Книга Девиантность, преступность, социальный контроль в обществе постмодерна, страница 55 – Яков Гилинский

Авторы: А Б В Г Д Е Ж З И Й К Л М Н О П Р С Т У Ф Х Ч Ш Ы Э Ю Я
Книги: А Б В Г Д Е Ж З И Й К Л М Н О П Р С Т У Ф Х Ц Ч Ш Щ Ы Э Ю Я
Бесплатная онлайн библиотека LoveRead.ec

Онлайн книга «Девиантность, преступность, социальный контроль в обществе постмодерна»

📃 Cтраница 55

В-четвертых, заслуживают особого внимания сложные взаимосвязи негативных и позитивных девиаций. Наши эмпирические исследования начала 1970-х годов досуговой деятельности жителей г. Орла и осужденных орловчан (до момента их ареста) показали, что в части пассивного потребления культуры осужденные отстают от населения в целом. Они меньше читают, слушают радио, смотрят телевизионные передачи, реже посещают музеи и театры. Однако в сфере самодеятельного творчества активнее были те, кто позднее оказался в числе осужденных! Представители такой маргинальной группы, как служащие без специального образования, показали наиболее высокие коэффициенты криминального и суицидального поведения, а также – самодеятельного творчества [336]. Аналогичные данные были получены нами и при сравнительном обследовании ленинградцев, осужденных за совершение тяжких насильственных преступлений, и контрольной группы населения города (конец 1970-х годов). Если в целом уровень потребления культуры у осужденных ниже, то по ряду показателей активной досуговой деятельности, включая самодеятельное творчество, он оказался выше. К подобному выводу пришли и москвичи, проводившие исследования в г. Тольятти: «более активными в досуге (во всех его сферах) оказались осужденные в сравнении с законопослушными гражданами. Этот факт требует объяснения, но не может быть следствием случайности» [337]. A. A. Габиани выявил резко повышенную долю бывших спортсменов – мастеров и кандидатов в мастера среди наркоманов Грузии (25 %). А в «постсоветское» время многие бывшие спортсмены пополнили ряды организованной преступности.

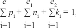
Эти результаты исследований могут интерпретироваться как показатели повышенной социальной активности лиц («пассионариев», по Л. Гумилеву), не сумевших ее реализовать в социально-полезных формах (творчестве) и «проявивших» себя в негативно девиантном поведении. Все это позволило мне предположить наличие своеобразного «баланса социальной активности» и системы факторов, определяющих ее структуру и динамику. В первом приближении баланс социальной активности в определенном пространственно-временном континууме может быть представлен как:

Иллюстрация к книге — Девиантность, преступность, социальный контроль в обществе постмодерна [i_004.jpg]

где: p – квалифицированные позитивные формы девиантного поведения, n – квалифицированные формы негативных форм девиантного поведения, к – квантифицированные формы «нормального», конформного поведения.

При этом увеличение интенсивности (уровня) одних форм активности – позитивных или же n – негативных девиаций) приводит к снижению интенсивности других форм по принципу «сообщающихся сосудов» [338]. Возможен и вариант одновременного увеличения (уменьшения) значений pun при соответствующем снижении (увеличении) значения к. Эмпирические данные свидетельствуют о том, что в определенные (революционные?) периоды истории увеличиваются и позитивные, и негативные девиации при сокращении конформного поведения.

Высказанные гипотезы («интерференция» социальных девиаций, «баланс социальной активности» и др.) представляют не только теоретический, но и практический интерес. Установление достоверных и устойчивых (закономерных) связей между различными проявлениями девиантности, между их позитивными и негативными формами могут быть использованы в системе социального контроля в целях нейтрализации одних, стимулирования других, «канализирования» социальной активности в социально-полезном направлении.

Представляется особенно важным и перспективным развитие девиан-тологии в условиях современного общества постмодерна, когда процессы глобализации, виртуализации, фрагментаризации, консьюмеризации приводят к «девиантизации» общественных отношений и взаимодействия фрагментов общества. Но это уже тема следующей главы.

Девиантность и социальный контроль в обществе постмодерна [339]

Понятие постмодерна неоднозначно понимается и в разное время, и в разных областях науки и искусства [340]. Нет и единого понимания, когда модерн сменяется постмодерном. Вероятно, процесс становления общества постмодерна начинается в 1970-е – 1980-е годы.

Вместе с тем, мы живем в совершенно новом мире, в совершенно новой реальности («Постмодерн как радикальное изменение во всех сферах человеческого существования» [341]). Это плохо осознается (или совсем не осознается) большинством населения нашего единого, но фрагментарного мира. Хуже (и опаснее) того, – это не понимается правителями, властями (и не только российскими).

У нас есть неограниченные возможности (за несколько часов переместиться в любую точку планеты; поговорить посредством скайпа с приятелем, находящимся в Австралии или Японии; молниеносно отреагировать на любую новость, высказавшись – «на весь свет» – в сетях интернета) и неограниченные риски, вплоть до тотального самоуничтожения – омницида… «Мы, в сущности, живем в апокалиптическое время… экологический кризис, биогенетическая редукция людей к манипулируемым машинам, полный цифровой контроль над нашей жизнью» [342]. Привычные «истины» и «смыслы» теряют свои основания. Неопределенность – постоянное состояние нашего бытия. Общество постмодерна есть общество возможностей и рисков (вспомним У. Бека).


Современная эпоха постмодерна выдвигает перед обществом невиданные ранее проблемы вживания и выживания, а перед общественными науками – осмысление происходящих тотальных изменений в жизни современного человечества. Трудно сказать, насколько реалистична и точна «Сингулярность» Р. Курцвайля (Raymond Kurzweil «The Singularity is Near»), но очевидно, что технологии постмодерна развиваются по экспоненте, и человечество ждет или немыслимый сегодня, невероятный прогресс, или катастрофический конец… Вот как это видится одному из интерпретаторов предсказаний Курцвайля: «Грядут великие изменения. Созданные нашим разумом технологии изменят ход вещей в мире и это неизбежно. Мы навсегда забудем о старости и голоде, мы навсегда забудем о войнах и предрассудках. Мы станем едины со своими творениями и обретем такую власть над материей, которую цари прошлого не могли вообразить даже в самых смелых психоделических мечтаниях. Или мы погибнем, от рук себе подобных или от рук своих творений. Сегодня все еще зависит от нас, от наших действий и решений…» [343].

Вход
Поиск по сайту
Ищем:
Календарь