Онлайн книга «Большая книга директора магазина 2.0. Новые технологии»
|
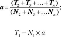
4. На этой основе запланировать объем продаж. Далее план продаж всего магазина распределяется по группам товаров (категориям). Например, открытие магазина обошлось нам в 2 500 000 руб Владельцы хотят достичь уровня рентабельности 20 % инвестированного капитала через 2 года (срок определяется на основании среднерыночных данных периода окупаемости магазина). Вопрос: какой товарооборот нам нужно запланировать, чтобы выйти на заданные показатели? 2,5 млн руб делим на 24 месяца, получаем 104 167 руб в месяц – возврат инвестиций (в случае использования кредитных средств нужно прибавить к этой сумме проценты по кредитам). Совокупность постоянных затрат на магазин составляет около 700 000 руб в месяц. Совокупность переменных затрат (премиальный фонд, логистические расходы, расходы на предпродажную подготовку товара и его продажу, рекламные расходы, непредвиденные расходы и т. п.) без затрат на закупку товара в нашем случае будет составлять 50 000 руб в месяц. Усредненная торговая наценка в нашем сегменте равна примерно 40 %. Соответственно, мы должны иметь валовый доход (оборот в рублях минус себестоимость закупленного товара), который будет ежемесячно покрывать 854 167 руб В случае, когда фактическая усредненная наценка в 40 % будет равна этой сумме, мы получим точку безубыточности. Оборот при этом должен составить 2 135 417 руб. Теперь о том, какой должен быть оборот через 2 года, чтобы достичь заданного уровня рентабельности. Общая сумма вложенных средств за 2 года составит 20 500 000 руб 20 % от этой суммы – 4 100 000 руб, что составляет 341 667 руб в месяц прибыли до налогообложения. Прибавляем эту сумму к ранее рассчитанному показателю оборота в точке безубыточности и получаем 2 447 083 руб, округленно 2 450 000 руб в месяц – оборот, на который должен выйти магазин через 2 года, чтобы достичь заданных показателей рентабельности. При расчетах также нужно учесть прогнозы по уровню инфляции. Однако этот расчет – только одна часть дела, ответ на вопрос «сколько нужно», а еще есть вопрос «сколько возможно» Для этого нужно вычислить потенциальный объем продаж вашего магазина. Чтобы вычислить потенциал своего магазина (Т1), можно воспользоваться математическим методом. 1. Выберите несколько магазинов-конкурентов со сходными характеристиками – формат, численность населения в районе, уровень доходов и возраст целевых клиентов. 2. Получите объемы продаж этих магазинов (T2, T3, …Tn) и вычислите средний недельный объем продаж в расчете на 1 тысячу жителей (покупателей) a В этом вся сложность метода Как правило, конкуренты крайне неохотно делятся такими сведениями Вычислить можно по среднему чеку, сделав «контрольные» закупки утром и вечером – на чеке пробивается порядковый номер, и можно посчитать примерное количество чеков в день. 3. Полученное значение (a) умножьте на число жителей (покупателей) N1 нашего района. ![]() После этого нужно сравнить вычисленный потенциальный показатель оборота с экономически обоснованным. В случае если потенциал превосходит экономически обоснованный, можно смело приступать к открытию. Если же ниже – требуется либо пересмотреть изначальные ожидания, либо отказаться от открытия данного магазина. ПРИМЕР: Скоро открытие магазина «Ласточка». Считаем потенциал магазина, используя данные по трем магазинам в других районах города со сходными характеристиками (табл. 2.18). Таблица 2.18. Расчет потенциала магазина по трем магазинам со сходными характеристиками. ![]() ВЫВОД: При прочих равных условиях прогноз продаж на неделю для магазина «Ласточка» будет равен 38 тысяч руб. За месяц потенциал объема продаж можно установить в 162 000 рублей. Но такой расчет верен в случае, если у «Ласточки» в районе нет конкурентов. Если же конкуренты есть, то 162 000 руб. – это общая емкость данного рынка, который может быть занят несколькими другими магазинами. В таком случае нужно определить примерную долю каждого конкурента и понять, у какого магазина и за счет чего (низких цен? лучшего сервиса? бесплатной доставки? грамотных продавцов?) мы постараемся отнять часть покупателей и сколько процентов рынка мы собираемся завоевать. Источник: Бузукова Е. А. Прогнозирование спроса при открытии магазина // Управление магазином, 2006. Существующий магазин Если магазин уже существует, то планирование продаж основывается, в первую очередь, на статистике предшествующих периодов. Имея данные об объемах продаж за эти периоды и данные о желаемых (планируемых) показателях, производим оценку реальности такого увеличения объема продаж с учетом конкурентной ситуации, покупательской способности целевой аудитории, местоположения магазина и зоны охвата. После этого проводим корректировку планов продаж и разрабатываем план мероприятий: изменение ассортимента, реклама, промоакции для привлечения новых покупателей и увеличения размера среднего чека, мероприятия по сокращению издержек. Иногда составляют оптимистический и пессимистический планы продаж Оптимистический – сколько продадим, если все будет складываться так, как происходит в настоящий момент, без серьезных изменений ситуации на рынке Пессимистический – сколько продадим, если все будет складываться для нас не очень удачно, т. е. в худшем случае. Таким образом, для составления плана оборота необходимо учесть 4 группы факторов (табл 2. 19): 1) сравнительные данные оборота прошлых периодов; 2) сравнительные данные об уровне инфляции прошлых периодов по официальным и экспертным данным, а также прогнозы на плановый период; 3) данные по росту розничного рынка определенной товарной специфики за прошедший период и прогноз на плановый период в целом по России и конкретно по региону; 4) прогноз изменения индивидуальных особенностей конкретного магазина: конкурентная ситуация, зона охвата и транспортные потоки. Таблица 2.19. Таблица для расчета планового оборота. ![]() Вывести «формулу» вычисления плана оборота практически невозможно, да и не нужно: в любом случае она будет охватывать не все возможные факторы влияния По сути, приведенные факторы необходимы как аргументация (обоснование) планового показателя оборота. |
![Иллюстрация к книге — Большая книга директора магазина 2.0. Новые технологии [i_092.jpg] Иллюстрация к книге — Большая книга директора магазина 2.0. Новые технологии [i_092.jpg]](img/book_covers/066/66547/i_092.jpg)
![Иллюстрация к книге — Большая книга директора магазина 2.0. Новые технологии [i_093.jpg] Иллюстрация к книге — Большая книга директора магазина 2.0. Новые технологии [i_093.jpg]](img/book_covers/066/66547/i_093.jpg)
![Иллюстрация к книге — Большая книга директора магазина 2.0. Новые технологии [i_094.jpg] Иллюстрация к книге — Большая книга директора магазина 2.0. Новые технологии [i_094.jpg]](img/book_covers/066/66547/i_094.jpg)