Книга Управление человеческими ресурсами. Учебник, страница 59 – Владимир Лукашевич, Юрий Одегов

Авторы: А Б В Г Д Е Ж З И Й К Л М Н О П Р С Т У Ф Х Ч Ш Ы Э Ю Я
Книги: А Б В Г Д Е Ж З И Й К Л М Н О П Р С Т У Ф Х Ц Ч Ш Щ Ы Э Ю Я
Бесплатная онлайн библиотека LoveRead.ec

Онлайн книга «Управление человеческими ресурсами. Учебник»

📃 Cтраница 59

На стадии формирования программы крайне важно, сохраняя главную целевую установку, обеспечить преемственность и последовательность промежуточных этапов и решений путем выявления и анализа их влияния на конечные результаты реализации программы.

Для увязки всех этапов реализации программы может быть составлено «дерево целей». Этот термин начал использоваться в литературе по менеджменту еще в 1960-е гг. Его появление связывают обычно с методикой PATTERN, на основе которой разрабатывалась программа «Аполлон». В настоящее время это понятие получило широкое распространение не только при составлении программ освоения космоса, но и в управлении производственной и коммерческой деятельностью различных организаций, при разработке экономических и социальных программ.

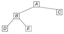
Термин «дерево целей» состоит из двух понятий: «дерево», которое четко описано в теории графов, и «цели», которое имеет конкретное значение в управлении. Поэтому объединение двух понятий не требует специального объяснения и воспринимается обычно интуитивно, как само собой разумеющееся. «Деревом» называется граф G (X, R, Y, Z), в котором любая пара вершин соединена единственной цепью дуг. Пример «дерева» можно представить следующим образом (рис. 12.2).

Иллюстрация к книге — Управление человеческими ресурсами. Учебник [i_037.jpg]

Рис. 12.2. «Дерево целей»


В понятии «дерево целей» корень «дерева» отождествляется с главной целью программы, выделение первого уровня вершин соответствует подцелям первого уровня, вершины на следующем уровне определяются подцелями второго уровня и т. д. Подцели нижних уровней «дерева целей» следует рассматривать как средства и способы достижения целей более высокого уровня.

После того как цели и подцели при помощи «дерева целей» согласованы и ранжированы, программа принимает обычно форму директивного документа, обязательного для всех исполнителей.

Однако в процессе ее реализации могут возникнуть изменения в системе управления и в окружающей среде, которые отсутствовали (или не были учтены) в момент принятия программы. Нередко эти изменения вызывают серьезные затруднения в реализации как всей программы, так и отдельных ее этапов. Поэтому необходим постоянный комплексный контроль за ходом реализации всей программы и каждого ее этапа.

Обычно для осуществления такого контроля создаются специальные подразделения, которые включаются в матричную систему управления.

По результатам контроля проводится анализ, в ходе которого сопоставляются полученные результаты с целями (подцелями) программы, и в случае отклонений выясняются их причины, а затем принимаются меры либо по корректировке программы, либо по устранению отклонений. Причем принятию решения о корректировке программы или об устранении отклонений должна предшествовать диагностика проблем, вызвавших отклонение от заданных целей (подцелей) программы.

Однако возможны ситуации, когда в ходе контроля выясняется, что невыполнение заданий программы имеет гипотетический характер, т. е. сбои только могут произойти, но еще не произошли. Тогда проблему рассматривают как потенциальную возможность срыва заданий программы. Например, активный поиск способов повышения эффективности работы подразделения (или улучшения качества производимой продукции или оказываемых услуг), характерный для японских кружков контроля качества, даже если программа реализуется успешно, будет упреждающим управлением и, безусловно, принесет пользу организации, реализующей программу.

Все же для упреждающего управления необходима соответствующая система мотиваций всех участников реализации программы, а это далеко не всегда осуществимо на практике.

В нашей стране накоплен существенный опыт программно-целевого управления на всех уровнях, но далеко не все программы были осуществлены в полном объеме и в установленные сроки. Среди причин невыполнения заданий программ можно отметить недостаточную организацию контроля, низкий уровень ответственности и отсутствие должной мотивации участников реализации программ.

Системный подход в ряде случаев дополняется ситуационным подходом.

Ситуационный подход способствовал дальнейшему развитию теории управления, позволив использовать возможности прямого приложения науки к конкретным ситуациям и условиям. Центральный момент ситуационного подхода – ситуация. Ситуация – это конкретный набор факторов внутренней и внешней среды, которые оказывают сильное влияние на организацию в данное конкретное время. Изза того, что в центре внимания оказывается ситуация, ситуационный подход порождает «ситуационное мышление», т. е. мышление, сосредоточенное на ситуации. Используя указанный подход, руководители могут лучше понять, какие приемы будут в большей степени способствовать достижению целей организации в конкретной ситуации.

Ситуационный подход, был разработан в конце 1960-х гг. Рассмотрение ситуации как важного явления не ново в управленческой теории. Намного опережая свое время, Мери Паркер Фоллетт еще в 1920-е гг. говорила о «законе ситуации». Она отмечала, что различные ситуации требуют различных типов знаний и что человек, обладающий знаниями применительно только к одной ситуации, стремится быть в хорошо управляемых деловых организациях, при прочих равных условиях, калифом на час.

Ситуационный подход позволяет увязать конкретные приемы и концепции с определенными конкретными ситуациями для того, чтобы достичь целей организации наиболее эффективно. Он пытается определить значимые переменные ситуации и их влияние на эффективность функционирования организации.

Применение ситуационного подхода основано на альтернативности достижения одной и той же цели во время принятия или реализации управленческого решения (планов и т. д.), учете непредвиденных обстоятельств.

Конкретные ситуации могут изменяться по следующим признакам:

– содержанию – технические, экономические, политические, организационные, психологические и др.;

– виду управленческого решения во времени – стратегические, тактические, оперативные;

– ресурсам и способам обеспечения реализации управленческих решений;

– методам реализации управленческих решений.

Наряду с перечисленными методологическими подходами в кадровом менеджменте могут использоваться количественный, комплексный, процессный и другие методологические подходы.

Если проследить развитие управленческой мысли в послевоенном мире, то можно выделить следующие периоды.

В 1950–1960-е гг. широкое распространение получили сначала идеи постбюрократических организаций, «организационного гуманизма», а затем представления о предприятии как об открытой системе, активно заимодействующей со своей средой и в конечном счете приспосабливающей свое внутреннее строение к ее «организационному контексту», т. е. состоянию внешней среды предприятия, его размерам, целям и технологии деятельности, качествам людей, формирующих его человеческий капитал.

Вход
Поиск по сайту
Ищем:
Календарь