Онлайн книга «Как навести порядок в своем бизнесе. Как построить надежную систему из надежных элементов. Практикум»
|
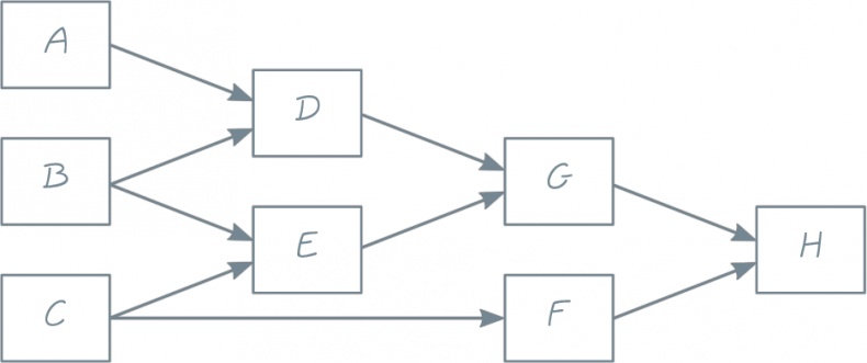
По аналогии рассчитываем ранние сроки для всех работ. Можно считать, что ранние сроки работы – это плановые сроки ее начала и окончания. В итоге мы получаем день окончания проекта – в данном случае 11-й. Внимательно проследите логику расчета (рис. 32). ![]() Рисунок 32. Сетевой график с рассчитанными ранними сроками работ 2. Обратный расчет (справа налево) Теперь рассчитаем «поздние сроки» работ. На верхний ряд цифр, которые получили на прошлом этапе, мы не смотрим. Новые могут с ними совпадать, могут не совпадать. Пока нам это не важно. Запишем всем работам, не имеющим последователей, в правый нижний угол день окончания проекта: число 11. Оно называется «позднее окончание работы». Иначе говоря, ее крайний срок, или дедлайн [173]. Теперь мы будет идти справа налево. Крайний срок для «стыковки с другими системами» – 11-й день. Вычитаем длительность и получаем: 11–3 = 8. То есть «позднее начало» (крайний срок начала) = 8. Записываем его в левый нижний угол. «Обучение пользователей» рассчитываем по аналогии. Теперь нам надо определить «позднее окончание» для «установки и наладки программной системы». При обратном расчете нам надо сравнить «поздние начала» работ-последователей («стыковка с другими системами» и «обучение пользователей») и взять минимальное из них. 8 меньше чем 10, поэтому выбираем 8. По аналогии рассчитываем остальные работы (рис. 33). ![]() Рисунок 33. Сетевой график с рассчитанными ранними и поздними сроками работ 3. Критический путь проекта Он состоит из критических работ – тех, у которых ранние и поздние сроки совпадают. Критический путь – самая длинная последовательность работ проекта, которая определяет его продолжительность: сложите длительности работ, выделенных на рисунке ниже (рис. 34). Для руководителя очень важно знать и контролировать критический путь проекта. Именно критические работы требуют максимального внимания, чтобы не затянуть сроки проекта. Именно на них надо в первую очередь выделять ресурсы. Если мы хотим оптимизировать свой проект по срокам, мы будем сокращать именно работы, лежащие на критическом пути. ![]() Рисунок 34. Сетевой график с рассчитанным критическим путем проекта 4. Временны́е резервы Критические работы не имеют резервов по времени. То есть мы не можем отложить или затянуть их ни на один день, не сорвав сроки проекта. В то же время у других работ резервы есть. Руководителю важно их знать, чтобы понимать, какую работу можно отложить и насколько. Существует 2 вида резервов: «частный» и «общий». Частный резерв – это то, насколько можно отложить/затянуть выполнение работы, не сдвинув ни одной работы-последователя с ранних (плановых) сроков. Например, «подготовку регламентов» можно отложить на 4 дня, не сдвинув «обучение пользователей». Формула проста: Частный резерв работы = «Раннее начало» работы-последователя – «Раннее окончание» той работы, для которой мы рассчитываем резерв. В нашем примере: 8–4 = 4. Если работ-последователей несколько, то у нас получится несколько вариантов резервов. Мы берем минимальный из них. Частный резерв важно знать. Допустим, вы – строительная компания и у вас работает ряд подрядчиков. Если вы задержите начало работ кого-то из них, вполне возможно, что вам придется платить ему штраф за вынужденный простой. Общий резерв – это то, насколько можно отложить/затянуть выполнение работы, сдвинув выполнение работ-последователей с ранних (плановых) сроков, но все же завершив проект в срок. Например, «подготовку регламентов» можно отложить на 6 дней, сдвинув «обучение пользователей» на 2 дня. Общий резерв работы = «Позднее начало» работы-последователя – «Раннее окончание» той работы, для которой мы рассчитываем резерв. В нашем примере: 10–4 = 6. Если работ-последователей несколько, то берем минимальный из рассчитанных резервов. Практическое задание 52 Выполните расчеты на основе сетевого графика, который вы построили в прошлом задании. 1. Нанесите ранние и поздние сроки операций на сетевой график. 2. Рассчитайте и выделите на сетевом графике критический путь. 3. Рассчитайте общие и частные резервы времени для каждой операции. ![]() В наше время сетевые графики рассчитывают на компьютере. Однако, проделав расчеты вручную, вы будете хорошо понимать, почему компьютер выдал вам те или иные значения и что они означают с управленческой точки зрения. 4.3.2.3. Диаграмма Гантта
Это один из основных инструментов в управлении проектами. Он получил свою популярность благодаря простоте и наглядности. По большому счету, это «надстройка» над сетевым графиком, которая позволяет привязать расписание проекта к календарю. Однако часто ее строят сразу, без предварительной разработки сетевого графика. Диаграмма состоит из двух частей (рис. 35). Слева – таблица, где перечислены работы проекта (возможно, список – иерархический), их берут из WBS. Работы лучше располагать в хронологическом порядке. В других колонках таблицы отражают длительности работ, даты начала и окончания и т. д. |
![Иллюстрация к книге — Как навести порядок в своем бизнесе. Как построить надежную систему из надежных элементов. Практикум [i_043.jpg] Иллюстрация к книге — Как навести порядок в своем бизнесе. Как построить надежную систему из надежных элементов. Практикум [i_043.jpg]](img/book_covers/069/69647/i_043.jpg)
![Иллюстрация к книге — Как навести порядок в своем бизнесе. Как построить надежную систему из надежных элементов. Практикум [i_044.jpg] Иллюстрация к книге — Как навести порядок в своем бизнесе. Как построить надежную систему из надежных элементов. Практикум [i_044.jpg]](img/book_covers/069/69647/i_044.jpg)
![Иллюстрация к книге — Как навести порядок в своем бизнесе. Как построить надежную систему из надежных элементов. Практикум [i_045.jpg] Иллюстрация к книге — Как навести порядок в своем бизнесе. Как построить надежную систему из надежных элементов. Практикум [i_045.jpg]](img/book_covers/069/69647/i_045.jpg)
![Иллюстрация к книге — Как навести порядок в своем бизнесе. Как построить надежную систему из надежных элементов. Практикум [i_046.jpg] Иллюстрация к книге — Как навести порядок в своем бизнесе. Как построить надежную систему из надежных элементов. Практикум [i_046.jpg]](img/book_covers/069/69647/i_046.jpg)