Онлайн книга «Неизвестный Сикорский. "Бог" вертолетов»
|
Слова И. И. Сикорского: „нам нужно работать, а главное, учиться тому, что поможет нам восстановить Родину, когда она того от нас потребует…“, подтвержденные им на деле, должны найти отклик в душе каждого русского человека, которому дорога была его Родина не только в дни ее величия, но и в дни ее падения, неслыханного позора и унижения. Эта работа над перевоспитанием самого себя должна глубоко проникнуть в сознание всех русских людей, не склонивших свою выю под ярмо утопического коммунизма» [6]. С думой о судьбе России заканчивал свой жизненный путь и другой герой нашей книги. Сикорский оставил нам кроме авиационных шедевров и великое наследие своих философских выводов о смысле человеческой жизни, ценность которых на фоне последних мировых событий постоянно возрастает. Теперь, проследив весь творческий путь Игоря Ивановича Сикорского, мы можем с уверенностью сказать, что он был величайшим авиаконструктором ХХ века. Имя его золотыми буквами навечно вписано в историю мировой авиации. Да не оскудеет такими талантами Россия! Приложения
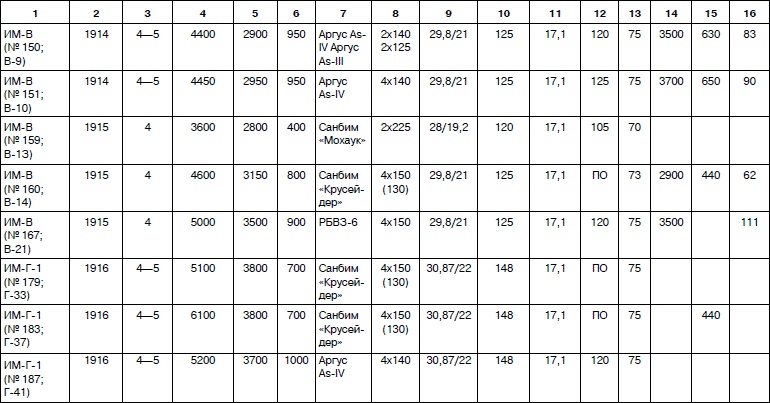
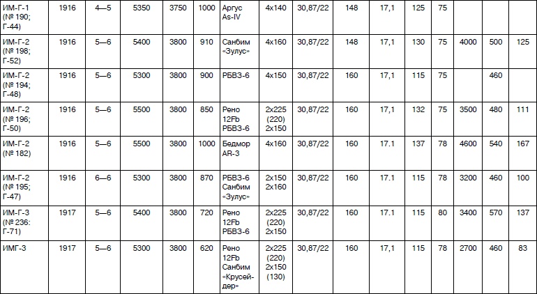
I. Летно-технические данные самолетов И. И. Сикорского ![]() ![]() ![]() ![]() ![]() ![]() ![]() ![]() ![]() ![]() ![]() ![]() II. Летно-технические данные вертолетов И. И. Сикорского ![]() ![]() ![]() ![]() ![]() ![]() ![]() ![]() III. Характеристики авиационного двигателя И. И. Сикорского МРБ-6 (мотор русско-балтийский — 6-цилиндровый) ![]() IV. Характеристики аэросаней И. И. Сикорского ![]() V. Модификации самолетов «Илья Муромец» ![]() ![]() ![]() ![]() ![]() |
![Иллюстрация к книге — Неизвестный Сикорский. "Бог" вертолетов [i_142.jpg] Иллюстрация к книге — Неизвестный Сикорский. "Бог" вертолетов [i_142.jpg]](img/book_covers/069/69255/i_142.jpg)
![Иллюстрация к книге — Неизвестный Сикорский. "Бог" вертолетов [i_143.jpg] Иллюстрация к книге — Неизвестный Сикорский. "Бог" вертолетов [i_143.jpg]](img/book_covers/069/69255/i_143.jpg)
![Иллюстрация к книге — Неизвестный Сикорский. "Бог" вертолетов [i_144.jpg] Иллюстрация к книге — Неизвестный Сикорский. "Бог" вертолетов [i_144.jpg]](img/book_covers/069/69255/i_144.jpg)
![Иллюстрация к книге — Неизвестный Сикорский. "Бог" вертолетов [i_145.jpg] Иллюстрация к книге — Неизвестный Сикорский. "Бог" вертолетов [i_145.jpg]](img/book_covers/069/69255/i_145.jpg)
![Иллюстрация к книге — Неизвестный Сикорский. "Бог" вертолетов [i_146.jpg] Иллюстрация к книге — Неизвестный Сикорский. "Бог" вертолетов [i_146.jpg]](img/book_covers/069/69255/i_146.jpg)
![Иллюстрация к книге — Неизвестный Сикорский. "Бог" вертолетов [i_147.jpg] Иллюстрация к книге — Неизвестный Сикорский. "Бог" вертолетов [i_147.jpg]](img/book_covers/069/69255/i_147.jpg)
![Иллюстрация к книге — Неизвестный Сикорский. "Бог" вертолетов [i_148.jpg] Иллюстрация к книге — Неизвестный Сикорский. "Бог" вертолетов [i_148.jpg]](img/book_covers/069/69255/i_148.jpg)
![Иллюстрация к книге — Неизвестный Сикорский. "Бог" вертолетов [i_149.jpg] Иллюстрация к книге — Неизвестный Сикорский. "Бог" вертолетов [i_149.jpg]](img/book_covers/069/69255/i_149.jpg)
![Иллюстрация к книге — Неизвестный Сикорский. "Бог" вертолетов [i_150.jpg] Иллюстрация к книге — Неизвестный Сикорский. "Бог" вертолетов [i_150.jpg]](img/book_covers/069/69255/i_150.jpg)
![Иллюстрация к книге — Неизвестный Сикорский. "Бог" вертолетов [i_151.jpg] Иллюстрация к книге — Неизвестный Сикорский. "Бог" вертолетов [i_151.jpg]](img/book_covers/069/69255/i_151.jpg)
![Иллюстрация к книге — Неизвестный Сикорский. "Бог" вертолетов [i_152.jpg] Иллюстрация к книге — Неизвестный Сикорский. "Бог" вертолетов [i_152.jpg]](img/book_covers/069/69255/i_152.jpg)
![Иллюстрация к книге — Неизвестный Сикорский. "Бог" вертолетов [i_153.jpg] Иллюстрация к книге — Неизвестный Сикорский. "Бог" вертолетов [i_153.jpg]](img/book_covers/069/69255/i_153.jpg)
![Иллюстрация к книге — Неизвестный Сикорский. "Бог" вертолетов [i_154.jpg] Иллюстрация к книге — Неизвестный Сикорский. "Бог" вертолетов [i_154.jpg]](img/book_covers/069/69255/i_154.jpg)
![Иллюстрация к книге — Неизвестный Сикорский. "Бог" вертолетов [i_155.jpg] Иллюстрация к книге — Неизвестный Сикорский. "Бог" вертолетов [i_155.jpg]](img/book_covers/069/69255/i_155.jpg)
![Иллюстрация к книге — Неизвестный Сикорский. "Бог" вертолетов [i_156.jpg] Иллюстрация к книге — Неизвестный Сикорский. "Бог" вертолетов [i_156.jpg]](img/book_covers/069/69255/i_156.jpg)
![Иллюстрация к книге — Неизвестный Сикорский. "Бог" вертолетов [i_157.jpg] Иллюстрация к книге — Неизвестный Сикорский. "Бог" вертолетов [i_157.jpg]](img/book_covers/069/69255/i_157.jpg)
![Иллюстрация к книге — Неизвестный Сикорский. "Бог" вертолетов [i_158.jpg] Иллюстрация к книге — Неизвестный Сикорский. "Бог" вертолетов [i_158.jpg]](img/book_covers/069/69255/i_158.jpg)
![Иллюстрация к книге — Неизвестный Сикорский. "Бог" вертолетов [i_159.jpg] Иллюстрация к книге — Неизвестный Сикорский. "Бог" вертолетов [i_159.jpg]](img/book_covers/069/69255/i_159.jpg)
![Иллюстрация к книге — Неизвестный Сикорский. "Бог" вертолетов [i_160.jpg] Иллюстрация к книге — Неизвестный Сикорский. "Бог" вертолетов [i_160.jpg]](img/book_covers/069/69255/i_160.jpg)
![Иллюстрация к книге — Неизвестный Сикорский. "Бог" вертолетов [i_161.jpg] Иллюстрация к книге — Неизвестный Сикорский. "Бог" вертолетов [i_161.jpg]](img/book_covers/069/69255/i_161.jpg)
![Иллюстрация к книге — Неизвестный Сикорский. "Бог" вертолетов [i_162.jpg] Иллюстрация к книге — Неизвестный Сикорский. "Бог" вертолетов [i_162.jpg]](img/book_covers/069/69255/i_162.jpg)
![Иллюстрация к книге — Неизвестный Сикорский. "Бог" вертолетов [i_163.jpg] Иллюстрация к книге — Неизвестный Сикорский. "Бог" вертолетов [i_163.jpg]](img/book_covers/069/69255/i_163.jpg)
![Иллюстрация к книге — Неизвестный Сикорский. "Бог" вертолетов [i_164.jpg] Иллюстрация к книге — Неизвестный Сикорский. "Бог" вертолетов [i_164.jpg]](img/book_covers/069/69255/i_164.jpg)
![Иллюстрация к книге — Неизвестный Сикорский. "Бог" вертолетов [i_165.jpg] Иллюстрация к книге — Неизвестный Сикорский. "Бог" вертолетов [i_165.jpg]](img/book_covers/069/69255/i_165.jpg)
![Иллюстрация к книге — Неизвестный Сикорский. "Бог" вертолетов [i_166.jpg] Иллюстрация к книге — Неизвестный Сикорский. "Бог" вертолетов [i_166.jpg]](img/book_covers/069/69255/i_166.jpg)
![Иллюстрация к книге — Неизвестный Сикорский. "Бог" вертолетов [i_167.jpg] Иллюстрация к книге — Неизвестный Сикорский. "Бог" вертолетов [i_167.jpg]](img/book_covers/069/69255/i_167.jpg)
![Иллюстрация к книге — Неизвестный Сикорский. "Бог" вертолетов [i_168.jpg] Иллюстрация к книге — Неизвестный Сикорский. "Бог" вертолетов [i_168.jpg]](img/book_covers/069/69255/i_168.jpg)