Книга Всегда вовремя, страница 14 – Майкл Бреус

Авторы: А Б В Г Д Е Ж З И Й К Л М Н О П Р С Т У Ф Х Ч Ш Ы Э Ю Я
Книги: А Б В Г Д Е Ж З И Й К Л М Н О П Р С Т У Ф Х Ц Ч Ш Щ Ы Э Ю Я
Бесплатная онлайн библиотека LoveRead.ec

Онлайн книга «Всегда вовремя»

📃 Cтраница 14

Операционный директор Facebook Шерил Сэндберг говорила, что уходит с работы пораньше, чтобы побыть с детьми, но встает очень рано и отвечает на письма. Представляю, что чувствуют ее коллеги не-Львы, когда получают письма, отправленные до рассвета. Я почти слышу, как они сглатывают комок в горле. Между 5.00 и 8.00 Львы делают зарядку, читают или ведут переписку, а порой все это одновременно. Организованные и способные выполнять сразу несколько задач, Львы расправляются с делами с невероятной эффективностью в абсурдно (для других типов) ранний час.

Обусловлено это их биологией. Кортизол поднимается, а мелатонин снижается еще до рассвета. Львы не страдают от утренней сонной инерции. Белое вещество в мозге Льва – нервные волокна, соединяющие области серого вещества и позволяющие нервным клеткам передавать друг другу информацию, – работает исключительно хорошо. Исследователи из Аахенского университета в Германии сравнили [15] структуру мозга 16 человек, склонных к раннему подъему, 23 человек, встающих поздно, и 20 промежуточных типов с помощью продвинутых технологий визуализации и обнаружили, что белое вещество Львов действительно отличается от белого вещества Волков. Когда циркадный ритм Льва посылает сигнал «пора вставать», мозг покорно подчиняется. Их циклы в высшей степени постоянны. Львам редко нужен будильник, чтобы просыпаться в одно и то же время каждый день, даже в выходные и даже в другом часовом поясе. Поэтому они сильно страдают из-за разницы во времени, но в остальном их постоянство в режиме сна можно считать даром свыше.

Исследования, проведенные в Канаде и Франции [16], показали, что регулярный прием пищи и ранний отход ко сну могут нейтрализовать тревожность и депрессию и даже предотвратить обострения шизофрении и биполярного расстройства у людей, страдающих этими заболеваниями. Ученые убеждены: чем раньше вы ложитесь спать, тем лучше это влияет на работу сердца и индекс массы тела. Неудивительно, поскольку употребление нездоровой пищи поздно вечером – основная причина появления атеросклеротических бляшек и избыточного веса. Львы уже спят, когда Волки и Медведи пируют.

Но, как признался Роберт: «Не все так гладко. Моя социальная жизнь висит на волоске». Я попросил его уточнить и вот что услышал: «Я просыпаюсь раньше всех, и у меня есть два-три лишних часа с утра, чтобы поработать, а это очень хорошо, тем более что сейчас я сосредоточен на карьере. Но в будущем мне хочется создать семью. Естественный способ знакомства и общения с людьми – на вечеринке или в баре – для меня почти невозможен, потому что я засыпаю, когда все только начинается».

Роберт описал недавнее свидание. Его дама была вынуждена отложить ужин до 21.00. «В это время я уже готовлюсь ко сну. За ужином мы выпили немного вина, и на меня вдруг свалилась неимоверная усталость. Я старался быть внимательным и заинтересованным, но зевнул как минимум три раза. Когда на следующий день я отправил своей спутнице СМС с благодарностью за приятный вечер, она не ответила. Наверное, решила, что мне с ней скучно. Может, так и было. Я уже плохо соображал и не могу об этом судить». Роберт ходил на свидание в неправильное биовремя (подробнее см. раздел «Влюбиться»).

Настроение и активность Льва достигают пика утром и постепенно снижаются в течение дня. В 2009 году исследователи Льежского университета в Бельгии [17] сравнили когнитивные способности тех, кто встает очень рано, и тех, кто любит поспать, с помощью сканера МРТ. Через полтора часа после подъема оба типа с одинаковыми активностью и качеством выполняли задания, требующие внимательности. Но десять с половиной часов спустя, когда у второй группы услилась активность в областях мозга, отвечающих за концентрацию, первая уже выдохлась. Упомянутые области мозга у них естественным образом отключились. У Львов все работает четко. Высокая эффективность систем касается и переключения в режим сна: как только поступает сигнал, что пора спать, они автоматически отключаются.

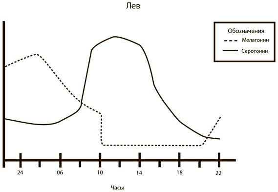
Иллюстрация к книге — Всегда вовремя [i_002.jpg]

Уровень «гормона сна» (мелатонина) у Львов начинает падать около 4.00, из-за чего они раньше просыпаются. Уровень «гормона счастья» (серотонина) достигает максимума в середине утра, обеспечивая Львам хорошее настроение


Единственная жалоба Роберта связана с влиянием хронотипа на социальную жизнь. Он бодр и активен, когда 80 % населения еще спит. Львы чаще всего интроверты (управление миром не требует много общения), но у любого начальника, настоящего или будущего, есть потребность близких отношений и взаимодействия с людьми.

«Мое поколение боится одиночества. И в моем случае для этого есть все основания. Я знаю, что веселье проходит мимо меня, – сказал Роберт. – Я смотрю фотографии в Instagram и слушаю рассказы о том, что произошло на вечеринке после того, как я ушел. Жизнь продолжается, а мне приходится идти спать. И когда просыпаюсь, то я такой единственный на Земле».

Чтобы заставить силу времени работать на себя, Львам нужно поставить перед собой одну простую цель.


Продлить свою исключительную энергичность, позитивность и активность до более позднего времени, чтобы не отключаться так рано вечером.


Я заметил, что Львы сталкиваются с двумя потенциальными сложностями адаптации к новому расписанию.


Непростая адаптация. Львы находятся во власти своей продуктивности. Им трудно изменить график. В расписании ниже я предлагаю не полный пересмотр, а аккуратное смещение по времени привычных действий. Чтобы приспособиться к новому графику приема пищи или тренировок, понадобится примерно неделя. Пока Львы не привыкнут, они будут и чувствовать голод, и излишне нервничать. Но дискомфорт не продлится долго, а изменения необходимы, чтобы втиснуть в график дополнительный час вечерней активности.


Подавленность. Львы привыкли доводить дела до конца одним усилием воли и добиваться немедленных результатов. В противном случае они могут ощущать подавленность. Но биология – не фондовая биржа. Она не изменится за день и даже за неделю. Я хотел бы напомнить Львам, что они достигнут связанных с биовременем целей, поднимаясь по лестнице по ступенькам. Возможность пробиться сквозь «стену» вечера потребует небольших усилий.

Проверка на практике

Приведенное ниже расписание рассчитано на идеальный мир. Но в реальной жизни не все ситуации удается контролировать, а значит, и в точности соблюдать расписание.

Реклама
Вход
Поиск по сайту
Ищем:
Календарь