Онлайн книга «Как построить идеальную карьеру»
|
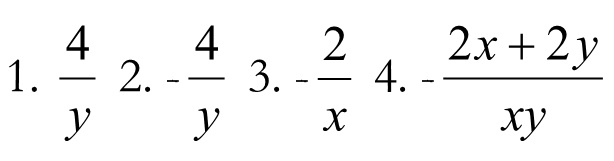
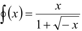
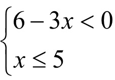
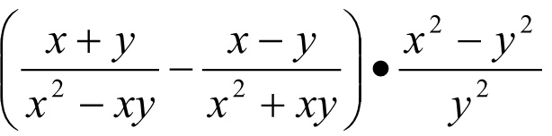
3. Решить систему неравенств ![]() 1.(−∞;2) 2. (2;5] 3. (−∞;5] 4. (2;∞) Правильный ответ:__________ 4. Найдите все значения x , при которых трехчлен x2−2x−15 принимает отрицательные значения: 1.(−5;3) 2.(−∞;−3)∪(5;∞) 3.(−3;5) 4.(5;∞) Правильный ответ:__________ 5. Сумма второго и третьего членов арифметической прогрессии равна 16, разность ее равна 4. Найдите первый член прогрессии: 1. 6 2. 2 3. 5 4.4 Правильный ответ:__________ 6. Шестой член геометрической прогрессии 1000; –100; … равен: 1. 0,01 2. –0,01 3. 0,1 4. –0,1 Правильный ответ: ___________ 7. Найдите сумму квадратов корней уравнения y2(y+5)−(y+5)=0 1. 26 2. 27 3. 25 4. 7 Правильный ответ: ___________ 8. Упростите выражение ![]() ![]() Правильный ответ: ____________ 9. В магазин привезли платья. Так как они плохо раскупались, то цену снизили на 20 % , через некоторое время цену снизили еще на 15 % .После этого цена платья стала равна 23800 рублей. Определите первоначальную стоимость платья: 1. 1700 2. 35000 3. 3700 4. 4100 Правильный ответ:______________ 10. Найдите область определения функции заданной формулой ![]() 1. (0;∞) 2. (−∞;∞) 3. (−∞;0] 4. (−3;0] Правильный ответ:______________ Российская Академия предпринимательства. _______________________________________ ГЕОГРАФИЯ. Контрольное задание для абитуриентов 2006 года. Ниже предлагаются задания двух видов: с вариантами ответов и без вариантов ответов. В первом случае после текста самого задания приводятся пронумерованные варианты ответов. Абитуриентам предлагается выбрать правильные и отметить их в указанном месте, согласно предложенным обозначениям. Во втором случае, в указанных местах просто вписываются правильные, с точки зрения абитуриента, ответы. 1. Какая из нижеперечисленных линий географической сетки пересекает территорию России? 1. линия экватора 2. линия южного полярного круга 3. Гринвический меридиан 4. линия северного полярного круга Правильный ответ: 2. Между островами Ратманов и Крузенштерн проходит: – нулевой меридиан – линия перемены дат – государственная граница – линия экватора Правильный ответ: 3. Большая часть пресных вод содержится 1. в ледниках и снежных покровах 2. в подземных источниках 3. в реках и озерах 4. в болотах Правильный ответ: 4. Мощность озонового слоя составляет: 1. 2–4 мм 2. 2–4 см 3. 2–4 м 4. 2–4 км Правильный ответ: 5. Вынесение на местность линии границы между сопредельными государствами на основании географических карт, прилагаемых к договору, называется: 1. суверенитизация 2. делимитация 3. демаркация 4. коагуляция Правильный ответ: 6. Крайняя восточная точка РФ расположена на территории следующего субъекта федерации: 1. Калининградская область 2. Чукотский автономный округ 3. Магаданская область 4. Камчатская область Правильный ответ: 7. Крупнейшие реки европейской части России относятся к: 1. бассейну Атлантического океана 2. бессточному бассейну 3. бассейну Северного Ледовитого океана 4. бассейну Тихого океана Правильный ответ: 8. Ее высоты нигде не превышают 300 м над уровнем моря. Речь идет о: 1. Туранской низменности 2. Западно-Сибирской равнине 3. Восточно-Европейской равнине 4. Среднесибирском плоскогорье Правильный ответ: 9. Какие из нижеперечисленных стран имеют с Россией общую границу? 1. Норвегия 2. Румыния 3. Республика Корея 4. США 5. Казахстан Правильный ответ: 10. Межрайонные миграции относятся к: 1. внутренним миграциям 2. внешним миграциям 3. маятниковым миграциям Правильный ответ: Российская Академия предпринимательства __________________________________________ Английский язык. Контрольные задания для абитуриентов 2006 года поступления. Ниже предлагаются задания двух видов: с вариантами ответов и без вариантов ответов. В первом случае после текста самого задания приводятся пронумерованные варианты ответов. Абитуриентам предлагается выбрать единственно правильный ответ и отметить их в указанном месте согласно приложенным обозначениям. Во втором случае, предлагается перевести текст на русский язык. |
![Иллюстрация к книге — Как построить идеальную карьеру [img72b5bbfd4de94067a607f2d8aeddb2b2.jpg] Иллюстрация к книге — Как построить идеальную карьеру [img72b5bbfd4de94067a607f2d8aeddb2b2.jpg]](img/book_covers/067/67068/img72b5bbfd4de94067a607f2d8aeddb2b2.jpg)
![Иллюстрация к книге — Как построить идеальную карьеру [img9334992208114b9bbe26775862defc2d.jpg] Иллюстрация к книге — Как построить идеальную карьеру [img9334992208114b9bbe26775862defc2d.jpg]](img/book_covers/067/67068/img9334992208114b9bbe26775862defc2d.jpg)
![Иллюстрация к книге — Как построить идеальную карьеру [imge5c085caf5f44a218d8ad426d9e0560e.jpg] Иллюстрация к книге — Как построить идеальную карьеру [imge5c085caf5f44a218d8ad426d9e0560e.jpg]](img/book_covers/067/67068/imge5c085caf5f44a218d8ad426d9e0560e.jpg)
![Иллюстрация к книге — Как построить идеальную карьеру [img35d7f2d5647541d9989f3aca6b759c99.jpg] Иллюстрация к книге — Как построить идеальную карьеру [img35d7f2d5647541d9989f3aca6b759c99.jpg]](img/book_covers/067/67068/img35d7f2d5647541d9989f3aca6b759c99.jpg)