Онлайн книга «Хватит платить за все! Снижение издержек в компании»
|
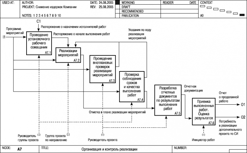
а) в случае, когда нарушение связано с недостаточным знанием или пониманием сотрудником требований к нему, проводит с ним разъяснительную беседу, а при необходимости – обучение; б) в случае, когда нарушение связано с недобросовестным выполнением своих обязанностей, инициатор работ определяет меру воздействия на исполнителя и издает соответствующее распоряжение; в) в случае, когда нарушение является систематическим и является следствием изменения условий выполнения работ, готовит предложения об изменении настоящей инструкции, которые оформляет в виде распоряжения. 9.2. Ответственность должностных лиц за соблюдение данной инструкции. 9.2.1. Все сотрудники и руководители, участвующие в выполнении работ несут дисциплинарную ответственность за соблюдение требований, приведенных в данной инструкции. 9.2.2. Наложение дисциплинарных взысканий за некачественное, несвоевременное или недобросовестное выполнение своих обязанностей проводится на основании приказа инициатора работ. Приложение 1 ![]() Приложение 2 ![]() ![]() ![]() ![]() ![]() ![]() ![]() ![]() ![]() |
![Иллюстрация к книге — Хватит платить за все! Снижение издержек в компании [i_087.jpg] Иллюстрация к книге — Хватит платить за все! Снижение издержек в компании [i_087.jpg]](img/book_covers/066/66454/i_087.jpg)
![Иллюстрация к книге — Хватит платить за все! Снижение издержек в компании [i_088.jpg] Иллюстрация к книге — Хватит платить за все! Снижение издержек в компании [i_088.jpg]](img/book_covers/066/66454/i_088.jpg)
![Иллюстрация к книге — Хватит платить за все! Снижение издержек в компании [i_089.jpg] Иллюстрация к книге — Хватит платить за все! Снижение издержек в компании [i_089.jpg]](img/book_covers/066/66454/i_089.jpg)
![Иллюстрация к книге — Хватит платить за все! Снижение издержек в компании [i_090.jpg] Иллюстрация к книге — Хватит платить за все! Снижение издержек в компании [i_090.jpg]](img/book_covers/066/66454/i_090.jpg)
![Иллюстрация к книге — Хватит платить за все! Снижение издержек в компании [i_091.jpg] Иллюстрация к книге — Хватит платить за все! Снижение издержек в компании [i_091.jpg]](img/book_covers/066/66454/i_091.jpg)
![Иллюстрация к книге — Хватит платить за все! Снижение издержек в компании [i_092.jpg] Иллюстрация к книге — Хватит платить за все! Снижение издержек в компании [i_092.jpg]](img/book_covers/066/66454/i_092.jpg)
![Иллюстрация к книге — Хватит платить за все! Снижение издержек в компании [i_093.jpg] Иллюстрация к книге — Хватит платить за все! Снижение издержек в компании [i_093.jpg]](img/book_covers/066/66454/i_093.jpg)
![Иллюстрация к книге — Хватит платить за все! Снижение издержек в компании [i_094.jpg] Иллюстрация к книге — Хватит платить за все! Снижение издержек в компании [i_094.jpg]](img/book_covers/066/66454/i_094.jpg)
![Иллюстрация к книге — Хватит платить за все! Снижение издержек в компании [i_095.jpg] Иллюстрация к книге — Хватит платить за все! Снижение издержек в компании [i_095.jpg]](img/book_covers/066/66454/i_095.jpg)
![Иллюстрация к книге — Хватит платить за все! Снижение издержек в компании [i_096.jpg] Иллюстрация к книге — Хватит платить за все! Снижение издержек в компании [i_096.jpg]](img/book_covers/066/66454/i_096.jpg)