Книга Полый человек, страница 26 – Дэн Симмонс

Авторы: А Б В Г Д Е Ж З И Й К Л М Н О П Р С Т У Ф Х Ч Ш Ы Э Ю Я
Книги: А Б В Г Д Е Ж З И Й К Л М Н О П Р С Т У Ф Х Ц Ч Ш Щ Ы Э Ю Я
Бесплатная онлайн библиотека LoveRead.ec

Онлайн книга «Полый человек»

📃 Cтраница 26

Они – люди, Джереми. Такие же, как мы.

Нет, малыш. Не такие. Но в любом случае я не стал бы тратить время на размышления о них.

А на что ты стал бы тратить время?

Иллюстрация к книге — Полый человек [_03.jpg]

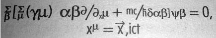
Гейл не сразу понимает, что это за уравнение, и терпеливо ждет, пока в мыслях Джереми сформируется некий словесный перевод.

Подумаешь! – Она искренне негодует. – Ты и еще один парень по имени Дирак могут решить релятивистское волновое уравнение. И чем это поможет людям?

Поможет понять Вселенную, малыш. А это больше, чем польза от подслушивания беспорядочных мыслей всех этих «обычных людей», которых ты так жаждешь понять.

Теперь Гейл уже не сдерживает свой гнев, который черным ветром обрушивается на ее мужа.

Господи, каким ты иногда бываешь высокомерным, Джереми Бремен! Почему ты считаешь электроны более достойным предметом для изучения, чем человеческие существа?

Джереми отвечает не сразу.

Хороший вопрос. – Он на секунду закрывает глаза и размышляет, отгородившись – насколько это возможно – от жены. – Люди предсказуемы, – наконец мысленно произносит Джереми. – В отличие от электронов. – И продолжает, не давая Гейл возразить: – Я не говорю, что действия людей полностью предсказуемы, малыш… Мы знаем, на какие извращения они способны… Но их мотивы составляют очень ограниченный набор, как и действия, являющиеся результатом этих мотивов. В этом смысле принцип неопределенности применим скорее к электронам, чем к людям. В сущности, люди скучны.

Гейл формулирует гневный ответ, но потом сдерживается. Ты серьезно, Джереми?

Муж отправляет ей изображение – самого себя, кивающего головой.

Она выставляет ментальный щит, чтобы подумать об этом. Не отгораживается от супруга полностью, но контакт ослабевает. Джереми хочет продолжить разговор, пытается если не оправдаться, то хотя бы объясниться, но чувствует, что Гейл погружена в собственные мысли, и откладывает разговор.

– Мистер Бремен?

Он открывает глаза и обводит взглядом студентов-математиков. Молодой человек, Арни, отступает от доски. Простое дифференциальное уравнение, но Арни с ним не справился.

Джереми вздыхает, поворачивается на своем вращающемся стуле и начинает объяснять.

В крысиной одежке, в шкуре вороньей, в поле на двух шестах

Бремен жил в картонной коробке под эстакадой на Двадцать третьей улице. Он выучил литанию выживания: встать до рассвета, подождать, позавтракать в столовой Армии спасения на Двадцать третьей улице после часового ожидания пастора, который обратится к ним с проповедью, и еще получасового ожидания, пока не прибудет подогретая еда… Потом, выйдя из столовой в 10:30, тащиться двадцать кварталов к маяку на ланч, тоже после долгого ожидания. На маяке набирают людей на разные работы, и сначала нужно отстоять очередь за работой, а потом – очередь на ланч. Обычно из шестидесяти мужчин или женщин отбирают всего пятерых или шестерых, но в апреле Бремен несколько раз попадал в их число. Возможно, потому, что он относительно молод. Работа, как правило, была неквалифицированной и не требовала умственного напряжения – убрать улицу вокруг конференц-центра или подмести сам маяк, – но Джереми безропотно соглашается на нее, довольный, что есть чем заполнить время, кроме ожидания и путешествий от одной бесплатной столовой до другой.

Обедает он в «ХриСтос Спасает!» или во дворе здания Армии спасения на Девятнадцатой улице. «ХриСтос спасает!» – это Христианский центр помощи, но все знают его по надписи на логотипе в виде креста, где средняя «С» в горизонтальном слове «ХриСтос» служит первой буквой вертикального «Спасает!» Бремен часто смотрит на пустое место над «С» на вертикальной планке креста, снедаемый желанием что-нибудь там написать.

В «ХриСтос Спасает!» кормят гораздо лучше, чем у Армии спасения, но и проповедь дольше – иногда она так затягивается, что основная часть слушателей засыпает и их храп смешивается с урчанием животов, прежде чем преподобный Билли Скотт и монашки разрешают слушателям выстроиться в очередь за едой.

Потом Бремен обычно присоединяется к компании, прогуливающейся вдоль торгового центра на Шестнадцатой улице, а к одиннадцати возвращается в картонную коробку под эстакадой. Сам он не попрошайничает, но когда стоит рядом с Папашей Солом, Мистером Паули или Кэрри Ти и ее детьми, ему тоже кое-что перепадает. Однажды чернокожий мужчина в дорогом шерстяном пальто дал Джереми десятидолларовую купюру.

В этот вечер, как это бывает чаще всего, он заходит в круглосуточный винный магазин, покупает бутылку крепленого фруктового вина и возвращается в свою коробку.

В «городе на высоте мили» апрель – настоящее бедствие. Позже Бремен понял, что мог погибнуть в эти последние дни денверской зимы, особенно в первую ночь после больницы. Шел снег. Джереми бродил среди темных зданий по темным переулкам и покрытым снежной кашей улицам. Наконец он оказался в квартале уничтоженных пожаром одинаковых домов и укрылся среди почерневших бревен. Все болело, но разбитые губы, треснувшие ребра и вывихнутое плечо были словно вулканы страдания, поднимавшиеся над океаном общей боли. От укола, который ему сделали несколько часов назад, клонило в сон, но лекарство уже не ослабляло боль.

Бремен нашел щель между кирпичным дымоходом и почерневшей от огня балкой, забрался в нее и отключился. Проснулся он от того, что его энергично трясли.

– Эй, приятель, у тебя нет пальто! Останешься тут – и замерзнешь, блин, насмерть, это уж как пить дать.

Джереми очнулся и, моргая, посмотрел на лицо, освещенное тусклым светом далекого уличного фонаря. Черное лицо, морщинистое и неухоженное, раздвоенная борода и темные глаза, едва видимые под надвинутой на лоб засаленной спортивной шапочкой. На мужчине было не меньше четырех слоев верхней одежды, и все они воняли. Он пытался поднять Бремена.

– Оставь… меня… в покое, – с трудом выговорил Джереми. Несколько минут сна, хоть и заполненные сновидениями, были почти свободны от нейрошума, чего не случалось со дня смерти Гейл. – Иди к черту! – Бремен высвободил руку и снова попытался свернуться в клубок. Снег падал сквозь дыру в потолке.

– Э, нет, Папаша Сол не позволит тебе сдохнуть здесь просто из-за того, что ты тупая маленькая белая дешевка! – Голос чернокожего был на удивление мягким, гармонирующим с этой тихой ночью и безмолвным вальсом снежинок на фоне черных балок.

Джереми не сопротивлялся, когда его ставили на ноги и вели к разбитой двери.

– Место у тебя есть? – снова и снова повторял незнакомец один и тот же вопрос. А может, он спросил только один раз, а его мысли эхом отражались в головах их обоих… Бремен не был уверен. В ответ он покачал головой.

– Ладно, сегодня останешься с Папашей Солом. Но только до восхода солнца, пока мозги у тебя не встанут на место. Идет?

Вход
Поиск по сайту
Ищем:
Календарь