Онлайн книга «Политическое завещание. Принципы управления государством»
|
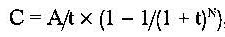
1. Регулярное (ежегодное) погашение процентов в течение срока кредитования, а основной суммы – в конце него. В случае с государственными займами проблема выплаты осложняется тем, что, когда наступает срок погашения кредита (облигаций или других обязательств), государство за неимением средств в бюджете может произвести его реструктуризацию (или выпустить новые облигации). Фактически этот срок иногда отодвигается до бесконечности, основная сумма займа (или другого обязательства) никогда не погашается, а обслуживание кредита ограничивается регулярной выплатой процентов. ![]() 2. Регулярная (ежегодная) выплата одинаковых долей основной суммы вместе с процентами на остаток долга: ![]() 3. Выплата и процентов, и основной суммы в конце срока кредитования: ![]() 4. Регулярная (ежегодная) выплата одинаковых сумм в течение всего срока кредитования; эти суммы направляются как на постепенное погашение основной суммы кредита, так и процентов на остаток долга: ![]() Фактически кардинал предлагает перейти от первой схемы к четвёртой, т.е. к более разумному управлению государственными финансами, чтобы огромная часть бюджета не уходила на выплаты по долгам. Он намеревался постепенно погасить эти обязательства, тогда как до него выпуск рент рассматривался как постоянный источник доходов государства и об их погашении никто никогда всерьёз и не помышлял. Например, в случае займа на сумму 1000 ливров, взятого под 12,5% годовых, выплаты были равны 125 ливрам в год. Кардинал предлагает увеличить размеры этих выплат, чтобы одновременно с процентами погасить и основную сумму долга. Те сроки, которые он предлагает (7,5; 8,5 и 11-12 лет для долговых обязательств со ставками 20%, 16,67% и 12,5% соответственно), вполне реальны; они показывают, что он рассчитал таким образом, чтобы все проценты были равны или примерно равны занятому капиталу (при названных им сроках на выплату процентов уходит 101%, 94% и 98% от основной суммы, соответственно). Сама сумма выплат увеличивается при этом незначительно: например, при займе в 1000 ливров достаточно вместо 125 ливров, ежегодно (и практически до бесконечности) направляемых на выплату процентов, выплачивать по 165 ливров в течение 12 лет. Иначе говоря, повысив размер этих выплат в государственном бюджете на 32%, можно избавиться от долгов (и процентов по ним) всего лишь за 12 лет. Число лет, необходимых на выплату суммы долга, можно вывести из следующей формулы: ![]() где С – сумма долга, t – процентная ставка (в десятичном измерении), N – срок выплаты (в годах), А – размер ежегодной выплаты. Например, если речь идёт о той же сумме 1000 ливров, взятой сроком на N лет под 12,5% годовых: ![]() Надо найти такое N, чтобы А * N = 2000 (если считать проценты равными капиталу, см. выше). Отсюда: ![]() И т. д. В конечном итоге, используя логарифмы [768] или методом подбора, находим N = 12,2 лет (и, соответственно, 7,4 и 9 лет для обязательств со ставками 20% и 16,67%, что весьма близко к срокам, предложенным Ришельё (см. табл. 3)). Проект кардинала о выкупе рент посредством погашения капитала одними процентами вызвал критику со стороны как Вольтера, так и некоторых историков (виконт д'Авенель и др.), которые, не вникнув в суть вопроса, поспешили объявить о том, что первый министр Людовика XIII совершенно не разбирался в финансах (но в таком случае непонятно, как он тогда сумел составить себе огромное состояние). Ришельё объясняет, почему именно указанные выше виды долговых обязательств были выбраны им для погашения в первую очередь. Ренты он предлагает выкупить по причине их низкой цены, а должности финансовых чиновников в первичных податных округах – по той же причине и, кроме того, из-за многочисленных злоупотреблений со стороны названных чиновников. Другие должности, по его мнению, можно будет выкупить, предварительно изменив условия полетты таким образом, чтобы они упали в цене. Однако среди обязательств есть и такие, что не подлежат выкупу. Во-первых, это нужные и дорогие должности ряда высших судебных и финансовых чиновников. Более того, нельзя и сокращать им жалованье; лишь у генеральных сборщиков оно может быть урезано на треть. Это даст 552 тыс. ливров экономии: 23 сборщика в 24 главных податных округах получают по 3 тыс. ливров – всего 1656 тыс. ливров. Сокращение их жалованья на треть и принесёт казне дополнительно 552 тыс. ливров (см. выше табл. 1, проект 1). Во-вторых, нельзя погасить и старые ренты, выпущенные парижским муниципалитетом с доходностью 8,33%, так как они дороги и прочно вошли в обиход, являясь частью имущества семей и учреждений (монастырей, больниц и т.д.). Однако можно понизить выплачиваемые по ним проценты до 6,25%. Таким образом, если до конверсии рент по ним ежегодно выплачивалось 2556,59 тыс. ливров (1231,41 тыс. – на габель, 851 тыс. – на косвенные налоги и 474,18 тыс. – на талью), то после конверсии сумма выплат будет равна 1918,2 тыс. ливров, т.е. экономия составит 638,39 тыс. или 24% (у кардинала – 1 млн ливров). Однако даже после конверсии до 6,25% старые ренты будут более доходными для их держателей, чем частные (поземельные) ренты, которые приносят не более 5,55%. Что же касается вышеупомянутых рент и должностей на сумму 30 млн ливров, которые предполагается выкупить полностью, то, по мнению Ришельё, все три операции было бы целесообразно осуществить в течение 7-8 лет. Для ускорения выкупа должностей (и займов) мелких финансовых чиновников (в течение тех же 7-8 лет, а не 11-12, как это предусмотрено планом) он считает необходимым создать чрезвычайный фонд в размере 48 млн ливров, отдав эту операцию на откуп. Кардинал полагает, что в мирное время откупщики уже не смогут наживаться на продаже новых рент, должностей, займов и т.д., поскольку государство перестанет их создавать, а напротив, займётся их выкупом, в чём им придётся участвовать. |
![Иллюстрация к книге — Политическое завещание. Принципы управления государством [_128.jpg] Иллюстрация к книге — Политическое завещание. Принципы управления государством [_128.jpg]](img/book_covers/069/69742/_128.jpg)
![Иллюстрация к книге — Политическое завещание. Принципы управления государством [_129.jpg] Иллюстрация к книге — Политическое завещание. Принципы управления государством [_129.jpg]](img/book_covers/069/69742/_129.jpg)
![Иллюстрация к книге — Политическое завещание. Принципы управления государством [_130.jpg] Иллюстрация к книге — Политическое завещание. Принципы управления государством [_130.jpg]](img/book_covers/069/69742/_130.jpg)
![Иллюстрация к книге — Политическое завещание. Принципы управления государством [_131.jpg] Иллюстрация к книге — Политическое завещание. Принципы управления государством [_131.jpg]](img/book_covers/069/69742/_131.jpg)
![Иллюстрация к книге — Политическое завещание. Принципы управления государством [_132.jpg] Иллюстрация к книге — Политическое завещание. Принципы управления государством [_132.jpg]](img/book_covers/069/69742/_132.jpg)
![Иллюстрация к книге — Политическое завещание. Принципы управления государством [_133.jpg] Иллюстрация к книге — Политическое завещание. Принципы управления государством [_133.jpg]](img/book_covers/069/69742/_133.jpg)