Онлайн книга «Выход из кризиса. Новая парадигма управления людьми, системами и процессами»
|
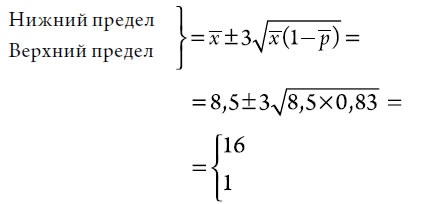
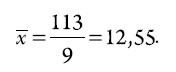
Человек не смеет рисковать. Не меняйте процедуру. Перемена может и не сработать. Что может стать с ним при такой перемене? Ему надо стоять на страже собственной безопасности. Безопаснее идти в общем строю. Менеджер в рассматриваемой системе, как, впрочем, и люди, которыми он управляет, работает как индивид над своим продвижением, а не на компанию. Ему бы себя показать. Менеджер (своим людям): Не работайте с теми ребятами (из другой группы). Ваше время принадлежит нашему проекту. Если отменить годовую аттестацию, все вздохнут с облегчением. Вопросы для размышления. 1. Как бы вы оценили самого себя? Каким методом или по каким критериям? Зачем? 2. Что вы пытаетесь измерить, когда ранжируете что-либо? Как вы ранжируете кого-либо, чтобы предсказать его показатели в будущем: а) на его рабочем месте; б) на более высоком посту (с большей ответственностью)? Другой Ирвин Лэнгмюр? Может ли Америка, имея такой тормоз, как система ежегодных аттестаций, в будущем произвести другого Ирвина Лэнгмюра, нобелевского лауреата, или другого У. Кулиджа? Оба эти человека работали в компании General Electric. Может ли компания Siemens создать другого Эрнста Вернера фон Сименса? Важно заметить, что 80 % американских нобелевских лауреатов имели бессрочный контракт найма и чувствовали себя в безопасности. Они несли ответственность только перед собой. Справедливая аттестация невозможна. Общее заблуждение заключается в предположении, что можно проранжировать людей. Что можно приписать им ранговый порядок для показателей следующего года на основе показателей текущего года. Показатели любого человека – это результат сложения многих сил – самого человека, его коллег, работы, материалов, которые он перерабатывает, его оборудования, его потребителей, его менеджмента, внешних условий (шум, беспорядок, плохая пища в буфете компании). Эти силы порождают невероятно большие различия между людьми. В действительности, как мы еще увидим, это результат исключительно системы, в которой они работают. Человек, который не продвигается по службе, не может понять, почему же его показатели хуже, чем чьи-нибудь еще. Неудивительно, ведь его рейтинг – это результат лотереи. Но он-то, увы, относится к этому серьезно. Следующие численные примеры призваны проиллюстрировать невероятные различия между людьми, которые обусловливает сама система. Исключительные результаты можно обнаружить только у тех, кто на основании вычислений оказывается за пределами вариации системы или порождает особенность поведения – паттерн. Надо подчеркнуть, что любая реальная система создает гораздо большие различия между людьми, чем те, что мы увидим в рассматриваемом идеальном случае, в котором моделируем систему постоянных причинных факторов. Пример 1. Предположим, что шесть человек участвуют в простом эксперименте. Каждый должен мешать красные и белые бусинки (4000 штук), причем первые составляют 20 % в общем количестве, а затем вытянуть методом случайной выборки в 50 бусин и передать горсть следующему участнику. Цель – получить белые бусины: наш потребитель не приемлет красные бусы. Вот фактические результаты. ![]() Было бы трудно создать для шести человек столь схожие физические условия работы, но даже на глаз видно, что показатели людей варьируют в огромном диапазоне. Но давайте воспользуемся статистической теорией. Вычислим различия между людьми, которые можно отнести за счет случайных вариаций системы. Эти вычисления основаны на средних показателях и на предположении, что люди и их производство красных бус полностью независимы. Читатель, который незнаком с приведенными ниже вычислениями, может обратиться к главе 11, или найти учителя, или обратиться к одной из книг, список которых приведен в конце главы 11. ![]() Вычисление пределов вариации, за которую ответственна система: ![]() Очевидно, что все шесть человек попадают в пределы вариации системы, в которой они работают. Нет никаких убедительных свидетельств того, что в будущем результаты Джека будут лучше, чем показатели Терри. Всем следует дать одинаковое повышение. А те, у кого стаж больше, должны, конечно, получить более высокое вознаграждение. Очевидно, что, скорее всего, пустой тратой времени будет выяснение, почему у Терри 15 красных бусин, а у Джека только 4. И что еще хуже, тот, кто попытается отыскать причину, получит неверный ответ и прибегнет к действиям, которые только усугубят положение. Проблема менеджмента между тем заключается в том, чтобы улучшать систему и, следовательно, помочь всем людям производить больше белых бусин и меньше красных. (Подробнее см. в главе 11.) Пример 2. (Вклад Уильяма Шеркенбаха из компании Ford Motor.) Вы менеджер, в вашем непосредственном подчинении девять сотрудников. Все они имеют один и тот же уровень ответственности. В прошлом году было зарегистрировано следующее число сделанных ими ошибок. У всех сотрудников были примерно одинаковые шансы допустить оплошность. ![]() Перечисленные здесь ошибки могли возникнуть в бухгалтерии, в инженерных чертежах, вычислениях, на сборке и где угодно еще. Настало время для оценки и рекомендаций на повышение на основе аттестации. Кого же вы повысите? А кого понизите? Давайте начнем с оценки диапазона вариаций, порождаемых системой, в которой работают эти люди. Вот вычисления. ![]() Вычисление пределов вариации, обусловленной системой: ![]() Таким образом, ни один из девяти сотрудников не выходит за вычисленные пределы. Выявленные различия между этими девятью людьми следует полностью отнести на счет системы. И результаты всех людей вписываются в формулу компании для повышения оплаты труда. |
![Иллюстрация к книге — Выход из кризиса. Новая парадигма управления людьми, системами и процессами [i_010.jpg] Иллюстрация к книге — Выход из кризиса. Новая парадигма управления людьми, системами и процессами [i_010.jpg]](img/book_covers/065/65974/i_010.jpg)
![Иллюстрация к книге — Выход из кризиса. Новая парадигма управления людьми, системами и процессами [i_011.jpg] Иллюстрация к книге — Выход из кризиса. Новая парадигма управления людьми, системами и процессами [i_011.jpg]](img/book_covers/065/65974/i_011.jpg)
![Иллюстрация к книге — Выход из кризиса. Новая парадигма управления людьми, системами и процессами [i_012.jpg] Иллюстрация к книге — Выход из кризиса. Новая парадигма управления людьми, системами и процессами [i_012.jpg]](img/book_covers/065/65974/i_012.jpg)
![Иллюстрация к книге — Выход из кризиса. Новая парадигма управления людьми, системами и процессами [i_013.jpg] Иллюстрация к книге — Выход из кризиса. Новая парадигма управления людьми, системами и процессами [i_013.jpg]](img/book_covers/065/65974/i_013.jpg)
![Иллюстрация к книге — Выход из кризиса. Новая парадигма управления людьми, системами и процессами [i_014.jpg] Иллюстрация к книге — Выход из кризиса. Новая парадигма управления людьми, системами и процессами [i_014.jpg]](img/book_covers/065/65974/i_014.jpg)
![Иллюстрация к книге — Выход из кризиса. Новая парадигма управления людьми, системами и процессами [i_015.jpg] Иллюстрация к книге — Выход из кризиса. Новая парадигма управления людьми, системами и процессами [i_015.jpg]](img/book_covers/065/65974/i_015.jpg)