Онлайн книга «Управленческие решения»
|
Наблюдения за конкурентами и потребителями осуществляются путем прямого контакта консультанта с указанными группами субъектов, если существует такая возможность (на выставках, ярмарках, презентациях, а также в период посещения отделов сбыта конкурентов и наблюдения за поведением покупателей в сфере торговли). Диагностика по слабым сигналам [51] основана на том положении, что руководители организаций, занятые текущими и горящими делами, не улавливают часть информации, свидетельствующей о предстоящих возможных неприятностях. Да и сама поступающая к руководству информация, как правило, неполная и неточная. Консультант частично может восполнить неинформированность или псевдоинформированность, имеющуюся у руководства, посредством собственных диагностических наблюдений и выявления слабых сигналов. Итог проведения диагностики организации – как минимум оцененные параметры ее внутренней среды, к которым относят сильные и слабые стороны организации. 9.6. Методы определения наиболее значимых проблем
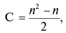
По мнению экспертов, обобщение практики показывает, что лишь 1/3 «вины» за неэффективную работу организации падает на внешние факторы и 2/3 – на внутренние. «Что значит – ответить на вопрос: “Какую проблему мы решаем?” Это значит провести общую оргдиагностику, т. е. выявить проблемы, связи между ними, а потом работать над решением одной из них». [52] Структуризация проблемного поля В результате организационной диагностики консультант получает перечень, состоящий, как правило, из нескольких десятков проблем. Возникают вопросы: что с ними делать, как их оценивать? Ответ на эти вопросы заключается в экспертной оценке перечня проблем силами работников организации по методике, разработанной профессором А. И. Пригожиным. 1. Внимательно прочитать список проблем. 2. Вычеркнуть из списка проблемы, которые представляются эксперту несущественными или повторяющимися в другой формулировке. 3. Объединить (агрегировать) проблемы в тех случаях, когда эксперт сочтет это необходимым. Разбить сложные формулировки на простые и, выделив из контекста причинно-следственные связи, по возможности перевести назывные формулировки в причинно-следственные либо антитезные так, как это показано на рис. 9.6. ![]() Рас. 9.6. Схема формирования упорядоченного списка проблем 4. Выделить из полученного трансформированного списка наиболее важные проблемы (желательно, но не обязательно, ограничиться 10–12 проблемами). 5. Заполнить «пустографку» (пример заполнения «пустографки» приведен на рис. 9.7) по следующей методике: а) внести в головку и в боковик номера проблем, признанных наиболее важными; б) сопоставить попарно каждую проблему, находящуюся в горизонтальном ряду, с каждой проблемой из вертикального ряда по критерию взаимовлияния. Иначе говоря, сравнивая каждую пару проблем, ответить на вопросы: «Какая из двух проблем сильнее обостряет или вызывает другую? Решение какой из проблем снимет остроту, сделает легче решаемой другую?» Если проблема из вертикального ряда вызывает, обостряет проблему из горизонтального ряда, то в клеточке их пересечения вставить стрелку по горизонтали слева направо вверх. Если же взаимосвязь обратная, то стрелку нужно ставить наоборот. В случае, когда не видно связи между проблемами, ставить нуль (0); в) если какие-либо проблемы упущены в списке, дописать их, не внося в «пустографку». ![]() Рис. 9.7. Пример заполнения «пусто граф ки» После того как материал обработан консультантами, можно построить графы, отражающие представление каждого из экспертов о важнейших проблемах организации и связях между ними. При построении графов выявляются четыре типа проблем: ● результирующие – являются следствием других проблем; ● корневые – вызывают или обостряют другие проблемы; ● узловые – зависят от некоторых проблем, но вызывают или обостряют некоторые другие проблемы; ● независимые – достаточно значимые проблемы, не связанные, по мнению экспертов, с другими проблемами. Выясним, какое количество сравнений (С) необходимо провести при n-количестве проблем. Первую проблему необходимо сравнить с n – 1 проблемой, вторую с n – 2 проблемой и т. д. В этом случае: С = (n – 1) + (n – 2) + (n – 3) +… + (n – (n – 1)). Таким образом, получаем формулу: ![]() упростив выражение, получаем: ![]() где С – количество сравнений; n – количество проблем. Из приведенной формулы следует, что число сравнений достаточно велико: при сопоставлении 30 проблем максимальное количество связей равно 435. И даже учитывая, что такой способ определения причинно-следственных связей исключает ситуацию, когда какая-либо связь не будет определена, применение на практике этого способа сравнения сопряжено со значительными затратами времени квалифицированных специалистов. Рассмотрим еще один способ структурирования проблемного поля. Он заключается в следующем: ● агрегирование проблем по блокам (кадровый, финансовый, технологический, инновационный, организационный, маркетинговый); ● структурирование блоков (построение модели причинно-следственных связей внутри блока); ● анализ блоков (определение коэффициентов влияния и важности проблем); ● установление причинно-следственных связей между блоками. Проблемное поле может быть разбито по разным признакам проблем, например, по сфере возникновения возможно разбиение на следующие блоки: кадровый; финансовый; технологический; инновационный; маркетинговый; организационный. Кадровый блок – включает проблемы, связанные с личным составом организации, нехваткой, а также избытком персонала, его обучением, уровнем квалификации и т. п. |
![Иллюстрация к книге — Управленческие решения [i_069.jpg] Иллюстрация к книге — Управленческие решения [i_069.jpg]](img/book_covers/066/66124/i_069.jpg)
![Иллюстрация к книге — Управленческие решения [i_070.jpg] Иллюстрация к книге — Управленческие решения [i_070.jpg]](img/book_covers/066/66124/i_070.jpg)
![Иллюстрация к книге — Управленческие решения [i_071.jpg] Иллюстрация к книге — Управленческие решения [i_071.jpg]](img/book_covers/066/66124/i_071.jpg)
![Иллюстрация к книге — Управленческие решения [i_072.jpg] Иллюстрация к книге — Управленческие решения [i_072.jpg]](img/book_covers/066/66124/i_072.jpg)