Онлайн книга «Универсум. Общая теория управления»
|
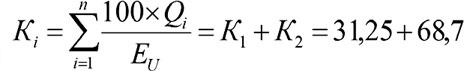
Целесообразно учитывать не материальный факт публикации (элемент универсума-сети), а информационную связку (ссылку), отражающую использование публикации в социальной системе. В том же случае, когда на публикацию появляются вторичные ссылки – «ссылки ссылок», то это действительно новое качество публикации, которое определённо должно повышать её рейтинг. Логично определить, что ещё большую ценность для социума имеют научные публикации, содержащие «третичные», «четверичные» и т. д. ссылки. Универсумная методология определения качественных характеристик ОЯП позволяет ввести в научный оборот индекс универсумного качества (индекс УКn-UniQn), позволяющий производить максимально адекватную реальности оценку научных работ (рис. 6.36). Расчёт индексов универсумного качества УК2 (UniQ2 – вторичных ссылок), УК3, УК4 и т. д. производится по аналогичным вышеприведённым формулам (6.1–6.9) расчёта качественных характеристик универсумов, специализированных именно для качественной характеристики «продуктивности учёного, группы учёных, научной организации или страны в целом, основанной на количестве публикаций и количестве цитирований этих публикаций». ![]() Рис. 6.36. Принцип расчёт индекса универсумного качества (УК) научных работ Рассмотрим адаптированные к расчёту качественных характеристик варианты получения числового значения УК более детально. Единицами расчёта являются ссылочные цепочки различной длины (от 0 до n-1). Пример расчёта УК2 (UniQ2). Исходные данные: Всего у автора 5 публикации, причём 2 публикации не имеют ссылок, 2 публикации имеют по 3 ссылки-2 (второго порядка) и 1 публикация имеет 5 ссылок-2. Значения U-коэффициентов для УК2 (n=2): С1=0,25; C2=0,75. Количество ссылок по стратам: P1=5; P2=2×3+1×5=11. Шаг 1. Рассчитаем общее количество единиц расчёта (публикаций и ссылочных цепочек единичной длины – связок): ![]() (6.10) Шаг 2. Рассчитаем нормированное к 100 % соотношение «вклада» каждой группы элементов в соответствии с принадлежностью к стратам: рис. 224 ![]() (6.11) Шаг 3. Рассчитаем УК как нормированное (Сn) произведение «вклада» (Ki) каждой качественной группы элементов на соответствующий U-стратификационный коэффициент (Сi): ![]() (6.12) Таким образом, УК2 для рассмотренного примера составляет величину 79,17 единиц (рис. 6.37а). ![]() Рис. 6.37. Примеры расчёта индексов УК «продуктивности учёного». Пример расчёта УК3 (UniQ3). Исходные данные: У автора 4 публикации, 2 публикации имеют по 6 ссылок-2, ссылок-3 нет. Значения U-коэффициентов (n=3): С1=0,11; C2=0,33; C3=0,56. Определим количество ссылок по стратам: P1=4; P2=2×6=12; P3=0. Шаг 1. Общее количество единиц расчёта: ![]() (6.13) Шаг 2. Нормированное соотношение «вклада» по стратам: ![]() (6.14) Шаг 3. Рассчитаем УК как нормированное (Сn) произведение «вклада» (Ki) каждой качественной группы элементов на соответствующий U-стратификационный коэффициент (Сi): ![]() (6.15) Таким образом, УК3 составит величину 49,99 единиц (рис. 6.37б). Пример расчёта УК4 (UniQ3). Исходные данные: У автора 10 публикаций, из которых 3 имеют по 2, ещё 1–3 ссылки-2, а 3 публикации по 2 и 1-на публикация с 1-ой ссылкой-3, и 2 публикации имеют по 2 ссылки-4. U-коэффициенты: С1=0,0625; C2=0,1875; C3=0,3125; C4=0,4375. Количество ссылок по стратам: P1=10; P2=3×2+1×3=9; P3=3×2+1×1=7; P4=2×2=4 (рис. 6.38). ![]() Рис. 6.38. Сетевая модель расчёта УК4. Шаг 1. Общее количество единиц расчёта: ![]() (6.16) Шаг 2. Нормированное соотношение «вклада» по стратам: ![]() (6.17) Шаг 3. Рассчитаем УК как нормированное (Сn) произведение «вклада» (Ki) каждой качественной группы элементов на соответствующий U-стратификационный коэффициент (Сi): ![]() (6.18) Таким образом, УК3 составит величину 47,62 единицы (рис. 6.37в). Основные свойства универсумного алгоритма расчёта УК таковы: 1) Наличие любого количества публикаций даёт фиксированное, базовое значение УК (УК2=33,33; УК3=19,99; УК4=14,29 и т. д.); 2) Появление первой ссылки на публикацию вдвое увеличивает УК (УК2=66,67; УК3=39,99; УК4=28,57 и т. д.); 3) Появление последующих ссылок первого уровня увеличивает УК постепенно и более плавно (предельные значения УК2=99,99; УК3=59,59; УК4=42,57 и т. д.); |
![Иллюстрация к книге — Универсум. Общая теория управления [_223.jpg] Иллюстрация к книге — Универсум. Общая теория управления [_223.jpg]](img/book_covers/066/66164/_223.jpg)
![Иллюстрация к книге — Универсум. Общая теория управления [_224.jpg] Иллюстрация к книге — Универсум. Общая теория управления [_224.jpg]](img/book_covers/066/66164/_224.jpg)
![Иллюстрация к книге — Универсум. Общая теория управления [_225.jpg] Иллюстрация к книге — Универсум. Общая теория управления [_225.jpg]](img/book_covers/066/66164/_225.jpg)
![Иллюстрация к книге — Универсум. Общая теория управления [_226.jpg] Иллюстрация к книге — Универсум. Общая теория управления [_226.jpg]](img/book_covers/066/66164/_226.jpg)
![Иллюстрация к книге — Универсум. Общая теория управления [_227.jpg] Иллюстрация к книге — Универсум. Общая теория управления [_227.jpg]](img/book_covers/066/66164/_227.jpg)
![Иллюстрация к книге — Универсум. Общая теория управления [_228.jpg] Иллюстрация к книге — Универсум. Общая теория управления [_228.jpg]](img/book_covers/066/66164/_228.jpg)
![Иллюстрация к книге — Универсум. Общая теория управления [_229.jpg] Иллюстрация к книге — Универсум. Общая теория управления [_229.jpg]](img/book_covers/066/66164/_229.jpg)
![Иллюстрация к книге — Универсум. Общая теория управления [_230.jpg] Иллюстрация к книге — Универсум. Общая теория управления [_230.jpg]](img/book_covers/066/66164/_230.jpg)
![Иллюстрация к книге — Универсум. Общая теория управления [_231.jpg] Иллюстрация к книге — Универсум. Общая теория управления [_231.jpg]](img/book_covers/066/66164/_231.jpg)
![Иллюстрация к книге — Универсум. Общая теория управления [_232.jpg] Иллюстрация к книге — Универсум. Общая теория управления [_232.jpg]](img/book_covers/066/66164/_232.jpg)
![Иллюстрация к книге — Универсум. Общая теория управления [_233.jpg] Иллюстрация к книге — Универсум. Общая теория управления [_233.jpg]](img/book_covers/066/66164/_233.jpg)
![Иллюстрация к книге — Универсум. Общая теория управления [_234.jpg] Иллюстрация к книге — Универсум. Общая теория управления [_234.jpg]](img/book_covers/066/66164/_234.jpg)