Онлайн книга «Финансовый менеджмент»
|
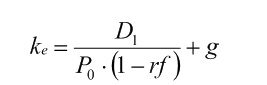
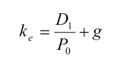
б) хотя выплата по привилегированным акциям не является обязательной, фирмы предпочитают это делать, поскольку: – они не смогут выплачивать дивиденды по обыкновенным акциям; – им будет сложно привлечь дополнительные средства на рынке капиталов. Цена источника привилегированной акции определяется делением годового дивиденда привилегированной акции на чистый доход от продажи акции: ![]() где Dp – годовой дивиденд по привилегированной акции; Рn – цена без затрат на размещение, которую получает фирма. Фирма может выпустить привилегированные акции. Номинал 100 у.е., годовой доход – дивиденд – 10 у.е., то доходность = 10 %. Затраты на размещение составляют 2,5 % номинала. В случае эмиссии фирма получит чистыми от каждой проданной акции 97,5 у.е., а также возьмет на себя обязательство платить ежегодно 10 у.е.. в качестве дивидендов. Определим цену источника «привилегированные акции с учетом затрат на размещение: ![]() 2. Обыкновенные акции и нераспределенная прибыль Фирма может увеличить собственный капитал двумя способами: – реинвестированием части прибыли; – новым выпуском обыкновенных акций. Таким образом, существует два источника собственного капитала – обыкновенные акции и нераспределенная прибыль. Обыкновенные акции – акции, выпускаемые организацией для привлечения капитала, по которым размер дивиденда заранее не фиксируется и не гарантируется. Стоимость обыкновенной акции обычно воспринимают как требуемую норму прибыли инвестора. Цена капитала, формируемого за счет нераспределенной прибыли Кs – это доходность, которую акционер требует от обыкновенных акций фирмы. Оставшийся у фирмы доход после выплаты процентов и фиксированных дивидендов – не– распределенная прибыль. Управляющий может либо выплатить прибыль в качестве дивидендов, либо реинвестировать. Доходность или стоимость нераспределенной прибыли определяется альтернативными издержками (затратами), т.е. акционеры могли бы получить дивиденды и вложить в акции или недвижимость с эквивалентным риском. Чтобы оценить стоимость обыкновенных акций используются три метода: – модель оценки доходности финансовых активов (САРМ); – модель дисконтированных денежных потоков (DCF); – метод «доходность облигации плюс премия за риск». Рассмотри наиболее используемый в финансовом менеджменте метод оценки собственного капитала: Модель оценки доходности финансовых активов (САРМ) Эта модель не может быть проверена эмпирически, поскольку она основана на нескольких нереалистичных предположениях. Однако, она (модель) логически привлекательна. Предполагается, что цена СК равна безрисковой ставке доходности плюс премия за риск. С помощью этой формулы можно вычислить требуемую ставку доходности акций данной фирмы, т.е. цену источника нераспределенной прибыли. Ks=KF +(Km– KF)βi КF – безрисковая доходность; (Km – KF) – премия за риск; b-коэффициент акции – мера систематического риска. На практике нельзя найти действительно безрисковую доходность. Однако можно взять наиболее надежные долгосрочные казначейские облигации, поскольку проценты по казначейским облигациям отражают ожидаемый уровень инфляции. Но и в случае принятия процентной ставки по государственным облигациям в качестве безрисковой необходимо обоснование такой возможности. Премия за риск может быть рассчитана на основе: – фактической доходности; – ожидаемой доходности. Фактическая доходность рассчитывается на основе статистической информации за длительный период времени из расчета среднегодовой доходности акций, казначейских облигаций и облигаций ряда первоклассных компаний. При расчете ожидаемой доходности используется предположение, что в будущем сохранится тенденция предшествующих периодов. β-коэффициент характеризует меру изменчивости доходности акции относительно некоей средней акции. Оценивают β-коэффициент индексом, характеризующим изменения прошлой доходности акций и рыночной доходности за определенный период. Модель Гордона является вариацией модели дисконтирования, методом для вычисления цены акции. Модель подразумевает, что компания на сегодняшний день выплачивает дивиденды в размере D, которые в будущем будут увеличиваться с неизменной ставкой g. Модель Гордона для определения стоимости обыкновенной акции: ![]() Ке – стоимость обыкновенных акций; D1 – ожидаемые дивиденды; Р0 – стоимость (цена) обыкновенной акции; g – темп роста дивиденда (принимается постоянным во времени). При оценке стоимости источника обыкновенные акции нового выпуска используется модификация модели, учитывающая затраты на размещение акций. ![]() Ке – стоимость обыкновенных акций; D – ожидаемые дивиденды; Р0 – стоимость (цена) обыкновенной акции; rf – уровень затрат на размещение акций в долях единицы; g – темп роста дивиденда (принимается постоянным во времени). Иногда используется метод оценки требуемой доходности акционерного капитала через корректировку требуемой доходности по заемному капиталу (облигациям). В общем случае требуемая доходность превышает безрисковую доходность на величину премии за риск. Исходя из предположения, что требуемая доходность по акционерному капиталу превышает требуемую доходность по заемному, можно воспользоваться моделью: ks=kd+премия(3−4%) Модели и формулы оценки отдельных элементов капитала приведены в ПРИЛОЖЕНИИ 2. Средневзвешенная стоимость капитала (WACC) Важнейшая цель определения средневзвешенной стоимости капитала – использование ее как критерия для принятия решений о новых инвестициях, которые оцениваются по ставке доходности, позволяющей в достаточной мере возместить затраты всех поставщиков капитала. |
![Иллюстрация к книге — Финансовый менеджмент [img2651a8a905ba473c96706e1b0623332f.jpg] Иллюстрация к книге — Финансовый менеджмент [img2651a8a905ba473c96706e1b0623332f.jpg]](img/book_covers/066/66991/img2651a8a905ba473c96706e1b0623332f.jpg)
![Иллюстрация к книге — Финансовый менеджмент [img5bbf1195b065480691dcdd2a718abb64.jpg] Иллюстрация к книге — Финансовый менеджмент [img5bbf1195b065480691dcdd2a718abb64.jpg]](img/book_covers/066/66991/img5bbf1195b065480691dcdd2a718abb64.jpg)
![Иллюстрация к книге — Финансовый менеджмент [img9bdf122c0ffe4fd7ad278f11d2b3157d.jpg] Иллюстрация к книге — Финансовый менеджмент [img9bdf122c0ffe4fd7ad278f11d2b3157d.jpg]](img/book_covers/066/66991/img9bdf122c0ffe4fd7ad278f11d2b3157d.jpg)
![Иллюстрация к книге — Финансовый менеджмент [img8177dea44ed64fceb9291196cbe02779.jpg] Иллюстрация к книге — Финансовый менеджмент [img8177dea44ed64fceb9291196cbe02779.jpg]](img/book_covers/066/66991/img8177dea44ed64fceb9291196cbe02779.jpg)