Онлайн книга «Тайны чисел. Математическая одиссея»
|
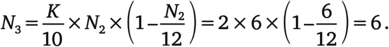
Правила игры в рыбьи формулы Это игра для двух участников. Загрузите PDF-файл с веб-сайта «Тайн 4исел» и вырежьте десять рыб и аквариум. В игре исследуется то, как количество рыб меняется на протяжении десяти сезонов. Каждая из вырезанных рыб соответствует одному сезону, и на ее боку имеется пустое поле, куда вы можете вписать число рыб в аквариуме в этом сезоне. В условиях аквариума поддерживается жизнь не более чем 12 рыб. Рыба, дожившая до следующего года, приносит потомство, а потом с определенной вероятностью умирает. Подкиньте две игральные кости. Число рыб, исходно имеющихся в аквариуме, равно сумме выпавших очков минус один (поэтому данное число лежит в диапазоне от 1 до 11). Назовем это число N0. Первый игрок выбирает число K от 1 до 50. С его помощью определяется количество потомков у каждой рыбы. Если первоначально имелось N0 рыб, то в первом году вследствие появления потомства их становится (K/10) × N0. То есть количество рыб умножается на K/10, этот множитель лежит в интервале от 0,1 до 5. Не все рыбы доживают до следующего года. Если в конце предыдущего года было N рыб, то к концу следующего их будет ![]() Комбинация с первым слагаемым в круглых скобках соответствует приведенному приросту количества рыб из-за рождения, а комбинация со вторым слагаемым – убыли рыб из-за смертности. Нужно округлить число, определяемое данной формулой, чтобы в аквариуме было целое число рыб (4,5 округляется до 5). Пусть аквариум содержится на протяжении 10 лет. Счет первого игрока равен сумме количества рыб в конце нечетных лет, а счет второго игрока равен сумме количества рыб в конце четных лет. То есть, если в конце года с номером i имеется Ni рыб: счет игрока 1: N1 + N3 + N5 + N7 + N9, счет игрока 2: N2 + N4 + N6 + N8 + N10. Делая отметки на боках вырезанных фигурок, вы можете вести учет численности рыб от года к году. Если в какой-то момент все рыбы умирают, игрок 1, выбравший множитель K, проигрывает автоматически. Вот пример одной из игр. На игральных костях выпало 4. Поэтому сначала в аквариуме было 3 рыбы, N0 = 3. Игрок 1 выбирает K = 20. Следовательно, количество рыб в конце первого года ![]() Количество рыб в конце второго года ![]() А в конце третьего года их ![]() Количество рыб теперь стабилизировалось, потому что 6 будет повторяться при подстановке в формулу. Итак, счет игрока 1: 5 + 6 + 6 + 6 + 6 = 29 рыб, счет игрока 2: 6 + 6 + 6 + 6 + 6 = 30 рыб. Игрок 2 побеждает. Посмотрите, что произойдет при изменении множителя K. Поскольку мы округляли числа, в этой игре нет всех тонкостей хаотической модели, которая убила леммингов. Если вы хотите воспользоваться онлайн-моделированием этой игры, пройдите по ссылке http://bit.ly/Tanksim. В данной версии моделирования количество рыб в аквариуме также округляется до целого числа, но дробная часть числа подставляется в формулу для расчета количества рыб в следующем году. Например, если вы положите K = 27 и N0 = 3: N1 = 6,075, округляется до 6 рыб N2 = 8,09873, округляется до 8 рыб N3 = 7,10895, округляется до 7 рыб N4 = 7,8233, округляется до 8 рыб N5 = 7,352, округляется до 7 рыб N6 = 7,68872, округляется до 8 рыб N7 = 7,45835, округляется до 7 рыб N8 = 7,62147, округляется до 8 рыб N9 = 7,50844, округляется до 8 рыб N10 = 7,58804, округляется до 8 рыб Счет игрока 1: 6 + 7 + 7 + 7 + 8 = 35 рыб, счет игрока 2: 8 + 8 + 8 + 8 + 8 = 40 рыб. Как делать обводящие прострелы, словно Бекхэм, или закручивать подобно Карлосу
Дэвид Бекхэм и Роберто Карлос выполнили за футбольную карьеру немало удивительнейших штрафных ударов, которые, казалось, противоречили законам физики. Вероятно, самым поразительным был удар, нанесенный Карлосом в матче Бразилии против Франции в 1997 г. Штрафной был назначен в 30 м от ворот. Большинство футболистов просто отдали бы пас партнеру, чтобы продолжить атаку. Но не Роберто Карлос. Он поставил мяч на газон и отступил назад, готовясь к удару. Французский вратарь Фабьен Бартез выстроил оборонительную стенку, хотя он и не думал всерьез, что Карлос намеревается послать мяч непосредственно в его ворота. И действительно, когда Карлос разбежался и нанес удар, казалось, что мяч пролетит далеко от цели. Зрители в стороне от ворот начали нагибаться, ожидая, что мяч попадет в толпу. Неожиданно, в последние мгновения, мяч свернул влево и залетел в сетку французских ворот. Бартез не мог поверить своим глазам. Он не шевельнулся. «Как ему такое удалось?» – казалось, думал он. Но удар Карлоса отнюдь не противоречил законам физики, при его исполнении была учтена наука движущихся футбольных мячей. Эффект вращения может приводить к самому невероятному поведению предметов. Если вы ударите по мячу, не придавая ему вращения, то он в своем движении как бы прочертит параболу на фиксированном двумерном листе бумаги. Но, если вы закрутите мяч, неожиданно геометрия его движения становится трехмерной. Он не только будет подниматься и опускаться, но и отклоняться влево или вправо. Но что же толкает мяч, летящий в воздухе, влево или вправо? Возникающая сила обусловлена эффектом Магнуса, названным в честь немецкого физика Генриха Магнуса, который в 1852 г. первым объяснил воздействие вращения на мячи. (Немцы всегда были хороши в футболе.) Эффект схож с появлением силы, действующей на самолетное крыло. Как я объяснил на с. 254, разность скоростей потока воздуха над и под крылом приводит к уменьшению давления над крылом и его повышению под ним, вследствие чего возникает сила, толкающая крыло вверх. |
![Иллюстрация к книге — Тайны чисел. Математическая одиссея [i_165.jpg] Иллюстрация к книге — Тайны чисел. Математическая одиссея [i_165.jpg]](img/book_covers/070/70331/i_165.jpg)
![Иллюстрация к книге — Тайны чисел. Математическая одиссея [i_166.jpg] Иллюстрация к книге — Тайны чисел. Математическая одиссея [i_166.jpg]](img/book_covers/070/70331/i_166.jpg)
![Иллюстрация к книге — Тайны чисел. Математическая одиссея [i_167.jpg] Иллюстрация к книге — Тайны чисел. Математическая одиссея [i_167.jpg]](img/book_covers/070/70331/i_167.jpg)
![Иллюстрация к книге — Тайны чисел. Математическая одиссея [i_168.jpg] Иллюстрация к книге — Тайны чисел. Математическая одиссея [i_168.jpg]](img/book_covers/070/70331/i_168.jpg)