Книга Голая статистика. Самая интересная книга о самой скучной науке, страница 26 – Чарльз Уилан

Авторы: А Б В Г Д Е Ж З И Й К Л М Н О П Р С Т У Ф Х Ч Ш Ы Э Ю Я
Книги: А Б В Г Д Е Ж З И Й К Л М Н О П Р С Т У Ф Х Ц Ч Ш Щ Ы Э Ю Я
Бесплатная онлайн библиотека LoveRead.ec

Онлайн книга «Голая статистика. Самая интересная книга о самой скучной науке»

📃 Cтраница 26

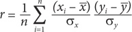
Формула для вычисления коэффициента корреляции требует небольшого отступления, которое понадобится для того, чтобы объяснить систему обозначений, используемую в данном случае. Символ ∑ часто применяется в статистике. Он обозначает суммирование величин, которые указаны после него. Если, например, имеется некая совокупность наблюдений x1, x2, x3 и x4, то запись ∑ (xi) говорит о том, что мы должны суммировать четыре наблюдения: x1 + x2 + x3 + x4. Таким образом, ∑ (xi) = x1 + x2 + x3 + x4. Наша формула для среднего значения совокупности из n наблюдений может быть представлена в следующем виде: среднее значение = ∑ (xi)/n.

Мы можем придать этой формуле еще более универсальный вид, записав ее как

Иллюстрация к книге — Голая статистика. Самая интересная книга о самой скучной науке [i_014.jpg]
Эта формула означает суммирование величин x1 + x2 + x3 +…+ xn, или, другими словами, начиная с x1 (поскольку i = 1) до xn включительно (поскольку i = n). Наша формула для среднего значения совокупности из n наблюдений может быть представлена в следующем виде:

Иллюстрация к книге — Голая статистика. Самая интересная книга о самой скучной науке [i_015.jpg]

С учетом этой универсальной системы обозначений формула вычисления коэффициента корреляции r для двух переменных x и y может выглядеть так:

Иллюстрация к книге — Голая статистика. Самая интересная книга о самой скучной науке [i_016.jpg]

где

n – количество наблюдений;

x – среднее значение для переменной x;

y – среднее значение для переменной y;

σx – стандартное отклонение для переменной x;

σy – стандартное отклонение для переменной y.


Любая статистическая компьютерная программа может с помощью статистических инструментов вычислить коэффициент корреляции между двумя переменными. Использование Microsoft Excel в примере с ростом и весом учащихся позволяет получить такую же корреляцию между ростом и весом пятнадцати учащихся, что и вычисление, выполненное нами вручную на основе приведенной выше таблицы: 0,83.

5. Основы теории вероятностей
Не покупайте расширенную гарантию для своего 99-долларового принтера

В 1981 году Joseph Schlitz Brewing Company потратила 1,7 миллиона долларов на необычайно смелую и рискованную маркетинговую кампанию для своего слабеющего бренда Schlitz. В перерыве матча за Суперкубок американского футбола Joseph Schlitz Brewing Company перед 100-миллионной зрительской аудиторией из разных стран мира провела в прямом эфире сравнительную дегустацию пива Schlitz Beer и его главного конкурента – пива Michelob {28}, причем участвовали в ней не случайные люди, а сотня любителей пива Michelob. Это стало кульминацией маркетинговой кампании, проходившей в ходе игр плей-офф NFL {29}. Всего транслировалось пять таких дегустаций; в каждой участвовало по 100 любителей конкурирующих сортов пива (Budweiser, Miller или Michelob), вслепую дегустировавших свой любимый сорт пива и Schlitz Beer. Каждый сеанс сопровождался рекламой, агрессивность которой не уступала агрессивности игр плей-офф (например, «Следите за сравнительной дегустацией Schlitz и Budweiser, проводимой во время игр плей-офф AFC»).

Маркетинговый месседж был совершенно четким: даже те, кому кажется, что они любят другой сорт пива, во время слепой дегустации отдают предпочтение пиву Schlitz. Во время матча за Суперкубок компания даже воспользовалась услугами одного из бывших судей NFL, который выступал в роли наблюдателя за ходом дегустации. Учитывая рискованный характер трансляции подобного действа в прямом эфире, вы, должно быть, подумали, что Joseph Schlitz Brewing Company выпустила потрясающее пиво?

Необязательно. В этом случае компании, которая знает толк в статистике, было достаточно предложить потребителям вполне ординарное пиво. Руководство Joseph Schlitz Brewing Company понимало, что такая уловка – слово, которым я стараюсь не злоупотреблять, даже когда речь идет о рекламе пива, – почти наверняка сработает. Большинство сортов пива в категории Schlitz имеют примерно одинаковый вкус, и парадокс заключается в том, что Joseph Schlitz Brewing Company использовала в своей рекламной кампании именно это обстоятельство. Допустим, что рядовой любитель пива, так сказать «человек с улицы», неспособен отличить пиво Schlitz от Budweiser, Michelob или Miller. В таком случае сравнительная дегустация (выполняемая вслепую) любой пары сортов пива, по сути, равноценна подбрасыванию монеты. В среднем половина дегустаторов-любителей выберет Schlitz, а другая половина – пиво конкурента. Уже один этот факт, скорее всего, не позволил бы провести особо эффективную рекламную кампанию. («Вы не в состоянии уловить разницу, поэтому вполне могли бы пить Schlitz».) С другой стороны, Joseph Schlitz Brewing Company, безусловно, не хотелось бы проводить подобную акцию среди собственных лояльных клиентов, поскольку примерно половина из них предпочла бы какой-либо из конкурирующих сортов пива. А это очень плохо, когда приверженцы вашего бренда в ходе слепой дегустации выбирают какой-либо из сортов конкурентов, – но именно этот прием Joseph Schlitz Brewing Company пыталась против них применить.

Schlitz придумала умнейший ход. Гвоздем ее рекламной кампании стало проведение сравнительной дегустации среди любителей пива, отдающих предпочтение конкурирующим сортам этого напитка. Если слепая дегустация действительно равносильна подбрасыванию монеты, то примерно половина любителей Budweiser, Michelob или Miller обязательно выберет Schlitz. В результате Schlitz предстанет в более выгодном свете, чем конкуренты: половине любителей Budweiser понравилось пиво Schlitz!

Все это выглядит особенно убедительно в перерыве матча за Суперкубок, если дегустацией руководит бывший арбитр NFL (в соответствующей униформе). Вместе с тем это действо происходит в прямом телеэфире. Даже если статистикам из Joseph Schlitz Brewing Company предварительно удалось выяснить (в результате многочисленных дегустаций, проводившихся в частном порядке), что типичный любитель Michelob в половине случаев предпочтет пиво Schlitz, то как быть, если 100 любителей пива Michelob «начудят» во время дегустации в прямом эфире? Конечно, слепая дегустация равноценна подбрасыванию монетки, но все же как быть, если большинство дегустаторов чисто случайно выберут Michelob? В конце концов, если бы мы собрали тех же 100 парней и попросили их подбросить монетку, то вполне возможно, что в 85 или даже в 90 случаях из 100 выпала бы решка. Такая случайность во время дегустации в прямом эфире стала бы для бренда Schlitz подлинной катастрофой (не говоря уж о потере 1,7 миллиона долларов, затраченных на покупку телевизионного рекламного времени).

Реклама
Вход
Поиск по сайту
Ищем:
Календарь