Книга Теория ограничений Голдратта. Системный подход к непрерывному совершенствованию, страница 50 – Уильям Детмер

Авторы: А Б В Г Д Е Ж З И Й К Л М Н О П Р С Т У Ф Х Ч Ш Ы Э Ю Я
Книги: А Б В Г Д Е Ж З И Й К Л М Н О П Р С Т У Ф Х Ц Ч Ш Щ Ы Э Ю Я
Бесплатная онлайн библиотека LoveRead.ec

Онлайн книга «Теория ограничений Голдратта. Системный подход к непрерывному совершенствованию»

📃 Cтраница 50
Иллюстрация к книге — Теория ограничений Голдратта. Системный подход к непрерывному совершенствованию [_257.jpg]

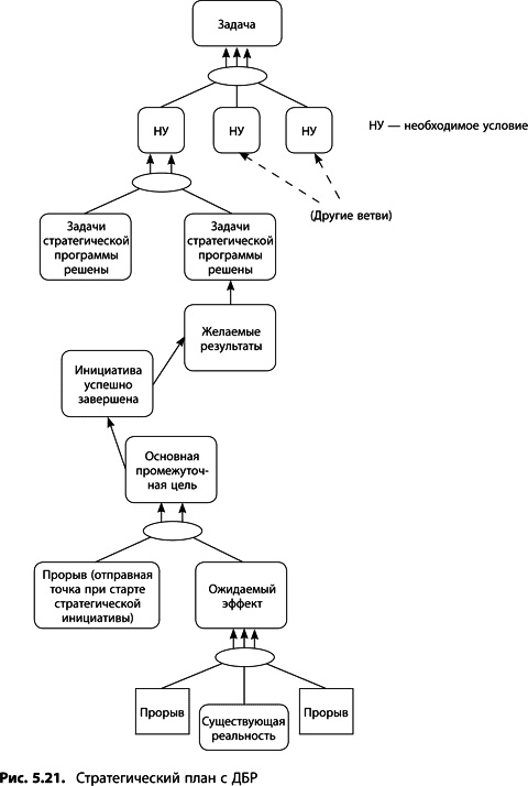
Если все необходимые условия достижения цели определены правильно, ваше ДБР будет генеральной схемой стратегического плана организации. Если по ходу выполнения программы стратегического развития кем-либо предлагается действие, не отраженное в ДБР, обязательно проверьте, действительно ли данное решение приблизит вас к стратегической цели организации. Если да, стратегическое дерево будущей реальности должно быть скорректировано. В противном же случае не стоит расходовать ресурсы системы зря, лучше заняться выполнением стратегического плана развития, как описано в ДБР.

Когда ДБР построено, нужно описать его словами, детализировать в «стратегическом плане» – документе, который должен содержать вспомогательные (тактические) планы, необходимые для успешной реализации стратегии. Необходимо иметь в виду, что с ДБР возможно не только масштабное стратегическое планирование: диаграммы подобного типа – прекрасный инструмент планирования проектов и принятия рабочих решений.

Создание дерева будущей реальности

Теперь можно приступать к созданию ДБР. Далее приводится описание этапов процесса построения, а на рис. 5.36 – план построения в кратком виде.

1. Соберите всю необходимую информацию и материалы

Вам понадобится большой лист бумаги, карандаш и небольшие клейкие листочки для записей (как и при создании дерева текущей реальности).

Если предварительно были построены ДТР и ДРК, держите их под рукой. Составьте список нежелательных проявлений, запишите ключевую проблему и основные истинные причины из ДТР. Из ДРК выпишите задачу и все прорывы (нестандартные идеи). Вам пригодится также перечень исходных предположений.

Если вы строите ДБР с нуля, начинайте сразу с этапа 2.

2. Сформулируйте желаемые результаты

Для начала на клейких листочках запишите все желаемые результаты, которых собираетесь достичь (рис. 5.22). Если вы не строили ДТР, придется определять результаты по ходу построения. Если есть ДТР, возьмите все нежелательные проявления и сформулируйте обратные утверждения, превратив нежелательные явления в желаемые результаты. Например, если НЯ звучит как «Компания несет убытки», то противоположное звучание, т. е. ЖР, – это «Компания получает прибыль». Итак, задача для ДБР поставлена, вы сформулировали список желаемых результатов.

Иллюстрация к книге — Теория ограничений Голдратта. Системный подход к непрерывному совершенствованию [_259.jpg]
Исключительно позитивно

Формулировка желаемого результата должна быть исключительно позитивной, не допускайте нейтральных неоднозначных утверждений (т. е. «строго хорошо», а не «может быть, неплохо»).

Используйте настоящее время

Не используйте будущее время, формулируя компоненты ДБР. Ведь это тестирование системных проявлений, а тестирование возможно только в настоящем времени. Поэтому пользуйтесь глаголами в настоящем времени («могу», а не «смогу», «имеется», а не «будет»).

Расположите в верхней части листа

Расположите листочки с желаемыми результатами горизонтально в верхней части листа. Если ЖР получены из НЯ дерева текущей реальности, то они и в ДБР будут размещаться симметричным по отношению к ДТР образом, так как действующие в системе законы и логика взаимоотношений системных элементов остаются неизменными.

3. Соберите вместе нестандартные идеи

Расположите листочки с записанными на них нестандартными идеями в нижней части листа (рис. 5.23). Чтобы изменить существующую ситуацию и выстроить новую цепь развития событий в будущем, нужно создать условия, благоприятные для реализации именно вашего плана, как-то воздействовать на явления системы. Эти воздействия и будут нестандартными идеями для вашей диаграммы.

Иллюстрация к книге — Теория ограничений Голдратта. Системный подход к непрерывному совершенствованию [_260.jpg]
Где взять нестандартные идеи?

Если дерево текущей реальности и диаграмма разрешения конфликтов не были предварительно построены, вам придется задействовать интуицию и воображение, чтобы определить, что и как нужно изменить в системе. Можно использовать традиционные методы генерации идей («мозговой штурм», техника номинальных групп, карточки Кроуфорда).

Если же ДТР и ДРК были построены ранее, значит, при генерации нестандартных решений можно полагаться на логику ТОС. По сути, ДРК – это не только метод разрешения конфликтов, но и способ генерации идей, поэтому, когда ДРК готова, вы уже располагаете по меньшей мере одним основным прорывом и рядом вспомогательных нестандартных идей. Запишите нестандартные идеи на листочках и пометьте их особым цветом или жирной линией обводки, чтобы отличить от других блоков диаграммы.

Расположите идеи в основании ДБР

Поместите листочки с основными нестандартными идеями внизу страницы в центре. Если вы собираетесь использовать и другие идеи, разместите их внизу листа (рис. 5.23).

Примечание: имея в своем распоряжении готовые ДТР и ДРК, вы можете взять из них и другие элементы для ДБР. Например, можно использовать задачу из ДРК (утверждение, обратное формулировке ключевой проблемы ДТР). Запишите ее на листочке и прикрепите в центре листа – между основанием диаграммы и желаемыми результатами. Пригодятся также необходимые условия из ДРК в качестве следствий нестандартного решения первого уровня в основании логического дерева. Необходимые условия следует разместить над прорывом первого уровня, но под задачей из ДРК (рис. 5.23).

4. Наполните схему ДБР деталями

Теперь у вас есть основа для построения дерева будущей реальности.

Двигайтесь снизу вверх

Начините с прорыва первого уровня и выстраивайте диаграмму вверх до желаемых результатов (рис. 5.24). При помощи эллипса обозначайте объединение необходимых причин в достаточное условие наступления следствия. Так, нестандартные идеи должны опираться на объективно существующие в системе законы или обстоятельства. К желаемому результату может привести только творческий подход, опирающийся на логику. Например, если утверждение «Двигатель в моей машине плохо работает» – объективный факт, а приятель подал мне хорошую идею, что «двигатель можно отрегулировать в соседней мастерской», то при определенных условиях можно получить ожидаемый результат «Двигатель в моей машине работает хорошо».

Вход
Поиск по сайту
Ищем:
Календарь