Книга Система государственного и муниципального управления, страница 35 – Юлия Вертакова, Екатерина Харченко

Авторы: А Б В Г Д Е Ж З И Й К Л М Н О П Р С Т У Ф Х Ч Ш Ы Э Ю Я
Книги: А Б В Г Д Е Ж З И Й К Л М Н О П Р С Т У Ф Х Ц Ч Ш Щ Ы Э Ю Я
Бесплатная онлайн библиотека LoveRead.ec

Онлайн книга «Система государственного и муниципального управления»

📃 Cтраница 35

Денежная масса – это сумма общепризнанных платежных средств в экономике страны. В современных условиях она складывается из наличных денег в обращении и депозитов в банках, которые экономические агенты используют для оплаты сделок.

Если денежную массу обозначить как М, наличные деньги в обращении – Си депозиты – Д, то


М= С+ Д.


Современная банковская система – это система с частичными резервами: только часть депозитов хранят в виде резервов, а остальные используют для выдачи кредитов и других активных операций. Выдавая кредиты, банки тем самым позволяют заемщикам использовать эти средства для сделок, следовательно, сумма платежных средств увеличивается на величину предоставленного кредита, т. е.


М=С+Д + К,


где К – объем кредитов, выданных банками.

Процесс эмиссии платежных средств в рамках системы коммерческих банков называется кредитной эмиссией. Размеры выдаваемых кредитов в банковской системе зависят от суммы депозитов и величины резервов. Если предположить, что все платежные средства хранятся в банке, то денежная масса тем больше, чем меньше норма резервов г.

Норма резервов представляет собой отношение суммы резервов R к величине депозитов Д:


r = (R: Д) 100 %.


Функционирование системы коммерческих банков в условиях безналичных расчетов приводит к тому, что выдача кредита одним банком вызывает мультипликативный эффект (эффект умножения), когда процесс длится до использования в качестве кредита последней денежной единицы.

Коэффициент, показывающий, во сколько раз банки увеличивают предложение денег в экономике при условии, что все деньги хранятся в банке, называется депозитным (банковским) мультипликатором т, и его можно представить как


m = 1: г.


Прирост денежной массы в обращении вследствие кредитной деятельности банков можно выразить как


ΔM =(1: г) ΔД, или ΔM = mΔД,


где ΔД – прирост депозитов, или увеличение ресурсов коммерческих банков;

m – депозитный мультипликатор.


В реальной жизни, однако, население и фирмы не все деньги хранят в банках, а часть держат в виде наличности. Вследствие этого способность банков увеличивать денежную массу в обращении зависит не только от нормы резервов, но и от поведения населения, его доверия к банковской системе.

В целом же объем денежной массы в обращении изменяется в результате операций Центрального банка, устанавливающего норму обязательных резервов, коммерческих банков, определяющих размеры выдаваемых кредитов, а также решений небанковского сектора.

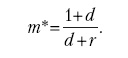
Поведение населения (d) будет характеризовать отношение наличных денег к сумме депозитов в коммерческих банках, т. е.


d=C: Д


Коэффициент, характеризующий степень воздействия коммерческих банков на объем денежной массы в обращении с учетом роли Центрального банка, а также возможного оттока части денег с депозитов банковской системы в наличность, называется денежным мультипликатором.

Обозначив его как m*, можем записать следующую формулу:

Иллюстрация к книге — Система государственного и муниципального управления [i_007.jpg]

Общая модель предложения денег строится с учетом операций Центрального банка, коммерческих банков, а также решений небанковского сектора.

Механизм воздействия Центрального банка на объем денежной массы в экономике покажем, используя уравнение основных составляющих денежной массы:


М= m*В,


где В – денежная база.


Денежная база (или деньги повышенной эффективности) – это сумма денег, выпущенных в обращение, плюс резервы коммерческих банков, хранящиеся на депозитах в Центральном банке.

У равнение позволяет выявить два фактора, влияющих на величину денежной массы. Первый фактор – это изменение денежной базы. Через денежную базу Центральный банк оказывает непосредственное влияние на предложение денег в экономике, изменяя прежде всего величину резервов коммерческих банков.

Второй фактор, через который Центральный банк может контролировать предложение денег в экономике, – изменение нормы обязательных резервов, которое вызывает изменение денежного мультипликатора.

Таким образом, механизм воздействия Центрального банка на объем денежной массы в экономике предполагает первоначальную модификацию денежной базы вследствие операций Центрального банка и последующее изменение предложения денег в системе коммерческих банков вследствие действия эффекта мультипликатора.

Корректировку величины денежной массы Центральный банк осуществляет, используя различные инструменты прямого и косвенного регулирования, с помощью которых влияет на размеры денежной базы и денежного мультипликатора.

Прямое регулирование предложения денег в экономике предполагает установление лимитов кредитования, процентных ставок, объема выдаваемых кредитов и пр. Используется оно, как правило, в условиях неразвитости банковской системы и денежного рынка в целом, в периоды усиления инфляции или финансовых кризисов.

В современных условиях в странах с развитой рыночной экономикой преимущественно используются три основных инструмента, с помощью которых Центральный банк осуществляет косвенное регулирование денежно-кредитной сферы: операции на открытом рынке, учетная ставка и норма обязательных резервов.

Проводя операции на открытом рынке и изменяя учетную ставку, Центральный банк влияет непосредственно на денежную базу. Изменение нормы обязательных резервов, как уже отмечалось, воздействует на процесс мультипликации.

Операции на открытом рынке – купля или продажа Центральным банком государственных ценных бумаг, как правило, на вторичном рынке, так как подобная деятельность Центрального банка на первичном рынке носит инфляционный характер и ограничена или запрещена законом во многих странах.

Покупая ценные бумаги у частного лица или коммерческого банка, Центральный банк увеличивает резервы коммерческих банков, находящиеся на их корреспондентских счетах, соответственно растет денежная база. Получив дополнительные ресурсы, коммерческие банки увеличивают объемы выдаваемых кредитов, включается механизм кредитной эмиссии и сопровождающего ее мультипликативного расширения денежной массы:


ΔM = m × ΔB.


Если Центральный банк продает ценные бумаги, то процесс протекает в обратном направлении и происходит уменьшение денежной массы. Увеличение ресурсов коммерческих банков может также происходить, если Центральный банк предоставляет кредиты коммерческим банкам. Процесс кредитования коммерческих банков Центральным банком называется рефинансированием. Ставка, по которой Центральный банк выдает кредиты коммерческим банкам, называется учетной ставкой (если кредит в основном предоставляется в форме учета векселей) или ставкой рефинансирования (при других методах кредитования).

Вход
Поиск по сайту
Ищем:
Календарь