Книга Теория ограничений Голдратта. Системный подход к непрерывному совершенствованию, страница 32 – Уильям Детмер

Авторы: А Б В Г Д Е Ж З И Й К Л М Н О П Р С Т У Ф Х Ч Ш Ы Э Ю Я
Книги: А Б В Г Д Е Ж З И Й К Л М Н О П Р С Т У Ф Х Ц Ч Ш Щ Ы Э Ю Я
Бесплатная онлайн библиотека LoveRead.ec

Онлайн книга «Теория ограничений Голдратта. Системный подход к непрерывному совершенствованию»

📃 Cтраница 32

● сотрудники полагают, что TQM вызовет увеличение объемов бумажной работы (204);

● считается, что ощутимых и масштабных результатов придется ждать долго (213);

● многие сотрудники противятся переменам, необходимым для успешной работы TQM (607);

● не достигается цель организации (611);

● совершенствуя качество, организация тратит больше, чем получает (711);

● руководство не демонстрирует приверженности принципам TQM (702);

● одни и те же проблемы возникают вновь и вновь (704);

● сотрудники разочаровываются в TQM как в подходе (811);

● сотрудники поддерживают принципы TQM только на словах (810);

● для многих личные планы важнее интересов организации (903).

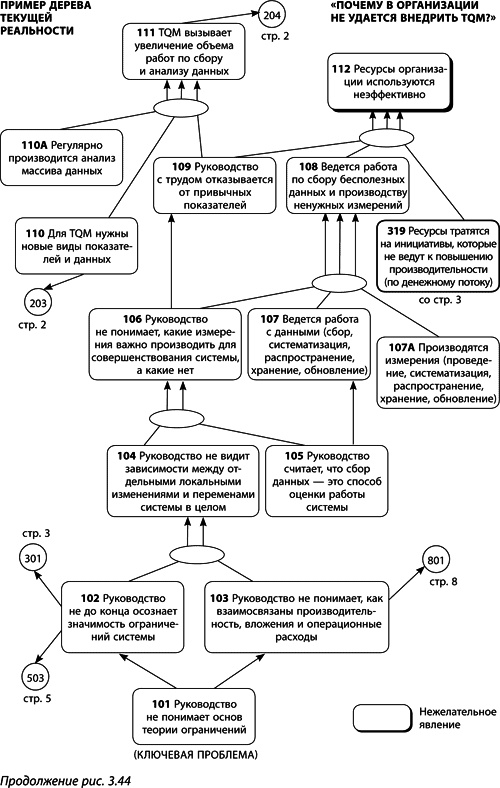
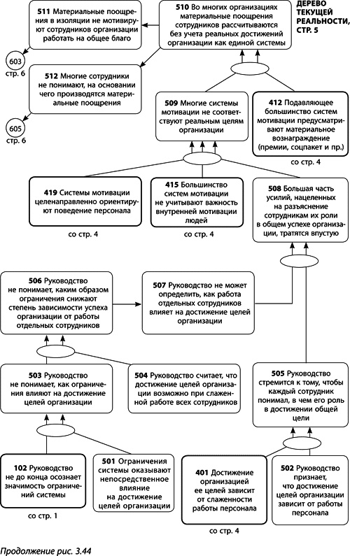
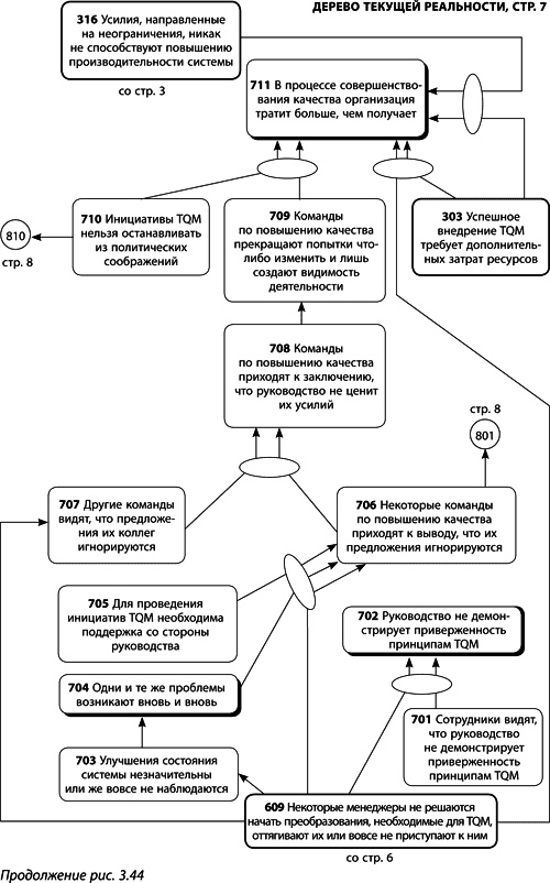
Рис. 3.44. Дерево текущей реальности: пример «Причины неудачного внедрения TQM»
Иллюстрация к книге — Теория ограничений Голдратта. Системный подход к непрерывному совершенствованию [_153.jpg]
Иллюстрация к книге — Теория ограничений Голдратта. Системный подход к непрерывному совершенствованию [_154.jpg]
Иллюстрация к книге — Теория ограничений Голдратта. Системный подход к непрерывному совершенствованию [_155.jpg]
Иллюстрация к книге — Теория ограничений Голдратта. Системный подход к непрерывному совершенствованию [_156.jpg]
Иллюстрация к книге — Теория ограничений Голдратта. Системный подход к непрерывному совершенствованию [_157.jpg]
Иллюстрация к книге — Теория ограничений Голдратта. Системный подход к непрерывному совершенствованию [_158.jpg]
Иллюстрация к книге — Теория ограничений Голдратта. Системный подход к непрерывному совершенствованию [_159.jpg]
Иллюстрация к книге — Теория ограничений Голдратта. Системный подход к непрерывному совершенствованию [_160.jpg]
Иллюстрация к книге — Теория ограничений Голдратта. Системный подход к непрерывному совершенствованию [_161.jpg]
Иллюстрация к книге — Теория ограничений Голдратта. Системный подход к непрерывному совершенствованию [_162.jpg]
Иллюстрация к книге — Теория ограничений Голдратта. Системный подход к непрерывному совершенствованию [_163.jpg]
Иллюстрация к книге — Теория ограничений Голдратта. Системный подход к непрерывному совершенствованию [_164.jpg]
Иллюстрация к книге — Теория ограничений Голдратта. Системный подход к непрерывному совершенствованию [_165.jpg]
4 Диаграмма разрешения конфликтов

Как встающие перед нами вопросы, так и предлагаемые решения трудно поделить на хорошие и плохие. Остерегайтесь решений, предполагающих, что в выигрыше окажется только одна из сторон. Как правило, существование двух противоборствующих мнений обусловлено тем, что ни один из противников не располагает полной информацией.

Штефан Швамбах
Иллюстрация к книге — Теория ограничений Голдратта. Системный подход к непрерывному совершенствованию [_167.jpg]

Скрытые конфликты являются источником большинства беспокоящих нас вопросов. Именно скрытость конфликтов сводит на нет все попытки изменить существующую ситуацию, поэтому поиск и разрешение внутренних конфликтов, основы всех бед, – не пустая трата времени.

Существующий внутренний конфликт обычно малозаметен, а его истинные причины туманны. Встречаются сложные случаи, когда противостояние скрыто очень глубоко и никем не осознается.

Итак, как же понять, что в нашем деле есть скрытый конфликт? Как выявить противостояние, мешающее быстро и эффективно решить проблему? Голдратт предложил оригинальный способ поиска и разрешения конфликтов, при котором удается учесть интересы всех сторон. Речь идет о диаграмме разрешения конфликтов (ДРК).

Определение

Иногда ДРК называют диаграммой «Грозовая туча», так как она помогает развеять конфликт так же, как рассеивают тучи над большими городами в дни проведения торжеств. Это логическое построение помогает находить необходимые условия или составные части внутреннего конфликта, вырабатывать методы разрешения существующего противостояния. В диаграмму включаются: первостепенная задача системы, необходимые условия, при которых задача может быть решена, а также методы обеспечения условий, необходимых для выполнения задачи (рис. 4.1). ДРК позволяет обнаружить исходные ошибочные предположения, лежащие в основе конфликта, которые необходимо оспорить. ДРК является механизмом генерации идей – предложений, которые впоследствии могут стать решением сложнейшей проблемы.

Иллюстрация к книге — Теория ограничений Голдратта. Системный подход к непрерывному совершенствованию [_170.jpg]
Цель

Диаграмма разрешения конфликтов создается, чтобы:

● удостовериться в существовании конфликта;

● найти скрытый конфликт, лежащий в основе ключевой проблемы;

● разрешить существующий конфликт;

Вход
Поиск по сайту
Ищем:
Календарь