Книга Теория ограничений Голдратта. Системный подход к непрерывному совершенствованию, страница 42 – Уильям Детмер

Авторы: А Б В Г Д Е Ж З И Й К Л М Н О П Р С Т У Ф Х Ч Ш Ы Э Ю Я
Книги: А Б В Г Д Е Ж З И Й К Л М Н О П Р С Т У Ф Х Ц Ч Ш Щ Ы Э Ю Я
Бесплатная онлайн библиотека LoveRead.ec

Онлайн книга «Теория ограничений Голдратта. Системный подход к непрерывному совершенствованию»

📃 Cтраница 42

Проверьте правильность высказывания. Действительно ли для выполнения задачи необходимо это условие? Меняйте формулировки до тех пор, пока конструкция «Для того чтобы… мы должны…» не будет логичной и соответствующей действительности.

4. Обозначьте конфликт методов обеспечения

Теперь нужно выявить, в чем конфликт, какие именно элементы противоречат друг другу (рис. 4.30). Обычно это либо прямо противоположные, либо альтернативные методы обеспечения условий (см. раздел «Два вида конфликтов» в этой главе). Найдите первый метод, а затем сформулируйте противоположное утверждение, которое и будет вторым искомым методом.

Для правильного обозначения конфликтующих методов проговаривайте их, используя конструкцию «С одной стороны… а с другой…». Подбирайте фразы до тех пор, пока вся конструкция не будет звучать осмысленно. Финальные варианты запишите в соответствующие ячейки М1 и М2.

Иллюстрация к книге — Теория ограничений Голдратта. Системный подход к непрерывному совершенствованию [_206.jpg]
5. Определите второе необходимое условие

Какое же необходимое условие мы пытаемся обеспечить, используя второй, только что сформулированный метод? Что необходимо для выполнения задачи? Для поиска ответа прочтите наоборот фразу «Для того чтобы… мы должны…» и заполните ячейку У2 на вашей схеме (рис. 4.31):

«Мы должны использовать… (метод), чтобы обеспечить… (необходимое условие)».

Запишите условия очень кратко, оцените правильность каждого: действительно ли именно для этого мы используем сформулированные методы обеспечения? Подбирайте формулировки до тех пор, пока они не станут логично звучать в конструкции «Для того чтобы… мы должны…»:

«Для того чтобы обеспечить… (необходимое условие), мы должны использовать… (метод)».

Выработанный окончательный вариант запишите в ячейку для условия 2.

Иллюстрация к книге — Теория ограничений Голдратта. Системный подход к непрерывному совершенствованию [_207.jpg]

Примечание 1: условия, как правило, в конфликт не вступают, ведь это условия, объективно необходимые для наступления некоторого события, и они не должны противоречить друг другу. Если вам кажется, что найденные вами условия противоречат друг другу, проверьте тщательно все логическое построение. Вероятно, одно или оба условия на самом деле являются методами обеспечения. Ваш случай также может быть примером сложного конфликта (см. раздел «Сложный конфликт» в этой главе и рис. 4.11).

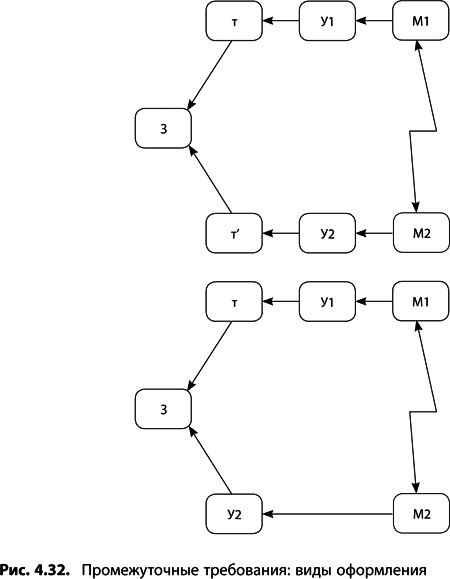
Примечание 2: в некоторых случаях между задачей (целью) и обязательными требованиями У1 и У2 могут существовать еще и промежуточные требования (т) (рис. 4.32). Их нужно учитывать при формулировке задачи, но не обязательно изображать на диаграмме, если:

● они необходимы, но сами по себе не достаточны для выполнения задачи;

● они не противоречат друг другу;

● их наличие без дополнительных разъяснений очевидно и понятно для аудитории, которой вы будете демонстрировать ДРК.


Если эти три условия не выполняются, лучше отразить промежуточные требования на диаграмме, чтобы избежать путаницы и недопонимания. На рис. 4.32 показано, каким образом это можно сделать. Но делать это нужно в самом крайнем случае. Старайтесь, чтобы диаграмма выглядела как можно проще – и чем проще, тем лучше.

Иллюстрация к книге — Теория ограничений Голдратта. Системный подход к непрерывному совершенствованию [_208.jpg]
6. Проверьте логические связи ДРК

Прочтите вслух всю диаграмму от задачи и до методов обеспечения, используя конструкцию «Для того чтобы… мы должны…».

● Для того чтобы весь парк оборудования всегда был в рабочем состоянии (З), мы должны быстро восстанавливать неисправное оборудование (У1).

● Для того чтобы весь парк оборудования всегда был в рабочем состоянии (З), мы должны предотвращать поломки исправного оборудования (У2).

● Для того чтобы быстро восстанавливать неисправное оборудование (У1), мы должны все ресурсы сосредоточить на ремонте неисправного оборудования (М1).

● Для того чтобы предотвращать поломки исправного оборудования (У2), мы должны все ресурсы сосредоточить на плановом техобслуживании (М2).

● С одной стороны, мы должны все ресурсы сосредоточить на ремонте неисправного оборудования (М1), а с другой – на плановом техобслуживании (М2). Но одновременно сделать это невозможно.


Соответствует ли в целом полученная конструкция вашему пониманию ситуации? Если нет, вновь изучите и подкорректируйте все сомнительные места, в случае необходимости проконсультируйтесь с теми, кто владеет информацией. Затем переходите к следующему этапу.

Анализ диаграммы разрешения конфликтов

Порядок анализа ДРК как логического построения отличается от анализа дерева текущей реальности. Так как ДРК представляет всего лишь часть условий, необходимых для выполнения основной задачи системы, то весь анализ заключается в проведении всего двух проверок.

Отображение реальной ситуации

По своей сути ДРК – это попытка выявить часть текущей реальности, мешающую системе избавиться от главного на данный момент ограничения. Соответственно, ДРК должна достаточно точно описывать ситуацию. Конечно, жестких критериев оценки здесь нет, ориентируйтесь на свой опыт и здравый смысл.

Восприятие

В отличие от дерева текущей реальности в диаграмме разрешения конфликтов описательная логика скорее вредит, чем помогает. Дело в том, что смысл всего построения – найти и устранить неверные предположения, выявить и ликвидировать напряженность в системе, а не подкреплять существующий конфликт «сухими» наблюдениями. В ДРК утверждение, с которого начинается стрелка, должно восприниматься аудиторией как обязательное требование для реализации события, на которое эта стрелка указывает. Обратите внимание на слово «восприниматься» в предыдущей фразе. На самом деле логические связи вашей схемы могут на поверку оказаться не совсем строгими и даже ошибочными. Но если большинство воспринимает их правильно, то диаграмма построена верно.

Если включать в ДРК только неопровержимые, многократно проверенные наблюдения, то вы получите неснимаемый конфликт, диаграмму, не имеющую решений. Так что постарайтесь, чтобы ваша схема передавала ситуацию так, как ее воспринимает большинство. Как только логическое дерево готово, задайте себе вопрос: «Так ли все участники видят события?» Ни в коем случае не спрашивайте: «Удалось ли отсечь сомнительные положения?»

Вход
Поиск по сайту
Ищем:
Календарь