Книга Введение в общую психологию: курс лекций, страница 20 – Юлия Гиппенрейтер

Авторы: А Б В Г Д Е Ж З И Й К Л М Н О П Р С Т У Ф Х Ч Ш Ы Э Ю Я
Книги: А Б В Г Д Е Ж З И Й К Л М Н О П Р С Т У Ф Х Ц Ч Ш Щ Ы Э Ю Я
Бесплатная онлайн библиотека LoveRead.ec

Онлайн книга «Введение в общую психологию: курс лекций»

📃 Cтраница 20

До сих пор наши примеры касались преимущественно двигательных автоматизмов. Возникает вопрос: а существуют ли автоматизмы в других сферах психической жизни человека, например в восприятии?

Да, конечно, существуют. Хорошо известно, что высшие формы зрительного или слухового восприятия требуют длительных упражнений. Именно в ходе длительной практики вырабатываются, например, такие способности, как «чтение» рентгенограмм, восприятие радиокода Морзе и др.

Но можно взять примеры из повседневной жизни. Попробуйте вспомнить, как вам слышалась иностранная речь на чужом когда-то языке: это был сплошной, нерасчлененный поток звуков. А после обучения этому языке вы стали воспринимать его совершенно иначе, четко выделяя слова и целые фразы. Этим вы обязаны образованию слуховых автоматизмов.

В нашем обычном восприятии мира трудно увидеть «черновую работу» неосознаваемых механизмов. Но с помощью специальных приемов она может быть обнаружена.

Дело в том, что иногда, будучи поставлены в необычные условия, перцептивные автоматизмы искажают восприятие, т. е. становятся причиной иллюзий, и тем самым себя обнаруживают. Приведу пример.

Перед вами оконная рама (рис. 3). Она называется «иллюзией окна», или «окном Эймса», по имени ее автора, американского психолога. Это плоская модель рамы, которая насажена на ось. Моторчик вращает ось и приводит раму в движение.

Иллюстрация к книге — Введение в общую психологию: курс лекций [i_003.jpg]

Итак, я задаю вам вопрос: как вращается это «окно»? Вы отвечаете: «То туда, то сюда», и это ваше вполне четкое впечатление. Так? Так!

Ну, а теперь я вам скажу, что это впечатление ошибочно: рама все время вращалась в одну сторону, по часовой стрелке. Не верите,? Да, трудно поверить: ведь вы отчетливо видели колебательные движения! И все-таки это так. А теперь разберемся, в чем тут дело.

Объяснение иллюзии надо начать с рассмотрения формы окна. Вы видите, что оно имеет форму трапеции. Основана эта иллюзия на очень сильном признаке глубины — линейной перспективе. В чем этот признак состоит? Он хорошо известен: если вы смотрите на уходящие вдаль рельсы, то они кажутся сходящимися, т. е. расстояние между ними кажется постепенно уменьшающимся.

Точно так же если вы смотрите на обычное окно в комнате под углом, то сторона, которая ближе к вам, выглядит большей, а та, которая дальше, — меньшей. Такая связь видимого размера и удаленности повторялась в вашем опыте многие тысячи раз на очень многих объектах. В результате теперь, когда вы видите одно из двух реально одинаковых тел меньше, то понимаете, что оно дальше, а точнее, видите его находящимся дальше. В этом и состоит суть обсуждаемого перцептивного автоматизма; его можно описать как «срабатывание» признака линейной перспективы.

Этот неосознаваемый процесс относится к группе автоматических актов, которые формируются без участия сознания. Уже маленькие дети фактически используют этот признак, не отдавая себе в нем отчета. Да и взрослые его непосредственно не осознают, а узнают о нем разве что из учебников психологии или руководств по проективному рисунку.

Итак, автор иллюзии использовал описанный перцептивный автоматизм — срабатывание признака линейной перспективы; это во-первых.

Во-вторых, он учел наш перцептивный опыт в отношении формы оконных рам, перцептивное «знание» того, что они прямоугольные, т. е. что их стороны одинаковые.

Главная «хитрость» его состояла в том, что он сделал окно непрямоугольным. В результате, когда окно поворачивается так, что его бо́льшая сторона оказывается к вам ближе, вы видите расположение окна правильно: большую сторону ближе, меньшую дальше. Когда же на вас начинает «находить» меньшая сторона, то ее размер (при убеждении, что стороны одинаковы) не позволяет «пропустить» ее вперед — и вы видите меньший край окна снова отходящим назад.

Механизмами такого рода много занимался Г. Гельмгольц. Для их описания он предложил термин «бессознательное умозаключение». Г. Гельмгольц подчеркивал, что слово «умозаключение» надо ставить в кавычки потому, что этот процесс подобен умозаключению только по результату: по природе же он отличается от истинного умозаключения, так как происходит бессознательно. Мы как бы рассуждаем, но на самом деле этого не делаем: за нас подобную работу производит неосознаваемый перцептивный процесс.

Например, в случае иллюзии окна процесс этот эквивалентен следующему умозаключению.

Известно, что когда одна из одинаковых сторон меньше, то она дальше (большая посылка).

Эта сторона — меньше (малая посылка).

Значит, она дальше (вывод).

Поскольку процесс протекает бессознательно, сознательные усилия изменить его не могут. Бессознательные умозаключения, по выражению Гельмгольца, «непреодолимы».

И действительно, сколько бы я вас ни убеждала, что на самом деле окно движется в одну сторону, сколько бы вы его не «трогали руками» (в буквальном или переносном смысле), вы все равно будете видеть его движение иллюзорно.

Спросим себя, а есть ли автоматические процессы в умственной сфере? Конечно, есть. Их так много, что сразу даже трудно выбрать какой-нибудь простой пример.

Лучше всего, наверное, обратиться к области математики. Именно там для нас наиболее очевиден процесс последовательного наслоения все более сложных действий, умений или знаний на автоматизированные предшествующие «слои». Уход более элементарных действий на неосознаваемый уровень сопровождается моментальным «усмотрением» того, что вначале требовало развернутого процесса мышления.

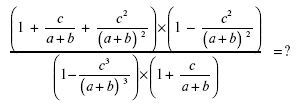
Рассмотрим такой алгебраический пример:

Иллюстрация к книге — Введение в общую психологию: курс лекций [i_004.jpg]

Чему равно это выражение? Одним словом, в ответе — единица. Так? Так. А теперь посмотрим, на что опиралось решение. Оно опиралось на непосредственное «ви́дение» того, что, например, в числителе имеется неполный квадрат суммы и разность квадратов, а в знаменателе — разность кубов; на знание их разложения; на моментальное использование правила сокращения одинаковых сомножителей в числителе и знаменателе; на знание того, что 1 — это и 12 и 13, и т. д. Все эти «ви́дения», «использования правил», «знания» — автоматизированные умственные действия, путь к которым состоял из многих и многих шагов, которые мы когда-то проделали, начиная с обучения в первом классе.

На этом мы заканчиваем знакомство с первым подклассом неосознаваемых механизмов и переходим ко второму — б) явлениям неосознаваемой установки.

Понятие «установка» заняло в психологии очень важное место, наверное, потому, что явления установки пронизывают практически все сферы психической жизни человека.

В советской психологии существует целое направление — грузинская школа психологов, которое разрабатывает проблему установки в очень широком масштабе. Грузинские психологи являются непосредственными учениками и последователями выдающегося советского психолога Дмитрия Николаевича Узнадзе (1886–1950), который создал теорию установки и организовал разработку этой проблемы силами большого коллектива.

Вход
Поиск по сайту
Ищем:
Календарь