Книга Александр Беляев, страница 95 – Зеев Бар-Селла

Авторы: А Б В Г Д Е Ж З И Й К Л М Н О П Р С Т У Ф Х Ч Ш Ы Э Ю Я
Книги: А Б В Г Д Е Ж З И Й К Л М Н О П Р С Т У Ф Х Ц Ч Ш Щ Ы Э Ю Я
Бесплатная онлайн библиотека LoveRead.ec

Онлайн книга «Александр Беляев»

📃 Cтраница 95

Борьба с водной стихией сопряжена с большими трудностями. Наступление начнется с берега, в сторону океана. На известном расстоянии от берега строится нечто вроде плота во всю длину береговой линии. Границы этого плота, обращенные к волнам, имеют машины-двигатели, которые используют волнение океана для добывания энергии и укрощают волны. Фронт строится в виде очень прочного плота, а промежуток между этим плотом и берегом покрывается более легким плотом. Так постепенно покроется плотами вся поверхность… „Обилие влаги, ровная, желаемая температура, горизонтальная местность, дешевизна транспорта — все это большие преимущества сравнительно с сушей“. Испаряемость уменьшится, уменьшится и облачность. Средняя температура Земли вследствие этого повысится (большее количество солнечных лучей будет достигать Земли). Не только умеренные, но и полярные страны будут иметь сносную температуру. Земледелие будет процветать на плотах. Население Земли увеличится до 5 биллионов.

Вот Циолковский предлагает проект оригинального бесфюзеляжного аэроплана, который должен явиться как бы переходом к космическому реактивному кораблю. Это даже не один, а десяток или два десятка аэропланов, соединенных особенным образом. Каждый из этих летательных снарядов напоминает собою веретено, сделанное из металла. Внутри — воздух или кислород. „Веретена“ смыкаются боками и образуют как бы волнистую квадратную пластинку площадью не менее 400 квадратных метров. Воздушные винты помещены спереди и сзади каждого „веретена“. При взлете аэроплан ставится на особые поплавки, которые затем сбрасываются, чтобы не висеть мертвым грузом. Спускаться можно непосредственно на воду. Такая система отличается прочностью, безопасностью, большой грузоподъемностью, дешевизной и многими другими летными и экономическими достоинствами.

Интересен и проект земного сверхскоростного поезда. Земным его можно назвать только относительно, так как этот поезд будет двигаться не по земле, а по воздуху: между полом поезда и землей будет находиться слой воздуха. Слой этот будет небольшой, поезд будет висеть „над землей“ всего на несколько миллиметров, но этого слоя достаточно, чтобы свести трение почти к нулю. Такому поезду не нужно будет колес и смазки. Он сможет идти с огромной скоростью. На нем можно будет в полчаса доехать из Москвы до Ленинграда, за десять часов — от полюса до экватора и менее двух суток, чтобы объехать по меридиану вокруг Земли. Каким черепашьим шагом, по сравнению с этим, двигался вокруг света жюльверновский герой! С разбега по инерции поезд будет преодолевать все наклоны, взбираться без всякого усилия на горы и даже… перескакивать через реки, пропасти и горы любых размеров. Долой тоннели!

Циолковский, по-видимому, глядя на солнечные лучи, думает: „Какая бесцельная трата энергии!“ Самая малая былинка занимает и волнует Циолковского. Зерновые хлеба используют только одну шеститысячную долю солнечной энергии. Как возмутительно мало! Солнце должно давать при идеальном использовании его энергии 625 килограммов в год на 1 квадратный метр. А мы получаем с квадратного метра 0,1 килограмма. В 6250 раз менее того, что можно получить! Надо приняться за растения и за солнечный свет! Надо вырастить такие сорта растений, которые использовали бы солнечную энергию возможно больше. Ведь банан ее использует в 100 раз больше, чем зерновые хлеба. Почему же не вырастить такой „сверхбанан“, который явился бы еще лучшим „аккумулятором“ солнечной энергии? И Циолковский намечает план. Надо путем отбора и скрещивания выработать растения, которые способны будут максимально использовать солнечную энергию. Надо позаботиться о том, чтобы солнечная энергия не поглощалась облаками и полупрозрачной атмосферой. Надо устранить вредное перегревание плодов и излишнюю испаряемость, овладеть почвой, температурой, погодой, уничтожить вредителей, сорные травы, пыль. Наконец изменить самый химический состав лучей. На все это имеются у Циолковского подробные указания и расчеты. „Если бы утилизировать хоть 20 % солнечной энергии, то и тогда Земля могла бы прокормить население в 100 тысяч раз больше теперешнего“.

Поистине, у гиганта мысли Циолковского есть чему поучиться…»

Вот это человек — ему не то что страны, целой планеты мало! Ему Солнечная система тесна… Эфирное создание, безразличное к звериной борьбе классов за передел жалких земных благ — нет ни бедных, ни богатых, а есть единое безмерно богатое человечество! И над всем сияющим миром одно только имя — Циолковский! Словно нет и не было других гениев всех времен и народов… И о советской власти ни слова… А что о ней говорить — она такое же безотрадное настоящее, жить в котором недостойно человека [351].

Ну, ладно, о Сталине, Ленине, советской власти Беляев только промолчал. Но ведь были в книге еще и «некоторые эпизоды», которые редактор счел «неприемлемыми»… О их содержании можно теперь лишь строить догадки, опираясь на интуицию.

Итак, социального заказа издательства Беляев не выполнил. Зато Воробьевым и объяснять ничего не надо. Им только намекни, и сразу станет Циолковский истинно советским человеком, чья жизнь началась в 1917 году.

А до того вся была унижение и прозябание.

* * *

Чем больше внимания уделяется сегодня философско-религиозным воззрениям Циолковского, тем настойчивее становятся попытки умалить его, как ученого, даже в том, что совсем недавно считалось безусловным его достижением…

Иллюстрация к книге — Александр Беляев [i_002.jpg]

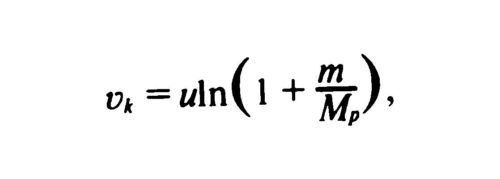
где vk — наибольшая (конечная) скорость ракеты; и — относительная скорость истечения продуктов сгорания из сопла ракетного двигателя; т — начальная масса топлива; МР — масса ракеты без топлива.

Эту формулу определения скорости ракеты Циолковский вывел 10 мая 1897 года, а три десятка лет спустя ее стали называть формулой Циолковского.

Но вот мнение современного специалиста:

«Мистический туман вокруг „формулы Циолковского“, созданный журналистами и другими лицами, не слишком сведущими в математике, по сути, безоснователен. Формула, описывающая разгон ракеты в зависимости от количества израсходованного топлива и полученная Циолковским, настолько элементарна, что ее без труда способен вывести любой человек, знакомый с азами высшей математики. Этим, в частности, объясняется и то, что все пионеры космонавтики (Годдард, Оберт, Эсно-Пельтри, Цандер, Кондратюк) легко получали ее независимо друг от друга и от Циолковского. Более того… получение формулы Циолковского было рутинной задачей, предлагавшейся студентам Кембриджского университета — она входила в учебник [„Учебник динамики частицы с многочисленными примерами“, — З. Б.-С.], изданный впервые в 1856 году (последнее издание 1900 года). Поэтому можно смело утверждать, что сотни, тысячи студентов в течение более 40 лет выводили „формулу Циолковского“ задолго до него» [352].

Вход
Поиск по сайту
Ищем:
Календарь