Онлайн книга «Искусственный интеллект. Этапы. Угрозы. Стратегии»
|
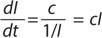
Чтобы проиллюстрировать это, рассмотрим первый сценарий, в котором сопротивляемость постоянна, вследствие чего возможности ИИ растут пропорционально приложенной к нему силе оптимизации. Предположим, что вся сила оптимизации генерируется самой системой и что все интеллектуальные возможности системы направлены на решение задачи совершенствования ее интеллекта, так что
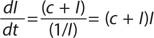
![]() Решая это простое дифференциальное уравнение, получаем экспоненциальную функцию: I = Aet/k Но постоянство сопротивляемости — особый случай. Сопротивляемость вполне может снизиться в зоне человеческого интеллектуального уровня в силу одного или нескольких факторов, рассмотренных в предыдущем разделе, и оставаться низкой в точке перехода и некоторое время после нее (возможно, до тех пор, пока система в конечном счете не упрется в фундаментальные физические ограничения). Предположим, что приложенная к системе сила оптимизации остается примерно постоянной (то есть
![]() Если сопротивляемость продолжает снижаться по такой гиперболе, то когда ИИ достигнет точки перехода, совокупная сила оптимизации, действующая на систему, удвоится. То есть: ![]() Следующее удвоение произойдет через 7,5 месяца. В течение 17,9 месяца возможности системы вырастут в тысячу раз, превратив ее в быстрый сверхразум (см. рис. 9). ![]() Рис. 9. Одна из простых моделей взрывного развития интеллекта Эта конкретная траектория роста имеет точку положительной сингулярности в момент t = 18 месяцев. В реальности предположение, что сопротивляемость является константой, перестанет выполняться по мере приближения системы к физическим границам обработки информации, если не раньше. Эти два сценария приведены лишь в качестве иллюстрации: в зависимости от формы кривой сопротивляемости возможно множество других траекторий. Суть проста: мощная обратная связь, возникающая в районе точки перехода, должна привести к более быстрому взлету, чем в ее отсутствие. В предыдущем разделе мы видели, что есть факторы, способные привести к резкому снижению сопротивляемости. К таким факторам относятся, например, возможность быстрого расширения аппаратной основы, как только будет создано работающее интеллектуальное ПО; возможность алгоритмических улучшений; возможность сканирования дополнительных экземпляров мозга (при полной эмуляции головного мозга); возможность быстрого усвоения огромного объема контента за счет тщательного обследования интернета (в случае искусственного интеллекта) [241]. Впрочем, нужно сказать, что форму кривой сопротивляемости в каждой конкретной области характеризовать довольно сложно. В частности, неясно, насколько трудно будет повысить качество ПО имитационной модели человеческого мозга или ИИ. Нет также ясности и со степенью сложности расширения аппаратной базы подобных систем. Хотя сегодня сравнительно легко увеличить вычислительную мощность, доступную небольшому проекту, — просто потратив на компьютеры в тысячу раз больше или подождав несколько лет падения цен на них, — вполне вероятно, что первый машинный интеллект, достигший человеческого уровня, будет создан в рамках крупного проекта с применением дорогих сверхмощных компьютеров, которые не слишком просто масштабировать, и что к этому времени перестанет действовать закон Мура. По этим причинам не следует исключать возможность медленного взлета, хотя вероятность быстрого или умеренного взлета представляется все-таки более высокой [242]. |
![Иллюстрация к книге — Искусственный интеллект. Этапы. Угрозы. Стратегии [img_37.jpg] Иллюстрация к книге — Искусственный интеллект. Этапы. Угрозы. Стратегии [img_37.jpg]](img/book_covers/070/70922/img_37.jpg)
![Иллюстрация к книге — Искусственный интеллект. Этапы. Угрозы. Стратегии [img_38.jpg] Иллюстрация к книге — Искусственный интеллект. Этапы. Угрозы. Стратегии [img_38.jpg]](img/book_covers/070/70922/img_38.jpg)
![Иллюстрация к книге — Искусственный интеллект. Этапы. Угрозы. Стратегии [img_39.jpg] Иллюстрация к книге — Искусственный интеллект. Этапы. Угрозы. Стратегии [img_39.jpg]](img/book_covers/070/70922/img_39.jpg)
![Иллюстрация к книге — Искусственный интеллект. Этапы. Угрозы. Стратегии [img_40.jpg] Иллюстрация к книге — Искусственный интеллект. Этапы. Угрозы. Стратегии [img_40.jpg]](img/book_covers/070/70922/img_40.jpg)
![Иллюстрация к книге — Искусственный интеллект. Этапы. Угрозы. Стратегии [img_41.jpg] Иллюстрация к книге — Искусственный интеллект. Этапы. Угрозы. Стратегии [img_41.jpg]](img/book_covers/070/70922/img_41.jpg)
![Иллюстрация к книге — Искусственный интеллект. Этапы. Угрозы. Стратегии [img_42.jpg] Иллюстрация к книге — Искусственный интеллект. Этапы. Угрозы. Стратегии [img_42.jpg]](img/book_covers/070/70922/img_42.jpg)
![Иллюстрация к книге — Искусственный интеллект. Этапы. Угрозы. Стратегии [img_43.jpg] Иллюстрация к книге — Искусственный интеллект. Этапы. Угрозы. Стратегии [img_43.jpg]](img/book_covers/070/70922/img_43.jpg)