Книга Управленческие решения, страница 65 – Юрий Лапыгин, Денис Лапыгин

Авторы: А Б В Г Д Е Ж З И Й К Л М Н О П Р С Т У Ф Х Ч Ш Ы Э Ю Я
Книги: А Б В Г Д Е Ж З И Й К Л М Н О П Р С Т У Ф Х Ц Ч Ш Щ Ы Э Ю Я
Бесплатная онлайн библиотека LoveRead.ec

Онлайн книга «Управленческие решения»

📃 Cтраница 65

Однако в условиях определенности применяется сравнительно мало управленческих решений, так как фактически в любой реальной ситуации выбора присутствуют неопределенные факторы, значения которых не известны или известны не полностью. Такие ситуации называются недетерминированными, и в этом случае решение принимается в условиях неопределенности. В процессе управления организацией среди неопределенных факторов можно выделить: действия конкурентов, потребительский спрос, отказы технических систем, поведение персонала организации и многие другие.

Для сравнения активных средств между собой, а также способов и условий их применения необходимо измерение или оценка эффективности операций. Для этого используют показатели эффективности.

Для выбора наилучших или подходящих активных средств, способов и условий их применения необходимо четко знать цель проведения операции. Именно для этого используются критерии эффективности.

Показатель эффективности представляет собой меру степени достижения цели, т. е. соответствия реального и требуемого результатов операции. Показатель эффективности можно задать как некоторую функцию, по значению которой судят об эффективности проводимой операции.

В процессе принятия конкретного решения необходимо сформировать набор показателей эффективности, значения которых точно или приближенно оценивают альтернативные варианты действий. Более того, на основе реальных или прогнозируемых значений показателей можно провести сравнение любой пары альтернатив и принять одно из трех решений:

1) одна из альтернатив предпочтительнее, чем другая;

2) обе альтернативы одинаковы по предпочтительности;

3) альтернативы несравнимы между собой.

Таким образом, показатели эффективности играют роль критериев сравнения альтернатив в процессе принятия управленческих решений.

При управлении организацией относительно легко оценить количественные показатели, например ожидаемый доход, издержки или время выполнения работы. Однако многие важные показатели деятельности организации, например репутация фирмы или квалификация сотрудников, объективно выразить в числах невозможно. В таких случаях говорится о качественных показателях, значения которых выражаются человеком субъективно на естественном языке.

Для оценивания качественных показателей руководители организации прибегают к помощи экспертов. Качественные показатели можно представить в численном виде косвенно, измеряя некоторый другой показатель.

Показатели эффективности, используемые в задачах принятия решений, имеют разный смысл и отличаются по форме. Можно выделить следующие основные формы показателей эффективности:

1) вероятность достижения цели. Если цель операции – некоторое случайное событие, то показатель эффективности такой операции – вероятность соответствующего случайного события;

2) вероятность получения требуемого результата. Если результат операции – случайная величина, а цель операции заключается в достижении требуемого результата, то показатель эффективности – вероятность получения результата не хуже, чем требуемое значение;

3) средний результат. Если результат операции – случайная величина, то показатель эффективности – математическое ожидание этой случайной величины;

4) вероятностно-гарантированный результат. Если результат операции – случайная величина, то показатель эффективности – наихудший результат, получаемый с определенной вероятностью;

5) гарантированный результат. Если результат операции не является случайной величиной, но зависит от воздействия неопределенных факторов, то показателем эффективности выступает наихудший, т. е. гарантированный результат, который можно достигнуть с учетом влияния этих факторов.

Каждый показатель эффективности, используемый руководителем для оценивания вариантов действий, должен удовлетворять определенным требованиям: соответствие цели; содержательность; измеримость; минимальность; полнота и т. д.

Перечисленные требования во многом противоречат друг другу. Дело в том, что невозможно удовлетворить всем требованиям сразу, например, требование содержательности противоречит требованию измеримости, так как качественные показатели не оцениваются объективно с помощью чисел и их значения приходится описывать субъективно; требование минимальности входит в противоречие с требованием полноты.

Правильный выбор показателей эффективности, которые удовлетворяют указанным требованиям, – трудная задача, решение которой зависит от опыта, квалификации, знаний и аналитических способностей руководителя организации.

13.4. Виды эффективности и методы оценки

Деятельность любой системы управления ориентирована и нацелена на получение определенных результатов. На их достижение затрачиваются соответствующие ресурсы. Эффективность стратегических изменений можно определить, если соотнести и сопоставить количественно выраженные целевые ориентиры и результаты деятельности, результаты деятельности и затраты ресурсов. Оценка эффективности базируется на системном подходе и является главным элементом в обосновании управленческих решений, направленных на дальнейшую корректировку стратегии организации.

Обзор источников экономической литературы, связанных с анализом эффективности деятельности системы (подсистем) управления организации, показал, что многие авторы в значительной степени отталкиваются от основных положений общей теории эффективности. Сущность теории состоит в оценке эффективности и оперативности достижения организацией цели и затраченных на это усилий. В ее рамках учитываются и рассматриваются три группы показателей (критериев), характеризующих:

● затраты времени (оперативность процесса);

● затраты ресурсов и экономический результат (ресурсоемкость и результативность процесса);

● степень достижения целей (целевые эффекты).

Рассмотрим каждое из перечисленных выше направлений критериев более подробно.

1. Оперативность процесса управления (осуществления стратегических изменений). Характеризуется динамикой показателей затрат времени на выполнение системных функций организации. В зависимости от конфигурации системы управления часть функций в ее подсистемах с точки зрения времени могут выполняться последовательно (т. е. обусловливать друг друга), а часть – параллельно (независимо). Но в любом случае стремление к сокращению трудоемкости операций по всем подразделениям положительно скажется на эффективности управления, его гибкости и маневренности.

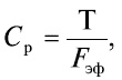
Показатель трудоемкости выполнения управленческих функций (Т) – ключевой при расчете численности работников (Ср) на тех или иных должностных позициях: [69]

Иллюстрация к книге — Управленческие решения [i_104.jpg]

где Fэф – эффективный фонд рабочего времени соответствующего календарного периода.

Вход
Поиск по сайту
Ищем:
Календарь