Книга Универсум. Общая теория управления, страница 8 – Владислав Масликов

Авторы: А Б В Г Д Е Ж З И Й К Л М Н О П Р С Т У Ф Х Ч Ш Ы Э Ю Я
Книги: А Б В Г Д Е Ж З И Й К Л М Н О П Р С Т У Ф Х Ц Ч Ш Щ Ы Э Ю Я
Бесплатная онлайн библиотека LoveRead.ec

Онлайн книга «Универсум. Общая теория управления»

📃 Cтраница 8

Конечно, в части теоретических описаний ОЯП точность дуальных противопоставлений вполне обоснована и допустима. На практике же дуализм далеко не всегда оправдан, ведь иногда от хоть как-то теоретически обоснованных научных дихотомий о первичности категорий «Материализм-Идеализм» (Философия), «Генотип – Фенотип» (Психология), «Техническое – Гуманитарное» (Педагогика) и т. п. генерирует волюнтаристские гипотезы об ответственности одной спирали ДНК за телесное, а второй – за духовное развитие человека. А иногда современная наука доходит даже до совершенно анти/научных споров о первичности происхождения мужчин или женщин[10]. Более того, даже эволюционисты нисколько не сомневаются, что тело и мозг человека развивались совершенно независимо друг от друга!

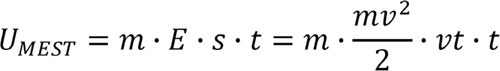
В общем, метрологическая состоятельность системы MEST внушает серьёзные сомнения [27, 33]. Так, например, физическое описание универсума этой философской системы как полной единицы, даёт следующий результат:

Иллюстрация к книге — Универсум. Общая теория управления [_12.jpg]

(1.7)


Такой континуум с трудом поддаётся осмыслению и неприменим для адекватного описания каких-либо ОЯП. Единственно возможный «основной вопрос философии» при таком мироописании может быть только вопросом о главенстве одной их двух слабо связанных между собой альтернатив «материального» и «духовного» (рис. 1.3).

Именно потому, что двухполярная MEST-система мироописания «материальное – идеальное» трудно приложима к практическому моделированию ОЯП. Такой способ отражения реальности на практике часто выливается в ситуацию, описанную поговоркой «говорит (идея, информация) одно, а делает (материальный процесс) – другое». В сознании философа, искренне верящего в то, что «материя лишена духовной сущности»[11] вместо многоцветной градационной картины мира находится лишь её черно-белый слепок, который уже не в состоянии удовлетворить насущные потребности информационного общества.

Иллюстрация к книге — Универсум. Общая теория управления [_13.jpg]

Рис. 1.3. Универсум системы MEST и основной вопрос MEST-философии


Так, например, физикам весьма трудно ответить на вопрос, каким образом введённое в 1948 году Клодом Шенноном понятие «бит» связано с единицами СИ МКС. Для них есть система СИ МКС, существующая сама по себе, а есть понятие «бит» – явление, существующее тоже вполне самостоятельно. Они согласятся с тем, что эти вещи как-то (кое-как, наверное, может быть) связаны друг с другом, но вместе с тем признают, что «бит» – он всё же «сам по себе» и напрямую с системой СИ МКС не связан. В общем, нет у физиков в этом вопросе определённости и ясности.

Существует ли другая, более адекватная система предельно обобщённых философских категорий мироописания? Система, стержнем которой должен стать не столько количественный подход к оценке ОЯП, сколько качественный. Система эта должна быть целостной и непротиворечивой, но прежде, чем говорить о категориях этой системы, следует обратить внимание на основные и достаточно хорошо используемые на практике физические процессы мироздания. Ведь физика является вполне надёжной базой развития многих наук, в том числе и тех, которые берутся описывать личностные и социальные отношения.

1.3. Физические основы философских систем

Для того, чтобы ответить на вопрос об адекватности отражения окружающего мира различными философскими системами, следует обратить более пристальное внимание на картину мира, уже созданную в нашем сознании современной физикой, достигшей несомненных практических успехов. Как бы то ни было, но её формулы верны и подтверждены многолетней практикой. От физики и других естественных научных знаний всё равно уйти не удастся, поскольку рано или поздно, но неизбежно любой свежепридуманный, первоначально «размытый» гуманитарный термин упирается в тупик, требующий существенного сужения первоначальных смыслов. Ведь даже ныне признанные естественнонаучными технические понятия «масса», «ускорение», «сила»» и другие ранее относились к классу гуманитарных[12].

Обратим внимание на первоистоки физической системы MEST и попробуем связать её с более простым и понятным мироощущением человека. Чаще всего он производит расчёты в международной системе единиц СИ, в которой нас будет интересовать абсолютная система единиц МКС. Начнём с её базовых элементов (табл. 1.3)


Таблица 1.3

Иллюстрация к книге — Универсум. Общая теория управления [_14.jpg]

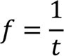
В первую очередь обратим внимание на то, что во многих физических формулах присутствует вышеупомянутая «единица», выражаемая числом 1, которое в виде произведения сомножителей или не пишется, или занимает позицию числителя дроби. Как уже отмечалось, число 1 в формулах является вариантом представления универсума, в произведении представляющим универсальное единство взаимосвязанных сомножителей и/или единство левой и правой частей дроби. Например, категория «время» («период») t однозначно связана с понятием «частота» f следующей известной формулой:

Иллюстрация к книге — Универсум. Общая теория управления [_15.jpg]

(1.8),


являющейся вариантом записи дихотомии универсумной формулы:

Иллюстрация к книге — Универсум. Общая теория управления [_16.jpg]

(1.9)


Универсумное представление соотношения (1.4) однозначно связывает частоту колебаний f [Гц] с их периодом t [c] обратной зависимостью. Обычное определение единиц МКС, того же t, для простоты можно назвать прямой (материальной) записью, а представление f в виде дроби (1.8) обратной. При этом универсумное описание базовых единиц системы МКС посредством прямой и обратной форм записи логично трансформируется в структуру записей симметричного вида (табл. 1.4).

Отметим, что входящие в универсум «период – частота» (строка 3) понятия имеют в физике вполне определённое, содержательное наполнение. Что же касается понятий, обратных «массе» и «длине» то, как и в философии, в физике о них практически ничего не говорится[13].

Включим в физическую картину мира недостающие звенья.

«Поле» – это величина, обратная материи (массе, строка 1). Если «масса» – это многое в одном (объединение АС в точке М), то «поле» – одно во многом (поле и/или его модель с центральной точкой разнонаправленных АС). Масса – это единая совокупность многих (минимум двух) «сжатых», статических объектов, выраженных в своей сути информационным понятием «материальная точка». Обратное понятие «поля» – это некая «разнокупность» одного материального, динамического объекта, реализованная во множестве (минимум в двух) информационных точках.

Вход
Поиск по сайту
Ищем:
Календарь