Книга Конкурентная стратегия: Методика анализа отраслей и конкурентов, страница 30 – Майкл Портер

Авторы: А Б В Г Д Е Ж З И Й К Л М Н О П Р С Т У Ф Х Ч Ш Ы Э Ю Я
Книги: А Б В Г Д Е Ж З И Й К Л М Н О П Р С Т У Ф Х Ц Ч Ш Щ Ы Э Ю Я
Бесплатная онлайн библиотека LoveRead.ec

Онлайн книга «Конкурентная стратегия: Методика анализа отраслей и конкурентов»

📃 Cтраница 30

• Возможно ли сочетание вероятных действий, ведущее к структурным изменениям отрасли?

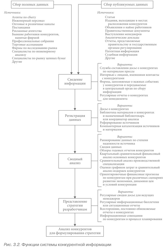
Необходимость системы получения информации

Поиск ответов на вопросы о конкурентах порождает огромную потребность в информации. Данные о конкурентах могут поступать из различных источников: публикуемых отчетов, речей представителей менеджмента, деловой прессы, работников системы сбыта, общих для фирмы и конкурента потребителей или поставщиков, инспекции качества продукции, оценок со стороны технического персонала фирмы, информации, собираемой у бывших менеджеров и других сотрудников конкурента, и пр. Более подробно источники информации описаны в приложении Б. Как правило, все данные, необходимые для проведения анализа конкурентов, не могут быть собраны сразу и целиком. Они обычно не приходят потоком, а накапливаются постепенно, и для сведения их воедино необходимо время, чтобы получить полную картину ситуации конкурента.

Очевидно, чтобы получить данные для всестороннего анализа, одной упорной работы недостаточно. Эффективный сбор информации требует организованного механизма – своего рода системы конкурентной разведки. Элементы этой системы могут изменяться в зависимости от конкретных нужд фирмы, отрасли, в которой она конкурирует, возможностей персонала, интересов и способностей менеджмента. На рис. 3.2 представлены функции, необходимые для получения данных для анализа, и некоторые варианты осуществления этих функций. В некоторых компаниях все эти функции могут эффективно осуществляться одним лицом, однако это скорее исключение, чем правило. Существует множество источников как полевых, так и публикуемых данных, многие работники компании, как правило, могут внести свой вклад в их получение. Кроме того, одному работнику, как правило, не под силу эффективная работа по сбору, регистрации, обобщению и представлению всей этой информации.

Иллюстрация к книге — Конкурентная стратегия: Методика анализа отраслей и конкурентов [i_009.jpg]

На практике приняты разнообразные способы организации этой работы в фирмах. Это может быть группа по анализу конкурентов, входящая в состав отдела планирования и выполняющая все необходимые функции (которая в том числе обязывает других сотрудников организации собирать полевые данные); координатор конкурентной информации, выполняющий функции сбора, регистрации и представления данных; система, при которой разработчик стратегии выполняет эту работу неформальным путем. Однако слишком часто за анализ конкурентов вообще никто не отвечает. Очевидно, что нет единого рецепта для получения данных о конкуренте, но также ясно, что кто-то должен проявить активный интерес, иначе значительная часть полезной информации будет потеряна. Топ-менеджмент может многое сделать для стимулирования действий в этом направлении, требуя представления полной характеристики конкурентов в качестве элемента планирования. Необходимо, чтобы как минимум кто-либо из менеджеров был наделен ответственностью за получение информации о конкурентах, являясь центральным звеном всей системы сбора.

Как показано на рис. 3.2, каждая функция может осуществляться несколькими способами. Приведенные варианты характеризуются различной степенью сложности и полноты. Небольшая фирма может не иметь ресурсов или персонала для сложных подходов, тогда как компании, придающей большое значение изучению ключевых конкурентов, возможно, стоит использовать их все. При любом уровне сложности нельзя недооценивать важность функции представления данных. Сбор данных будет ненужной тратой времени, если они не используются при формулировании стратегии. Следует разработать эффективные способы доведения их до топ-менеджмента в концентрированной и удобной форме.

Какой бы механизм получения информации о конкурентах ни был выбран, он требует формальной организации и документации. Очень легко потерять крупицы и части информации, поэтому даже одно их сведение воедино дает бесспорные выгоды. Анализ конкурентов слишком важен, чтобы вести его бессистемно.

4. Сигналы рынка

Любое действие конкурента, дающее прямое или косвенное указание на его намерения, цели или внутреннюю ситуацию, является сигналом рынка. Поведение конкурентов сигнализирует бесчисленным количеством способов. Одни сигналы могут быть блефом, другие – предупреждением, третьи – правдивым указанием на курс действий [34]. Сигналы рынка являются опосредованным способом коммуникации на рыночном пространстве, большинство, если не все, признаки конкурентного поведения могут содержать информацию, полезную для анализа конкурентов и формулирования стратегии.

Правильное распознавание и интерпретация сигналов рынка, таким образом, имеет большое значение для разработки конкурентной стратегии, а восприятие сигналов служит существенным дополнением к анализу конкурентов (глава 3). Знание сигналов важно также с точки зрения конкурентных действий, рассматриваемых в главе 5. Необходимым условием правильной интерпретации сигналов является проведение базисного анализа конкурентов: понимание их будущих целей, представлений о рынке и собственных позициях на нем, их текущих стратегий и потенциальных возможностей. Чтение сигналов рынка – конкурентный анализ второго порядка – требует тщательных оценок на основе сравнений известных аспектов ситуации, в которой находятся конкуренты, с их поведением. Как будет показано в дальнейшем, тонкости интерпретации сигналов во многих случаях связаны с постоянным сравнением поведения конкурентов с анализом, представленным в главе 3.

Типы сигналов рынка

Сигналы рынка могут выполнять две разные по сути функции: они могут быть либо правдивым указанием на мотивы, намерения или цели конкурента, либо блефом. Сигналы-блефы предназначены для введения других фирм в заблуждение, чтобы заставить их предпринимать или не предпринимать те или иные действия к выгоде источника сигнала. Распознавание различий между блефом и правдивым сигналом нередко требует большой проницательности.

Сигналы рынка принимают различные формы в зависимости от конкретного поведения конкурента и способа передачи сигнала. При рассмотрении различных форм сигналов важно определить, каким образом они могут использоваться как блеф и как отличить блеф от правдивого сигнала.

Существенными формами сигналов рынка являются следующие.

Предварительное объявление о действиях

Потенциальными сигналами могут быть форма, характер и время предварительного объявления. Предварительное объявление представляет собой формальное сообщение конкурента о том, будет ли он предпринимать какое-либо действие, например строить завод, изменять цены и т. д. Такое объявление не означает, что действие обязательно состоится; объявленное действие может не состояться либо по причине, что ничего не сделано, либо по причине отмены последующим объявлением. Как будет показано, это свойство объявлений повышает их ценность как сигналов.

Вход
Поиск по сайту
Ищем:
Календарь