой участок, пассажиры испытывали неприятные ощущения — их начинало резко клонить в сторону. На поезд, движущийся по прямому участку с постоянной скоростью, не воздействуют никакие силы. Но, когда он переходит на круговой участок, он подвергается действию центростремительной силы. Так как она направлена внутрь, это и вызывало у пассажиров ощущение, будто их выталкивает наружу. (На самом деле пассажиров наружу ничто не выталкивает. Они переходят с прямой траектории на круговую, а поскольку система ориентиров в вагоне остается прежней, возникает иллюзия, будто какая-то сила выталкивает их наружу.)

«После полувека железнодорожных перевозок мы все еще используем на путях только прямые линии и круги, — писал американский инженер Эллис Холбрук в 1880 году. — Создается впечатление, что железнодорожники принимают такое варварское сочетание как должное, даже не задавая вопросов по поводу того, что здесь не так» [150]. Холбрук нашел следующее решение: делать между прямым и круговым участками переходную кривую, на которой поезд, двигающийся с постоянной скоростью, находится под воздействием центростремительной силы, линейно увеличивающейся на протяжении определенного периода. Поскольку центростремительная сила рассчитывается по формуле

Иллюстрация к книге — Красота в квадрате. Как цифры отражают жизнь и жизнь отражает цифры [i_319.jpg]
, где m и v — это константы, для того чтобы эта сила росла по линейному закону, переходная кривая должна иметь кривизну
Иллюстрация к книге — Красота в квадрате. Как цифры отражают жизнь и жизнь отражает цифры [i_320.jpg]
.

Прежде чем вернуться к кривой Холбрука, давайте более внимательно рассмотрим концепцию

Иллюстрация к книге — Красота в квадрате. Как цифры отражают жизнь и жизнь отражает цифры [i_321.jpg]
. Математики называют эту величину кривизной окружности с радиусом r, которая представляет собой меру отклонения окружности от прямой линии. На рисунке ниже изображены две окружности: маленькая окружность с радиусом r и большая с радиусом R; обе касаются пунктирной линии в одной точке. Кривизна малой окружности больше кривизны большой окружности, поскольку она сильнее отклоняется от прямой. Для того чтобы понять концепцию кривизны окружности, можно представить ее себе как меру «стянутости»: чем меньше радиус окружности, тем сильнее она стянута, а значит, ее кривизна больше.

Иллюстрация к книге — Красота в квадрате. Как цифры отражают жизнь и жизнь отражает цифры [i_322.jpg]
Иллюстрация к книге — Красота в квадрате. Как цифры отражают жизнь и жизнь отражает цифры [i_323.jpg]

Чем меньше радиус окружности, тем больше ее кривизна

Кривизна окружности с радиусом r равна

Иллюстрация к книге — Красота в квадрате. Как цифры отражают жизнь и жизнь отражает цифры [i_324.jpg]
в любой точке окружности. С другой стороны, кривизна кривой (такой как на нижнем рисунке) постоянно меняется по мере перемещения по ней. Для того чтобы вычислить кривизну кривой в любой ее точке, необходимо построить «наиболее подходящую» окружность, которая касается кривой и максимально приближена к ней в этой точке. Я нарисовал максимально приближенные окружности в точках А и В. Поскольку радиусы этих окружностей — а и b, кривизна кривой в точке А равна
Иллюстрация к книге — Красота в квадрате. Как цифры отражают жизнь и жизнь отражает цифры [i_325.jpg]
, в точке В —
Иллюстрация к книге — Красота в квадрате. Как цифры отражают жизнь и жизнь отражает цифры [i_326.jpg]
. Чтобы понять концепцию максимально приближенной окружности, можно представить себе, что кривая — это дорога. Вы едете по ней на автомобиле, и у вас заклинивает руль, скажем, в точке А. Если вы продолжите движение, его траектория и будет представлять собой максимально приближенную окружность в точке А.

Вход
Поиск по сайту
Ищем:
Календарь