Онлайн книга «Практика управления инновационными проектами. Учебное пособие»
![]() Рис. Иерархическая структура работ проекта строительства завода 1.4. Подготовка к монтажу. 2. Оборудование. 2.1. Закупка оборудования. 2.2. Доставка оборудования. 2.3. Монтаж. 2.4. Пусконаладка. 3. Персонал. 3.1. Поиск персонала. 3.2. Наем персонала. 3.3. Обучение. 3.4. Расстановка по рабочим местам. 4. Юридическое обеспечение. 4.1. Регистрация юридического лица. 4.2. Получение разрешений. 4.3. Сертификация. 5. Снабжение. 5.1. Определение поставщиков. 5.2. Организация логистики. 5.3. Обеспечение хранения. 6. Сбыт. 6.1. Упаковка. 6.2. Организация поставок покупателям. 6.3. Обеспечение перевозок. 7. Инфраструктура и коммуникации. 7.1. Ремонт дорог. 7.2. Обеспечение энергоресурсами. 7.3. Водопровод и канализация. 7.4. Утилизация отходов. Полученная ИСР оказывается универсальной, типовой. В самом деле, если возникает необходимость в создании ИСР, например, завода по производству стройматериалов, то эта же структура может использоваться и для такой задачи. Таким образом, получилась типовая ИСР, которая может использоваться для разнообразных задач, возможно, с небольшой корректировкой. Типовая ИСР позволяет существенно сократить время на разработку документов и понизить требования к квалификации персонала проекта. 4.3
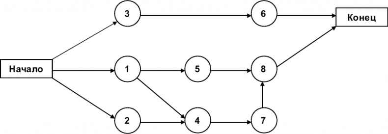
Планирование ресурсов. Определение последовательности (взаимосвязей) операций При планировании ресурсов определяется общее количество ресурсов всех видов, которые необходимы для выполнения операций проекта. Планирование ресурсов зависит от политики назначения персонала, закупки материалов и оборудования, проведения подрядных торгов, принятых в исполняющей организации. Результатом является перечень типов и количества ресурсов, необходимых для выполнения всех элементов ИСР, а также календари ресурсов – промежутки времени, когда ресурсы могут быть использованы (пример – праздники, отпуск). Ресурсы должны быть назначены на все виды работ проекта. Соответствие ресурсов конкретным работам удобно представить в виде табл. 4.1. Таблица 4.1 Назначение ресурсов ![]() Код работы в таблице – это номер работы в иерархическом списке работ. Для назначения ресурсов необходимо иметь информацию о составе работ (операций) проекта, параметрах операций (объемы и характер работ и т. п.), наличии ресурсов. В результате процесса планирования ресурсов должно быть определено количество ресурсов каждого типа, задокументированы рабочие и нерабочие дни, в которые ресурс будет недоступен. Определение последовательности (взаимосвязей) операций. Перечень работ и операций дает возможность определить и задокументировать технологические взаимосвязи между операциями проекта. Для этого необходимо описание продукта, поскольку его характеристики могут повлиять на последовательность операций (например, в зависимости от используемых технологий строительства здания в некоторых случаях крыша может сооружаться раньше стен). Командой проекта могут устанавливаться директивные взаимосвязи, отражающие организационные ограничения на порядок исполнения операций или опыт выполнения предыдущих проектов. Для определения взаимосвязей операций используются различные диаграммы, например диаграммы «операции в узлах» (метод построения сетевых диаграмм, отображающий операции в вершинах-узлах, а взаимосвязи – в виде направленных дуг, соединяющих соответствующие вершины), диаграммы «операции на дугах» (метод построения сетевых диаграмм, отображающий операции на направленных дугах, а в узлах – события: начало, завершение операции). Результатом процесса является сетевая диаграмма проекта, т. е. схематическое отображение операций проекта и логических взаимосвязей между ними. Поскольку инструменты сетевого планирования хорошо описаны в многочисленных источниках, укажем в качестве примера лишь сетевую диаграмму проекта строительства завода по производству пенобетона (рис. 4.3). При построении сетевых диаграмм необходимо соблюдать следующие правила. [10] Правило 1. Сетевой график разворачивается слева направо. Правило 2. Событие не может состояться, если не завершены все ведущие к нему работы. Правило 3. Стрелки в сетевом графике обозначают отношения предшествования и следования. На рисунке стрелки могут пересекаться. Правило 4. Каждая операция должна иметь собственный номер. Правило 5. Номер последующей операции должен быть больше номера любой предшествующей операции. Правило 6. Образование петель недопустимо (другими словами, не должно происходить зацикливания хода выполнения установленного набора операций). Правило 7. Условные переходы от одной операции к другой не допускаются (имеется в виду определение последовательности хода выполнения операций условиями типа: «Если будет достигнут успех, сделайте то-то, если нет – ничего не предпринимайте»). Правило 8. Один узел должен определять начало всего комплекса работ и один узел – завершение. ![]() Рис. 4.3. Сетевая диаграмма завода по строительству пенобетона: 1 – регистрация юридического лица; 2 – риск помещения; 3 – наем персонала; 4 – аренда помещения; 5 – закупка и поставка оборудования; 6 – обучение персонала; 7 – ремонт помещения; 8 – монтаж оборудования 4.4
Определение длительности операций Оценка длительностей операций или продолжительности работ – это оценка количества рабочих временных интервалов или продолжительности работ, необходимых для завершения отдельных операций. Для оценки длительности операций необходимо знать объемы работ на операциях, потребности операций в ресурсах и производительность ресурсов. Например, чтобы определить время, необходимое для выемки грунта под фундамент, необходимо знать объем работ (количество кубометров грунта), тип экскаватора (используемый ресурс) и производительность экскаватора (сколько кубометров грунта в час вынимает экскаватор). Оценка длительности операций постепенно уточняется по мере появления более достоверной информации. |
![Иллюстрация к книге — Практика управления инновационными проектами. Учебное пособие [_16.jpg] Иллюстрация к книге — Практика управления инновационными проектами. Учебное пособие [_16.jpg]](img/book_covers/066/66606/_16.jpg)
![Иллюстрация к книге — Практика управления инновационными проектами. Учебное пособие [_17.jpg] Иллюстрация к книге — Практика управления инновационными проектами. Учебное пособие [_17.jpg]](img/book_covers/066/66606/_17.jpg)
![Иллюстрация к книге — Практика управления инновационными проектами. Учебное пособие [_18.jpg] Иллюстрация к книге — Практика управления инновационными проектами. Учебное пособие [_18.jpg]](img/book_covers/066/66606/_18.jpg)