Книга Управленческие решения, страница 35 – Юрий Лапыгин, Денис Лапыгин

Авторы: А Б В Г Д Е Ж З И Й К Л М Н О П Р С Т У Ф Х Ч Ш Ы Э Ю Я
Книги: А Б В Г Д Е Ж З И Й К Л М Н О П Р С Т У Ф Х Ц Ч Ш Щ Ы Э Ю Я
Бесплатная онлайн библиотека LoveRead.ec

Онлайн книга «Управленческие решения»

📃 Cтраница 35

???? – суждение m-го эксперта о ранге n-го объекта.

3. Определяют ранги объектов (от 1-го до n), начиная от наименьшего до наибольшего результирующего рангов.

Метод непосредственной оценки заключается в отнесении объекта оценки к определенному значению по оценочной шкале (т. е. в присвоении объекту оценки балла в определенном интервале). Например, оценка от 0 до 10 в соответствии с предпочтением по какому-либо признаку или их группе (например, альтернативы, по предпочтению, критерии – по значимости, факторы внешней среды – по оказываемому влиянию, проблемы – по приоритетности решения).

Для дальнейшей обработки полученные оценки могут быть пронормированы, т. е. их сумма может быть приведена к единице путем деления каждой оценки на их общую сумму.

Для наглядности и удобства обработки (например, осуществление выбора ЛПР) оценки могут быть переведены в ранги. Максимальной оценке при этом соответствует наивысший ранг, т. е. 1, а минимальной – n (при n – количестве объектов оценки).

При оценке объекта по нескольким параметрам (например, при оценке альтернатив по нескольким критериям) cуммарная оценка объекта проводится следующим образом.

1. Эксперты выносят суждения о весах параметров (например, о весах критериев) и оценках объекта по множеству параметров (например, оценки альтернатив по критериям).

2. Аналитики обрабатывают полученные оценки: вычисляют нормализованные веса параметров (например, критериев) по формулам арифметического среднего, геометрического среднего или средневзвешенного. Так, методом вычисления средних арифметических веса находятся следующим образом:

● нормализуют оценки весов параметров отдельно по каждому эксперту (табл. 8.3, стр. 2–4)

Таблица 8.3

Вычисление усредненных весов параметров

Иллюстрация к книге — Управленческие решения [i_041.jpg]

● находят средние арифметические весов параметров (см. стр. 5 табл. 8.3);

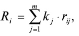
● подсчитывают оценки объектов по параметрам, вычисляемым аналогично вычислению весов параметров, и определяют комплексные оценки объектов по следующей формуле:

Иллюстрация к книге — Управленческие решения [i_042.jpg]

где Ri – комплексная оценка i-го объекта (i = 1…n, где n – количество объектов оценки);

kj – нормализованный весовой коэффициент j-го параметра;

rij – нормализованная оценка i-го объекта по j-му параметру;

m – количество параметров.

Затем комплексные оценки нормализуют.

Метод парных сравнений. Метод парных сравнений заключается в определении предпочтений элементов, расположенных в левом столбце, над элементами, расположенными в верхней строке. При этом составляется матрица, по строкам и столбцам которой располагают сравниваемые объекты (табл. 8.4).

Таблица 8.4

Матрица парных сравнений для четырех объектов

Иллюстрация к книге — Управленческие решения [i_043.jpg]

В табл. 8.4 в ячейке A12 вписана единица, это означает, что элемент A1 получает бóльшую оценку, чем элемент A2, соответственно в ячейке A21 пишут 0, а затем, суммируя значения по строкам, получают ранги объектов.

8.3. Методы оптимизации решений

Оптимальным считается решение, обеспечивающее максимальную эффективность. Оптимизация решения – поиск оптимального множества факторов, влияющих на его результат.

Р. А. Фатхутдинов называет следующие методы, применяемые для оптимизации решений.

● Анализ (гр. analysis – разложение, расчленение) – метод научного исследования, состоящий в мысленном или фактическом разложении целого на составные части.

● Синтез (гр. syntesis – соединение, сочетание, составление) – метод научного исследования какого-либо предмета, явления, состоящий в познании его как единого целого, в единстве и взаимной связи его частей.

● Прогноз (гр. prognosis – предвидение, предсказание) – научно обоснованная гипотеза о вероятном будущем состоянии экономической системы и экономических объектов и характеризующих это состояние показателей. [41] Прогнозирование – процесс разработки, составления прогноза.

● Моделирование (фр. мodelle, от лат. modulus – мера, образец) – воспроизведение экономических объектов и процессов в ограниченных, малых, экспериментальных формах, в искусственно созданных условиях.

8.4. Методы моделирования и формализации проблемной ситуации

Описание системы (будь то проблемная ситуация, подсистема маркетинга, учета или организация как система в целом) на любом языке отражает лишь некоторые стороны явлений и никогда не бывает абсолютно полным.

Под моделью понимают описание, охватывающее и отображающее атрибуты (свойства, показатели, параметры, принимаемые формы) сущности, интересующие исследователя с позиции получения результатов по проблеме исследования, т. е. с позиции достижения его (исследования) целей. Под сущностями в данном контексте понимают явления, процессы, системы различной природы, что-то иное, поддающееся описанию. Из приведенного определения ясно, что все модели субъективны. Еще одна особенность моделей заключается в том, что сущности могут быть смоделированы на различных языках описания.

Моделирование условно можно разделить на образное, логическое, физическое, экономико-математическое и ассоциативное.

Образная модель – это модель, возникающая в сознании человека, представляющая собой зрительный, слуховой, осязательный или обонятельный отпечаток, некий образ явления действительности. Образная модель представляет собой фрагмент действительности (то, что Дж. Миллер назвал чанком, вкладывая в это понятие «отрезок запоминаемой человеком информации»). [42]

Следует отметить, что образ – это еще не информация (см. тему 7). Приближенно образную модель можно считать кучей атрибутов сущности. Сама сущность объективируется в некоторой своей части в процессе возникновения ассоциативных связей между образом и человеческой системой переработки информации (в части ее долговременной памяти) в процессе мышления и дальнейшем распознавании элементов и компонент, а также систематизации образной модели. Систематизация при этом характеризуется возникновением, генерированием основных связей между элементами и компонентами системы.

Вход
Поиск по сайту
Ищем:
Календарь