Онлайн книга «Большая книга директора магазина 2.0. Новые технологии»
|
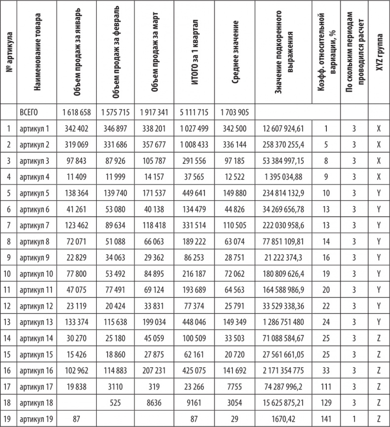
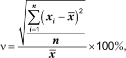
• СС – наименее ценные для компании товары; необходимо рассмотреть возможность замены ряда товаров из этой группы, а также оценить эффективность исключения наименее прибыльных товаров. Однако прежде чем принимать решение о выведении из ассортимента, необходимо выяснить причины попадания товаров в группу СС. При многочисленных плюсах метода АВС-анализа существует один значительный минус: данный метод не позволяет оценивать сезонные колебания продаж Товары с ярко выраженным сезонным спросом могут мигрировать из группы А в группу. ![]() Рис 2. 33. АВС-анализ В и в группу С Непродуманное сокращение группы С может привести к сокращению ассортимента магазина и как следствие – к снижению оборота, а оставшиеся товары распределятся снова по тому же принципу. Для принятия решения об оптимизации ассортимента магазина используется сочетание АВС-анализа и XYZ-анализа. XYZ-анализ Основная идея XYZ-анализа состоит в группировке объектов анализа по мере однородности анализируемых параметров (по коэффициенту вариации) Другими словами, этот анализ делит объекты по степени отклонения от среднего показателя, высчитываемого за несколько периодов. 1. Выбираем объект анализа и параметр, по которому мы будем сравнивать объекты. Традиционно в рознице объектами XYZ-анализа являются поставщики, товарные группы (категории), товарные единицы и т. п. Каждый из этих объектов может быть описан различными параметрами: объемом продаж (в денежном или количественном выражении), доходом (в денежном выражении), товарным запасом и т. д. 2. Определяем количество периодов, по которым будет проводиться анализ: неделя, декада, месяц, квартал/сезон, полугодие, год. 3. Определяем коэффициент вариации – среднеквадратическое отклонение – для каждого объекта анализа. Расчет коэффициента вариации: ![]() где xi – значение параметра по оцениваемому объекту за период; 4. Составляем рейтинговый список объектов анализа по возрастанию значения коэффициента вариации. 5. Определяем, какие объекты относятся к группам X, Y и Z. XYZ-анализ имеет смысл, если количество анализируемых периодов довольно велико, и чем больше количество периодов, тем более показательными будут результаты. Количество периодов анализа должно соответствовать периоду оборачиваемости товара: чем больше период оборачиваемости, тем большее количество периодов должно быть взято для анализа. Например, молоко, хлеб, яйца имеют короткий срок реализации и оборачиваемости, соответственно, в качестве периода может быть взята неделя, а в качестве количества периодов – несколько недель или месяцев. Для анализа бытовой техники или одежды нужно брать в качестве периода не менее месяца (лучше больше), а в качестве количества периодов – полгода и более, так как это товары медленно оборачиваемые. • Группа X – объекты, значение коэффициента вариации по которым не превышает 10 %. Эти объекты изменяют свои показатели с течением времени незначительно, соответственно, возможен более точный прогноз. • Группа Y – объекты, коэффициент вариации по которым составляет 10–25 %. Эти объекты изменяют свои показатели во времени, возможности прогноза средние. • Группа Z – объекты, коэффициент вариации по которым превышает 25 %. Показатели этих объектов имеют серьезные колебания, какие-либо явные тенденции отсутствуют. Возможности прогноза низкие. В табл 2 28 приведен пример XYZ-анализа, а в табл 2 29 показаны результаты XYZ-анализа. Объект анализа – товарные позиции, параметр анализа – объем продаж, руб. Самый серьезный недостаток XYZ-анализа состоит в том, что в реальной жизни на продажи и доходность товаров в магазине оказывает влияние огромное количество факторов. Например, на объемы продаж определенной товарной группы в разные периоды времени влияет сезонность спроса, регулярность поставок, колебания цен на аналогичные товары у конкурента, наличие или отсутствие специальных мероприятий по продвижению и т. д. Все эти факторы будут вызывать колебания продаж и как следствие – высокие показатели коэффициента вариации. Таким образом, можно сказать, что результаты XYZ-анализа будут достоверны, только если анализируется достаточно длительный период времени, что тоже не всегда возможно, так как в магазине постоянно происходит ротация ассортимента, да и ситуация на рынке меняется быстро. Специалист, проводящий такой анализ, должен постоянно отслеживать влияние всех случайных и временных факторов и не принимать решения только на основании попадания товара в группу X, Y или Z. Таблица 2.28. Пример таблицы XYZ-анализа. ![]() Таблица 2.29. Пример таблицы результатов XYZ-анализа. ![]() Группу Х в магазине составят товары, спрос на которые действительно мало зависит от влияния различных факторов – хлеб, молоко, соль, сахар и т. п. Относительно всех других товаров необходимо обращать внимание в первую очередь не на степень отклонения от среднего показателя, а на динамику показателей – рост, падение или скачки оборота (доходности). Совмещение результатов АВС– и XYZ-анализа В результате данного совмещения мы получаем девять групп объектов анализа по двум критериям (табл 2. 30): степени влияния на конечный результат (АВС) и стабильности/прогнозируемости этого результата (XYZ). Таблица 2.30. Совмещенный АBC– и XYZ-анализ товарооборота. ![]() Внедрение интегрированного АВС– и XYZ-анализа в практику работы розничных предприятий обеспечивает эффективное управление товарным ассортиментом, что в свою очередь способствует ускорению оборачиваемости товара, уменьшению излишков товаров, снижению риска их списания, минимизации суммарных затрат, связанных с запасами. Множество аналитических отчетов, таких как «оборачиваемость запасов», «динамика продаж», «ассортиментный минимум» и т. п., оказывают помощь руководителю магазина в принятии обоснованных управленческих решений. Формирование заказа поставщикам при помощи информационной системы может проводиться с учетом, например, следующих параметров: |
![Иллюстрация к книге — Большая книга директора магазина 2.0. Новые технологии [i_122.jpg] Иллюстрация к книге — Большая книга директора магазина 2.0. Новые технологии [i_122.jpg]](img/book_covers/066/66547/i_122.jpg)
![Иллюстрация к книге — Большая книга директора магазина 2.0. Новые технологии [i_123.jpg] Иллюстрация к книге — Большая книга директора магазина 2.0. Новые технологии [i_123.jpg]](img/book_covers/066/66547/i_123.jpg)
![Иллюстрация к книге — Большая книга директора магазина 2.0. Новые технологии [i_124.jpg] Иллюстрация к книге — Большая книга директора магазина 2.0. Новые технологии [i_124.jpg]](img/book_covers/066/66547/i_124.jpg)
![Иллюстрация к книге — Большая книга директора магазина 2.0. Новые технологии [i_125.jpg] Иллюстрация к книге — Большая книга директора магазина 2.0. Новые технологии [i_125.jpg]](img/book_covers/066/66547/i_125.jpg)
![Иллюстрация к книге — Большая книга директора магазина 2.0. Новые технологии [i_126.jpg] Иллюстрация к книге — Большая книга директора магазина 2.0. Новые технологии [i_126.jpg]](img/book_covers/066/66547/i_126.jpg)