Книга Опционы. Разработка, оптимизация и тестирование торговых стратегий, страница 80 – Сергей Израйлевич, Вадим Цудикман

Авторы: А Б В Г Д Е Ж З И Й К Л М Н О П Р С Т У Ф Х Ч Ш Ы Э Ю Я
Книги: А Б В Г Д Е Ж З И Й К Л М Н О П Р С Т У Ф Х Ц Ч Ш Щ Ы Э Ю Я
Бесплатная онлайн библиотека LoveRead.ec

Онлайн книга «Опционы. Разработка, оптимизация и тестирование торговых стратегий»

📃 Cтраница 80

Идеальная стратегия – это стратегия с постоянным доходом и нулевыми просадками, дающая прибыль на каждом элементарном отрезке времени. В линейном случае график ее капитала имеет вид прямой с наклоном, характеризующим ее доходность. В экспоненциальном случае графиком идеальной стратегии должен быть график экспоненты, показателем которой является нормированная доходность стратегии (если перейти к графику логарифма капитала, то мы получим все тот же прямолинейный вид, что и в предыдущем случае). Хорошим показателем стабильности является мера отклонения графика капитала (или логарифма капитала) от прямой.

Пусть последовательность X = {X(T), T = T0, T0 + 1…, TN} содержит серию измерений капитала или логарифма капитала на интервале прогонки τ. Через крайние точки этой последовательности проходит прямая линия:

Иллюстрация к книге — Опционы. Разработка, оптимизация и тестирование торговых стратегий [i_179.jpg]
Мера отклонения исходной последовательности от нее может быть задана как сумма квадратов:

Иллюстрация к книге — Опционы. Разработка, оптимизация и тестирование торговых стратегий [i_180.jpg]

Чем меньше значение этого показателя, тем ближе вид кривой капитала стратегии к идеальному.

5.5.3. Пример бэктестинга опционной стратегии

Рассмотрим в качестве примера результаты бэктестинга стратегии, основанной на продажах опционов на SPY и хеджировании позиции покупкой опционов на VIX. Стратегия использует следующий алгоритм: в заданный день до экспирации продается стрэнгл на SPY и покупается колл на VIX следующей серии в объемах, определяемых заложенным в стратегию алгоритмом управления капиталом. Короткая позиция выкупается в заданный день перед экспирацией. Длинный опцион на VIX сохраняется до экспирации. Параметры стратегии:

• день открытия позиции относительно ближайшей экспирации;

• день выкупа коротких опционов;

• соотношение объемов стрэнглов на SPY и коллов на VIX;

• доля капитала в текущей позиции;

• параметр, определяющий расстояние между страйками.

Визуальный анализ

Как правило, анализ результатов бэктестинга начинается с визуализации базовых показателей на графиках в виде кривых, изменяющихся во времени в процессе прогонки по интервалу τ. Наиболее информативным является график капитала. На рис. 5.5.1 показан график, полученный в результате бэктестинга одного из вариантов стратегии. Мы выбрали один из лучших вариантов, дающий достаточно ровный и устойчивый рост капитала. Визуальный анализ графика указывает на то, что рассматриваемый вариант стратегии приемлем и заслуживает дальнейшего более детального изучения.

Обычно график капитала строится с ежедневными оценками (как показано на рис. 5.5.1). Это позволяет оценить внутримесячные колебания и просадки. Однако в случае опционных стратегий часто возникает необходимость представить доходность с привязкой к стандартным моментам экспирации. В таких случаях удобной формой представления является график, показывающий ежемесячные прибыли и убытки (если элементарный период времени составляет один месяц). На рис. 5.5.2 показан график для стратегии, использованной в нашем примере. Такое представление доходности позволяет сразу увидеть, что из 31 месяца, охваченного периодом бэктестинга, большинство были прибыльными и только два месяца принесли существенный убыток. Хотя эти два сильно убыточных месяца пришлись на начальный период тестирования, они не привели к разорению стратегии, что является серьезным показателем ее высокой эффективности.

Иллюстрация к книге — Опционы. Разработка, оптимизация и тестирование торговых стратегий [i_181.jpg]
Иллюстрация к книге — Опционы. Разработка, оптимизация и тестирование торговых стратегий [i_182.jpg]
Анализ расчетных показателей

Ниже приведены расчеты различных показателей для линейного варианта стратегии (с постоянной суммой инвестируемого капитала). Некоторые показатели рассчитаны сразу для двух временных интервалов: месяцев (что соответствует экспирационным циклам) и дней (поскольку день приходится рассматривать как элемент времени, на котором необходима достаточная устойчивость к негативным рыночным событиям).

Период тестирования стратегии: 01.01.2009–31.07.2011 г.

Стартовый капитал: E0 = 1 000 000.

Число календарных дней: d = 938.

Число торговых дней: t = 648.

Число месяцев: m = 31.

Суммарная прибыль: P = 1 953 594 – 1 000 000 = 953 594.

Иллюстрация к книге — Опционы. Разработка, оптимизация и тестирование торговых стратегий [i_183.jpg]

Среднеквадратичное отклонение месячных прибылей:

Иллюстрация к книге — Опционы. Разработка, оптимизация и тестирование торговых стратегий [i_184.jpg]

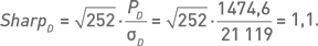
Коэффициент Шарпа для месячных данных:

Иллюстрация к книге — Опционы. Разработка, оптимизация и тестирование торговых стратегий [i_185.jpg]
Иллюстрация к книге — Опционы. Разработка, оптимизация и тестирование торговых стратегий [i_186.jpg]

Среднеквадратичное отклонение дневных прибылей:

Иллюстрация к книге — Опционы. Разработка, оптимизация и тестирование торговых стратегий [i_187.jpg]

Коэффициент Шарпа для дневных данных:

Иллюстрация к книге — Опционы. Разработка, оптимизация и тестирование торговых стратегий [i_188.jpg]

Максимальная просадка состоялась 18.03.2009, когда текущий максимум капитала 1 157 537, установленный 11.03.2009, снизился до 818 733. Величина просадки составила 338 803.

Длительность максимальной просадки (то есть длина периода до установления нового максимального значения капитала) составила 78 дней. Она оказалась самой продолжительной на всем периоде тестирования.

Вход
Поиск по сайту
Ищем:
Календарь