Книга Предпринимательская деятельность, страница 51 – Эдуард Арустамов

Авторы: А Б В Г Д Е Ж З И Й К Л М Н О П Р С Т У Ф Х Ч Ш Ы Э Ю Я
Книги: А Б В Г Д Е Ж З И Й К Л М Н О П Р С Т У Ф Х Ц Ч Ш Щ Ы Э Ю Я
Бесплатная онлайн библиотека LoveRead.ec

Онлайн книга «Предпринимательская деятельность»

📃 Cтраница 51
11.2. Критерии и показатели оценки экономической эффективности предпринимательской деятельности

Вопросы обоснования системы показателей оценки экономической эффективности предпринимательской деятельности напрямую связаны с иерархией критериев, оценивающих достижение поставленных целей. К настоящему времени уже разработано множество специальных методов, позволяющих решить проблему управления многоцелевой системой с помощью построения интегральных оценочных критериев (критериев экономической эффективности).

К наиболее часто используемым методам построения комплексного критерия экономической эффективности предпринимательской деятельности относят детерминированные методы, уже разработанные и успешно используемые при подведении итогов деятельности работы.

К методам детерминированной комплексной оценки относят интегральный показатель комплексной оценки эффективности, который получается методом суммированием фактических значений факторов, его составляющих, и рассчитывается для каждого торгового объекта по следующей формуле:

Иллюстрация к книге — Предпринимательская деятельность [i_064.jpg]

где xфij, xбij – соответственно фактическое и базисное значения i-го показателя на j-м торговом объекте (i = 1, 2…, n, j = 1, 2…, т);

n – количество факторов;

m – количество объектов оценивания.


Необходимым условием формирования комплексной оценки эффективности при использовании интегральных показателей, полученных по приведенной формуле, является однонаправленность исследуемых показателей, т. е. увеличение (уменьшение) значения любого частного показателя расценивается как улучшение результатов эффективной деятельности, а соответственно, уменьшение (увеличение) значения частного показателя как ухудшение результатов деятельности объекта. Однонаправленность частных показателей позволяет ранжировать торговые объекты по возрастанию (убыванию) для определения интегрального показателя.

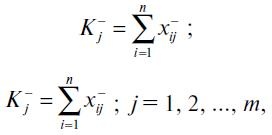
Оценка результатов эффективной предпринимательской деятельности предприятий оптовой торговли по методу сумм может строиться по различным частным показателям и не только в сравнении с планом, но и предыдущими периодами (оценка динамики), и с эталонными значениями показателей по группе торговых объектов. Метод сумм дает возможность оценить результаты деятельности по интегральному показателю, однако недостатком его является нивелирование значимости отдельных частных показателей, которое покрывается за счет высоких значений по другим частным показателям. В определенной степени этот недостаток может быть ликвидирован, если наряду с единым интегральным показателем рассчитывать показатели, отражающие отдельно сумму положительных и сумму отрицательных отклонений значений частных показателей от базы сравнения:

Иллюстрация к книге — Предпринимательская деятельность [i_065.jpg]

где

Иллюстрация к книге — Предпринимательская деятельность [i_066.jpg]

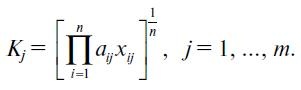
Метод геометрической средней предполагает расчет коэффициентов для оцениваемых показателей, таких, чтобы 0 < хij < 1. За единицу принимается значение, соответствующее наиболее высокому уровню данного показателя.

Обобщающая оценка получается в виде коэффициента по следующей формуле:

Иллюстрация к книге — Предпринимательская деятельность [i_067.jpg]

Этот метод целесообразно применять при относительно малом числе оцениваемых показателей и в случае, если большинство их значений близко к единице.

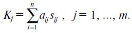
В некоторых случаях применим метод коэффициентов, когда оценка получается умножением коэффициента значимости отдельных параметров экономической эффективности деятельности предприятия:

Иллюстрация к книге — Предпринимательская деятельность [i_068.jpg]

Этот метод практически не отличается от расчета средней геометрической.

Метод суммы мест предполагает предварительное ранжирование всех торговых объектов по отдельным показателям. Каждому показателю соответствует новый параметр sij, определяющий место каждого среди других по i-му показателю. Составляется матрица баллов {sij}, на основе которой рассчитывается конкретное значение обобщающей оценки по формуле:

Иллюстрация к книге — Предпринимательская деятельность [i_069.jpg]

В некоторых случаях типичным объектом считается такой, значения показателей которого равны или близки к значениям среднего арифметического уровня показателей в изучаемой совокупности. Однако в совокупности экономических объектов, где преобладают асимметрические распределения, среднее арифметическое в качестве характеристики типичного, эталонного объекта утрачивает свое значение. Однако иногда предлагается использовать дополнительно в качестве эталона 100 %-ное выполнение плана по всем показателям, указывая при этом на нежелательность недовыполнения и перевыполнения плана.

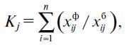
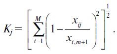
Расчет комплексной оценки проводится по формуле евклидового расстояния от точки эталона до конкретных значений показателей оцениваемых объектов. Перед конкретными расчетами, когда элементами расстояния являются несоизмеримые единицы показателей, проводится нормирование путем деления значений показателей хij на значения показателя эталонного объекта хi,m+1. Для каждого объекта рассчитывается расстояние до эталона по следующей формуле:

Иллюстрация к книге — Предпринимательская деятельность [i_070.jpg]

Упорядочивая значения Kj по возрастанию, получаем комплексное ранжирование объектов оценивания, причем наименее удаленный от точки эталона объект получает наивысшую оценку (первое место) и т. д.

Необходимо обращать внимание на обоснованность расстояний между значениями показателей конкретного объекта оценивания и эталона без учета того, что отдельные стороны деятельности оказывают неодинаковое влияние на экономическую эффективность. При таких условиях отдельные показатели следует рассматривать в качестве равноправных, имеющих одинаковую важность. Для того чтобы отдельным показателям придавать тот или иной вес и получать экономически более обоснованное расстояние, целесообразно использовать систему коэффициентов сравнительной значимости исчисляемых параметров экономической эффективности деятельности. Необходимо, применяя метод расстояний, использовать выраженные целыми числами эти коэффициенты, существенно отличающиеся друг от друга, так как «чувствительность» метода к изменениям коэффициентов является незначительной.

Реклама
Вход
Поиск по сайту
Ищем:
Календарь