Онлайн книга «Физическая подготовка квалифицированных дзюдоистов к главному соревнованию года»
|
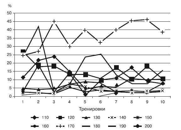
Анализ рис. 13 показывает, что в процессе тренировочного цикла увеличение работы, выполненной на уровне ЧСС 170 уд./ мин, изменялось в гетерохромном режиме. В начале цикла нагрузка возрастает через тренировку, после шестого занятия имеет тенденцию к постепенному увеличению и на последнем занятии уменьшается, уступая место нагрузке на уровне ЧСС 180 уд./мин. ![]() Рис. 12. Показатели ЧСС в процессе интервального бега в аэробно-анаэробном режиме ![]() Рис. 13. Процентное соотношение ЧСС в тренировочном цикле Такие изменения говорят о том, что организм в ходе выполнения предложенной нагрузки вырабатывал адаптационные механизмы на протяжении девяти тренировок в аэробно-анаэробном режиме и к десятому занятию был готов к переходу на более высокой уровень нагрузки, где большее значение приобретают гликолитические механизмы энергообеспечения, и нагрузка будет носить анаэробно-аэробную направленность. На рис. 14 видно, как изменялся объем выполненной работы и увеличивалась концентрация лактата в крови дзюдоистов. До пятой тренировки изменения не имеют какую-либо зависимость, далее объем выполненной работы и лактат крови получают разнонаправленное развитие: объем работы увеличивается, а лактат крови уменьшается. Если учесть, что ЧСС в этот период тоже увеличивается (рис. 12), то можно говорить о том, что порог аэробно-анаэробной работоспособности дзюдоистов увеличился. ![]() Рис. 14. Изменение концентрации лактата и объема выполненной работы В результате проведенной работы были получены данные, характеризующие изменения в дыхательной системе спортсменов (табл. 11). После интервального бега незначительно ухудшились показатели форсированной жизненной емкости легких и эффективности мышц выдоха – на 2–3%; эффективность мышц вдоха осталась без изменения; легочная мощность и бронхиальная проходимость улучшились на 20 и 15 % соответственно, а максимальная вентиляция легких – на 9,2 %. Таким образом, можно утверждать, что развитие аэробноанаэробного компонента выносливости с помощью интервального бега оказывает на организм дзюдоистов нагрузку на уровне не ниже 170 уд./мин средней ЧСС, при увеличении лактата крови до 6,9 ммоль/л, что приводит к увеличению бронхиальной проходимости, легочной мощности и максимальной вентиляции легких. Таблица 11 Динамика показателей системы дыхания дзюдоистов после интервального бега (р<0,05) ![]() Показатели аэробно-анаэробной выносливости после прыжковой нагрузки Для определения влияния прыжковой нагрузки был проведен анализ изменения процентного соотношения частоты сердечных сокращений (ЧСС) в ходе всего тренировочного процесса (рис. 15). Из рис. 15 видно, что график имеет постепенную тенденцию к увеличению ЧСС до 180 уд./мин. Это говорит о том, что основное тренировочное воздействие (32,4 %) на организм дзюдоистов происходило на этом уровне ЧСС, незначительно превышая его (2,6 %) до ЧСС 190 уд./мин. Таким образом, в период прыжковой нагрузки аэробно-анаэробной направленности минимальная средняя ЧСС составила 166,6 уд./мин, средняя ЧСС -172,8 уд./мин и средняя максимальная – 182,3 уд./мин. Анализ рис. 16 показывает, что в процессе прыжкового тренировочного цикла ЧСС изменялась следующим образом. ![]() Рис. 15. Динамика показателей ЧСС в процессе прыжковой нагрузки в аэробно-анаэробном режиме ![]() Рис. 16. Процентное соотношение ЧСС в тренировочном цикле Во время тренировочной работы ЧСС в 110–120 уд./мин и до 160 уд./мин составила примерно 10–11 % времени; от 130 до 150 уд./мин – примерно от 5 до 7 %. Начиная со 170 уд./мин процент выполненной работы повышается до 17,5 %, а при 180 – до 32,4 % и, наконец, при ЧСС 190 уд./мин нагрузка резко падает до 2,6 %. Такие изменения говорят о том, что организм в ходе выполнения прыжковой нагрузки вырабатывал адаптационные механизмы на более высоком уровне ЧСС в аэробно-анаэробном режиме. На рис. 17 видно, как изменялся объем выполненной работы и увеличивалась концентрация лактата в крови дзюдоистов. Так, на второй тренировке лактат понизился на 0,9 ммоль/л, что можно объяснить привыканием организма к новым условиям тренировки, т. к. на этом же рубеже уменьшился объем выполненной работы. Начиная с третьей тренировки, концентрация лактата в крови резко, а объем выполненной работы постепенно увеличиваются до шестой тренировки, где концентрация лактата сначала резко, а затем постепенно начинает снижаться. И даже при резком увеличении объема выполненной работы на десятой тренировке концентрация лактата незначительно снижается. Таким образом, можно констатировать, что порог аэробно-анаэробной работоспособности дзюдоистов увеличился. ![]() Рис. 17. Изменение концентрации лактата и объема выполненной работы В результате проведенной работы были получены данные, характеризующие изменения в дыхательной системе спортсменов (табл. 12). После применения прыжковой нагрузки незначительно улучшились показатели форсированной жизненной емкости легких, бронхиальной проходимости и легочной мощности (от 1,2 до 6,4 %), эффективность мышц вдоха и выдоха уменьшилась на 1,4 и 8,33 % соответственно, значительно возросла максимальная вентиляция легких – на 19,9 %. |
![Иллюстрация к книге — Физическая подготовка квалифицированных дзюдоистов к главному соревнованию года [i_050.jpg] Иллюстрация к книге — Физическая подготовка квалифицированных дзюдоистов к главному соревнованию года [i_050.jpg]](img/book_covers/071/71100/i_050.jpg)
![Иллюстрация к книге — Физическая подготовка квалифицированных дзюдоистов к главному соревнованию года [i_051.jpg] Иллюстрация к книге — Физическая подготовка квалифицированных дзюдоистов к главному соревнованию года [i_051.jpg]](img/book_covers/071/71100/i_051.jpg)
![Иллюстрация к книге — Физическая подготовка квалифицированных дзюдоистов к главному соревнованию года [i_052.jpg] Иллюстрация к книге — Физическая подготовка квалифицированных дзюдоистов к главному соревнованию года [i_052.jpg]](img/book_covers/071/71100/i_052.jpg)
![Иллюстрация к книге — Физическая подготовка квалифицированных дзюдоистов к главному соревнованию года [i_053.jpg] Иллюстрация к книге — Физическая подготовка квалифицированных дзюдоистов к главному соревнованию года [i_053.jpg]](img/book_covers/071/71100/i_053.jpg)
![Иллюстрация к книге — Физическая подготовка квалифицированных дзюдоистов к главному соревнованию года [i_054.jpg] Иллюстрация к книге — Физическая подготовка квалифицированных дзюдоистов к главному соревнованию года [i_054.jpg]](img/book_covers/071/71100/i_054.jpg)
![Иллюстрация к книге — Физическая подготовка квалифицированных дзюдоистов к главному соревнованию года [i_055.jpg] Иллюстрация к книге — Физическая подготовка квалифицированных дзюдоистов к главному соревнованию года [i_055.jpg]](img/book_covers/071/71100/i_055.jpg)
![Иллюстрация к книге — Физическая подготовка квалифицированных дзюдоистов к главному соревнованию года [i_056.jpg] Иллюстрация к книге — Физическая подготовка квалифицированных дзюдоистов к главному соревнованию года [i_056.jpg]](img/book_covers/071/71100/i_056.jpg)