Книга Восхождение денег, страница 75 – Найл Фергюсон

Авторы: А Б В Г Д Е Ж З И Й К Л М Н О П Р С Т У Ф Х Ч Ш Ы Э Ю Я
Книги: А Б В Г Д Е Ж З И Й К Л М Н О П Р С Т У Ф Х Ц Ч Ш Щ Ы Э Ю Я
Бесплатная онлайн библиотека LoveRead.ec

Онлайн книга «Восхождение денег»

📃 Cтраница 75

Признаюсь, в событиях 16 сентября 1992 года для меня есть много личного. Тогда, уже будучи младшим преподавателем в Кембридже, я зарабатывал кое-какие деньги колонками в одной газете. Я был уверен, что спекулянты вроде Сороса вполне могут одолеть Банк Англии в очной схватке. Это было легко просчитать. Ежедневно на валютных рынках торговался триллион долларов. Резервы Банка Англии на этом фоне выглядели смехотворно. Сорос прикинул, что растущие расходы по объединению Германии приведут к росту процентных ставок и, соответственно, курса немецкой марки. В этих условиях привязка фунта к марке – часть политики правительства консерваторов в рамках европейского соглашения о Механизме обменных курсов – становится невозможной. Рано или поздно, рассуждал Сорос, правительство будет вынуждено выйти из соглашения и девальвировать фунт. Сорос был настолько уверен в своей правоте, что поставил на это 10 миллиардов долларов – больше, чем было в его фонде. Он активно занимал фунты и скупал марки по курсу, установленному в рамках Механизма на уровне 2,95 марки за фунт74. Я тоже был уверен в том, что фунт обречен, но на кон мог поставить лишь свою репутацию.

Иллюстрация к книге — Восхождение денег [i_048.jpg]

Сила судьбы: министр финансов Норман Ламонт объявляет о выводе британского фунта из общеевропейского соглашения по обменным курсам (16 сентября 1992 года).


Заведующий деловым отделом газеты был иного мнения. После уничижительного разноса на редакционном совете я отправился в оперу слушать “Силу судьбы” Верди. Это был удачный выбор. В антракте кто-то сказал, что Британия перестала быть частью Механизма обменных курсов. Как мы все радовались! И я, наверное, больше остальных (ну, за исключением Сороса). На обвале фунта его фонд заработал больше миллиарда долларов. Когда фунт рухнул, Сорос заплатил фунтовые долги уже по более низкому курсу и положил в карман разницу. Маленькая деталь: унижение фунта принесло лишь 40 % прибыли фонда за тот год75.

Успехи Фонда Сороса потрясали воображение. Вложивший 100 тысяч долларов в Фонд в год его основания, в 1969-м, (тогда он назывался Double Eagle), и реинвестировавший все дивиденды к 1994 году имел бы 130 миллионов, что подразумевает доходность в среднем 35 % в год76. Экономические тяжеловесы новой эпохи отличаются от своих предшественников отсутствием лояльности к какой-либо стране – они спокойно играют и против фунта, и против доллара. Они не похожи на прежних игроков и объемом располагаемых средств. “Какая у тебя позиция?” – спросил как-то Сорос своего партнера Стенли Дрюкенмиллера. “Миллиард долларов”, – ответил тот и услышал: “Разве ж это позиция!”77 С точки зрения Сороса, если шансы на успех столь же велики, как и в атаке на фунт в 1992 году, значит, нужно увеличить кредитное плечо до максимума. Именно Сорос стал первым занимать у инвестиционных банков для спекуляций, которые по объемам во много раз превосходили собственный капитал его Фонда.

Но хедж-фонды не всемогущи. Да, им удалось доказать, что рынки сильнее любого правительства или центробанка. Но это вовсе не значит, что хедж-фонды всегда могут диктовать свою волю рынкам. Секрет успеха Сороса в его почти животном, инстинктивном предчувствии направления движения денежного стада. Но даже эти инстинкты (зачастую выражающиеся в спазмах или болях в спине) способны подвести его. Рефлексивность, признает сам Сорос, штука ненадежная. Она не может управлять рынками всегда. А вдруг математика – надежная замена инстинктам? А что, если есть формула, гарантирующая большие прибыли? В один прекрасный день на другом конце планеты, если не сказать на другом конце финансовой галактики, как казалось, появилась именно такая формула.

Фонд, который лопнул

Представьте себе далекую планету. Планету, на которой нет сложностей, порождаемых человеческими существами с их субъективными, а зачастую и вовсе иррациональными суждениями и поступками. Планету, все обитатели которой всегда ведут себя исключительно рационально. Они мгновенно получают и анализируют всю новую информацию и используют ее для извлечения прибыли. Они ни на секунду не прекращают торговлю. А рынки этой планеты работают все время и абсолютно ликвидны. Финансовые рынки на этой планете будут управляться принципами случайного блуждания, то есть сегодняшняя цена будет независима от вчерашней, но при этом будет отражать всю необходимую информацию. Прибыли на этой планете будут подчинены законам нормального распределения (подробнее о нем мы говорили в третьей главе). Большинство годовых показателей прибыли будут находиться вблизи среднего, а две трети – в пределах стандартного отклонения от среднего значения. Прибыль дальше шести стандартных отклонений от средней будет столь же редкой, как и землянин сорока пяти сантиметров росту. Такая прибыль будет встречаться один раз в 4 миллиона лет78. Именно о такой планете задумались самые блестящие из финансовых экономистов нашего времени. Неудивительно, что эта мысль пришла в головы в одном из самых “нормальных” мест на свете – в городе Гринвич, штат Коннектикут.

Именно там в 1993 году два гениальных математика произвели на свет идею, которой было суждено войти в историю. Майрон Шоулз из Стэнфордского университета и его коллега из банка Goldman Sachs Фишер Блэк свершили революцию в теории оценки опционов. Вместе с экономистом из Гарварда Робертом Мертоном они решили заставить так называемую модель Блэка-Шоулза приносить доход. Ученые взяли за основу старый добрый опционный контракт, работающий (как мы выяснили в четвертой главе) следующим образом. Пусть сегодня некая акция стоит 100 долларов. Я уверен, что, скажем, через год она будет стоить 200 долларов. Было бы неплохо иметь возможность купить ее через год за, скажем, 150 долларов. Если мое предположение верно, я получу прибыль. Если я ошибся, то опцион мне не нужен, и я его выбрасываю. Единственной тратой остается цена самого контракта, уходящая в карман продавца. Главный вопрос – какой должна быть эта цена.

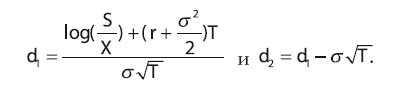
“Кванты” – банковские аналитики со степенями по физике или математике – называют модель Блэка-Шоулза “черным ящиком”. Что ж, в этот ящик стоит заглянуть. Перед нами задача: сколько должен стоить сегодня опцион на покупку конкретной акции в конкретный день в будущем, при том что предсказать колебания цены в промежутке невозможно? Тот, кто сможет рассчитать эту цену до последней монетки, не полагаясь на интуицию или чутье, по праву заработает звание гения. Блэк и Шоулз решили исходить из того, что искомая цена зависит от пяти факторов. Это сегодняшняя цена акции (S), цена исполнения опциона или согласованная сторонами стоимость этой акции в будущем, в момент погашения опциона (X), собственно время до истечения срока опциона (Т), безрисковая процентная ставка (2) и, главное, ожидаемое колебание цены акции в период между покупкой опциона и датой его погашения (“сигма”). Математические гении свели формулу цены опциона (С) к следующему:


С =SN(d1)-Xe-rtN(d2)


где

Иллюстрация к книге — Восхождение денег [i_049.jpg]
Реклама
Вход
Поиск по сайту
Ищем:
Календарь