Книга Девиантность, преступность, социальный контроль в обществе постмодерна, страница 34 – Яков Гилинский

Авторы: А Б В Г Д Е Ж З И Й К Л М Н О П Р С Т У Ф Х Ч Ш Ы Э Ю Я
Книги: А Б В Г Д Е Ж З И Й К Л М Н О П Р С Т У Ф Х Ц Ч Ш Щ Ы Э Ю Я
Бесплатная онлайн библиотека LoveRead.ec

Онлайн книга «Девиантность, преступность, социальный контроль в обществе постмодерна»

📃 Cтраница 34

Возможно, существуют какие-то нормы, пороги, допуски, критические значения (индивидуальные для каждого индивида? различные на разных этапах жизненного пути?) неустроенности, трагедийности существования, ниже которых отсутствует стимул творческой активности, а превышение их ведет к краху личности.

§ 3. Социология творчества как социология позитивных девиаций

Может возникнуть вполне закономерный вопрос: не есть ли изложенное выше лишь дань авторской концепции? Слишком уж непривычно для многих из нас видеть нечто общее в социальном (научном, техническом, художественном) творчестве и социальной «патологии» (преступности, наркотизме, пьянстве, коррупции и т. п.), рассматривать то и другое как следствие неких общих социальных причин. В конечном счете, судить об этом не автору, а читателям. И все же еще несколько доводов в пользу авторской концепции. Как уже говорилось, социальная норма, определяя исторически сложившуюся в конкретном обществе меру допустимого поведения, может или соответствовать законам общественного развития, или отражать их недостаточно адекватно, а то и находиться с ними в противоречии, будучи продуктом искаженного отражения объективных закономерностей. И тогда социальная «норма» оказывается сама «анормальной». Именно поэтому девиантное поведение может быть позитивным, ломающим устаревшие нормы и объективно способствующим прогрессу (социальное творчество), и негативным, объективно препятствующим развитию или существованию.

Именно поэтому нестандартность, нешаблонность, необычность мыслей и действий – необходимое условие развития общества. Поэтому же преследование инакомыслия и инакодействия – верный гарант стагнации, застоя. Свидетельство тому – отечественная история 30-х – 80-х гг. прошлого столетия, да и нынешних, двухтысячных…

Творчество как создание чего-то нового принципиально не планируемо. Можно предвидеть «точки роста», предсказывать направления будущих открытий, но нельзя предугадать (а, следовательно, и планировать), кто, когда, где и как что-то создаст или откроет неизвестное. Весь опыт нашей истории свидетельствует о вреде жесткого планирования, заорганизованности, занормированности деятельности, приводящей к социальному склерозу и параличу. Хорошо, когда общество, государство поддерживают творческую деятельность, финансируя ее, обеспечивая технически. Но хотя бы не мешали бесконечностью бюрократических требований, отупляющих, оглупляющих вынужденных исполнителей бюрократического зуда и бреда, чем славится, например современное отечественное «управление» наукой, высшим, да и средним образованием…

Далее. Эмпирические социологические исследования последних лет свидетельствуют о вполне определенных и относительно устойчивых взаимосвязях между различными проявлениями негативной девиан-тности и социальным творчеством. Думается, поэтому, что рассмотрение социального творчества как одного из элементов (подсистем) деви-антности не является лишь абстрактной схемой, а таит эвристические возможности комплексного социологического исследования закономерностей распространенности, а также характера взаимосвязей позитивных и негативных проявлений социальной активности в пространственно-временном континууме социума, построения математических моделей девиантности как системы, с выходом на управленческие проблемы развития социального творчества «в ущерб» негативным девиациям. Так, «наиболее эффективное предупреждение преступлений… достигается не просто временным подавлением нежелательных форм поведения, а их постоянным вытеснением, заменой их на социально одобряемые, полезные обществу и индивиду формы и виды поведения» [218].

А вот позиция одного из известных современных исследователей девиантности: «Позитивные девианты готовы думать по-другому о важных проблемах и вдохновлять других думать по другому об окружающем мире» [219].

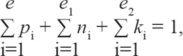
Концепция позитивных/негативных девиаций представляет не только теоретический интерес. Имеются многочисленные исследования, свидетельствующие о сложных соотношениях позитивных и негативных девиаций. В общем виде представляется, что рост позитивных девиаций может отражаться в снижении негативных и наоборот. В 1970-е годы мною была выдвинута гипотеза баланса социальной активности [220]. В первом приближении баланс социальной активности в определенном пространственно-временном континууме может быть представлен как

Иллюстрация к книге — Девиантность, преступность, социальный контроль в обществе постмодерна [i_003.jpg]

где p – квалифицированные позитивные виды девиантного поведения,

n – квантифицированные негативные виды девиантного поведения,

k – «нормальное» поведение [221].

Таким образом, существует гипотетическая возможность «замены» (замещения) некоторой доли негативных девиаций позитивными (и наоборот) или же вытеснение тех и других «нормальным» поведением. Последнее, правда, может вести к застою общества.

Практически это означает, что предоставление обществом (государством) максимальных условий для развития творческой активности (разнообразные и доступные кружки, секции, творческие объединения и т. п.) должно сократить нежелательную для общества активность. Как утверждают, в частности, наркологи: «Среди наших пациентов людей с хобби не бывает».

Однако эмпирическая база социологии творчества как девиантности еще крайне слаба. Элементы социологического и социально-психологического подхода мы находим в ряде интересных публикаций [222]. Огромный, неосвоенный с точки зрения девиантологии, эмпирический материал содержится в двухтомной энциклопедии «Лауреаты Нобелевской премии» [223], а образец анкеты – в упомянутой книге В. П. Карцева. Прекрасным источником могут служить биографии крупнейших деятелей искусства и науки.

По мере «очеловечивания» нашего общества (да и всего человечества: иного выхода нет, альтернатива – самоубийство рода Homo sapiens в результате экологической или ядерной катастрофы), утверждения общечеловеческих ценностей, достоинства личности и понимания ее самоценности, а равно объективной ценности бесконечного разнообразия индивидуальностей, творчество из отклонения-привилегии превратится в норму жизнедеятельности. Девиантность социума примет формы, которые трудно предсказать сегодня. Но можно думать, что нетворческое, приспособительное, потребительское существование сместится к полюсу негативных отклонений. «Что поделаешь, бесцветная и безвкусная усредненность: она ничему не дает сделаться ни по-настоящему дурным, ни по-настоящему хорошим» [224].

Вход
Поиск по сайту
Ищем:
Календарь