Книга Руководство по закупкам, страница 107 – Никола Димитри, Густаво Пига, Джанкарло Спаньоло

Авторы: А Б В Г Д Е Ж З И Й К Л М Н О П Р С Т У Ф Х Ч Ш Ы Э Ю Я
Книги: А Б В Г Д Е Ж З И Й К Л М Н О П Р С Т У Ф Х Ц Ч Ш Щ Ы Э Ю Я
Бесплатная онлайн библиотека LoveRead.ec

Онлайн книга «Руководство по закупкам»

📃 Cтраница 107

Мы сосредоточимся на двух возможных способах распределения заявок, которые представляют два альтернативных вида рынков.

1. Однородное распределение (асимметричные участники).

Ценовые предложения поставщиков однородно распределяются вдоль ценовой линии. Это распределение характеризуется большим расхождением предложений, указывающим, что участники неоднородны относительно некоторых важных характеристик. Например, участники могут иметь существенные различия в структуре издержек.

2. Концентрированное распределение по высоким ценам и очень низкому предложению (все участники симметричны, кроме одного).

Ценовые предложения поставщиков сконцентрированы в одной и той же зоне, кроме одной очень низкой ценовой заявки. В этом контексте участники, по существу, симметричны, но есть один «независимый» участник, подающий очень агрессивную заявку, которая может соответствовать аномально низкому предложению (АНП).

Мы предполагаем, что резервная цена, максимальное количество баллов, присуждаемых ценовым предложениям (nn), и пороговая цена равны 1 млн, 30 и 0 евро соответственно для правил и линейного, и параболического начисления баллов.

12.3.3.1. Однородное распределение

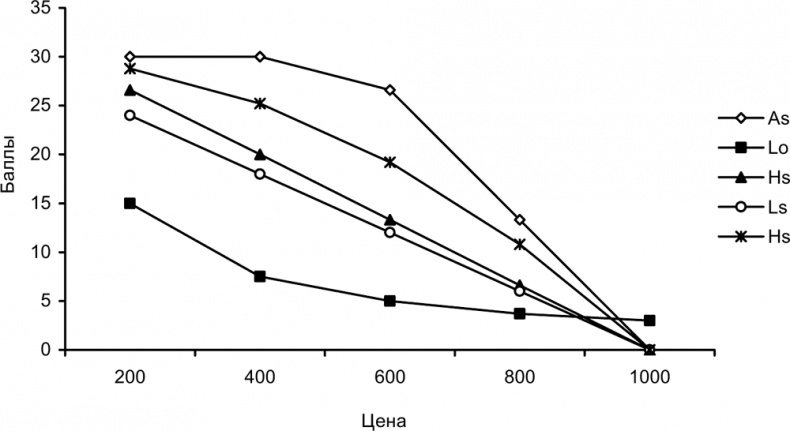
При сравнении правил начисления баллов (см. табл. 12.2 и рис. 12.3) мы обнаруживаем следующее:

• при As, Hs и Ls балл растет линейно по мере уменьшения цены; при As балл растет до средней заявки, тогда как при Hs балл растет до самой низкой заявки и при Ls он растет до нулевой ценовой заявки;

• Lo и Ps нелинейны;

• при As и Ls назначается вся доступная разность баллов; при As назначается нулевой балл самой высокой заявке и самый высокий балл – равным ей заявкам и заявкам ниже средней; при Ls нулевой балл назначается самой высокой заявке, а максимальный балл только самой низкой заявке;

• при Lo, Ls и Ps не назначается вся доступная разность баллов.

Вообще, при Lo никогда не назначается вся разность баллов, потому что при Lo всегда присуждает строго положительный балл самой высокой заявке, тогда как при Ls и Ps присуждаются вся разность баллов, только когда самая высокая заявка равна резервной цене и самая низкая заявка равна ценовому порогу.


Таблица 12.2. Равномерное распределение

Иллюстрация к книге — Руководство по закупкам [i_035.jpg]

При однородном распределением заявок эти правила начисления баллов являются довольно гетерогенными относительно обеспечиваемого ими стимула для ценовой конкуренции. Следовательно, когда участники асимметричны, стимулы конкурировать по цене могут претерпеть значительные изменения в зависимости от принятого правила начисления баллов.

Иллюстрация к книге — Руководство по закупкам [i_036.jpg]

Рис. 12.3. Равномерное распределение


12.3.3.2. Концентрированное распределение по высоким ценам и аномально низкому предложению

Когда распределение заявок сконцентрировано в зоне высоких цен, но есть одно аномально низкое предложение (см. табл. 12.3 и рис. 12.4), мы имеем следующее:

• при As, Lo и Hs по-прежнему назначается максимальный доступный балл, тогда как при Ps и Ls, соответственно, назначается балл, немного меньший максимального и составляющий примерно 2/3 от него;

• разность баллов между аномально низким предложением и второй лучшей заявкой равна нулю при As, подобна при Ls, Ps и Lo и очень значительна при Hs;

• аномально низкое предложение не меняет разность баллов среди всех других заявок при Ls и Ps, но влияет на них при альтернативных правилах начисления баллов, особенно при Hs.


Таблица 12.3. Концентрированное распределение по высоким ценам и аномально низкому предложению

Иллюстрация к книге — Руководство по закупкам [i_037.jpg]

Рис. 12.4. Свод графиков распределения по высоким ценам и АНП (ALP)

Иллюстрация к книге — Руководство по закупкам [i_038.jpg]
12.3.4. Начисление ценовых баллов, поведение поставщиков и стимулы

Стимул подавать заявки на цену меняется при различных правилах начисления баллов. Стимулы конкурировать по цене и, таким образом, по эффективно поданным ценовым заявкам могут в значительной степени различаться: при прочих равных условиях мы ожидаем более низкие цены от «конкурентных» правил начисления баллов. В таблице 12.4 мы представляем в суммарной форме результаты, полученные путем относительного сравнения правил начисления баллов. Каждое правило начисления баллов сравнивается по четырем характеристикам: простота, предсказуемость, конкуренция и чувствительность к распределению заявок. Сравнение проводится в относительном, но не абсолютном выражении. Шкала оценки колеблется от 0 до 3. Ls и Ps, которые мы рекомендуем закупщикам, являются самыми простыми и самыми предсказуемыми, главным образом потому, что они не чувствительны к распределению заявок. Хотя они имеют тенденцию давать более слабый стимул для ценовой конкуренции относительно Lo и Hs, мы напоминаем закупщикам, что ценовая конкуренция может быть точно отрегулирована при использовании ценового порога и максимального количества баллов (nn).


Таблица 12.4. Сравнение правил начисления баллов на основе некоторых ключевых особенностей

Иллюстрация к книге — Руководство по закупкам [i_039.jpg]

Примечание: ноль обозначает минимальный уровень; три обозначает максимальный уровень.


12.3.5. Правила начисления баллов и договорные неустойки

Правила начисления баллов играют ключевую роль в определении штрафов, которые покупатель налагает в случае нарушений контракта. Здесь, как и в других случаях, особенно большое влияние оказывает свойство предсказуемости. Представьте подрядчика, который обязался поставить товар определенного качества, X (например, 15-дюймовые мониторы для персональных компьютеров), но поставил товар, по качеству уступающий X, скажем, Y (например, 14-дюймовые экраны). Какой штраф следует наложить? Ответ зависит от MVP. Если разница между Х и Y соответствует баллам Ζ в правиле начисления баллов, то штраф должен равняться MVP × Ζ. Таким образом, покупатель получает компенсацию за снижение качества поставленного товара в виде соответствующей денежной стоимости. В примере 12.3 (см. подраздел 12.2.2) правильный штраф будет 500 евро за дюйм. Штрафы и правила начисления баллов должны быть установлены в согласованном порядке, а такая согласованность может быть четко обеспечена, только если MVP известен априори.

Вход
Поиск по сайту
Ищем:
Календарь