Онлайн книга «Выход из кризиса. Новая парадигма управления людьми, системами и процессами»
|
Упражнения
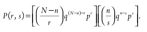
Упражнение 1. Дано: чаша с красными и белыми бусинами, доля красных – p, доля белых – q (рис. 53). ![]() Рис. 53. Партии извлекаются из чаши с красными и белыми бусинами. Затем из партии берется выборка. Замещение каждой бусины, попавшей в партию, обеспечивает постоянство доли p при каждом вынимании Шаг 1. Извлечем из чаши с помощью случайных чисел с возвратом партию объемом N. Результат: N всего X красных N – X белых Шаг 2. Извлечем из партии с помощью случайных чисел без возврата выборку объемом n. Результат: ![]() Шаг 3. Вернуть бусины из выборки в партию. Шаг 4. Повторять шаги 1, 2, 3 неоднократно, сохраняя постоянными объемы партии и выборки. Записать результаты для значений r и s. Показать, что теоретическое распределение для r и s будет равно:
Выводы: а) Число красных бусин в выборке объемом n и число красных бусин в оставшейся части распределены биномиально вокруг одного и того же значения p; б) независимы друг от друга. То есть число красных бусин в остатке, соответствующем выборкам с количеством дефектных изделий s = 17, будет распределено точно так же, как и число красных бусин в остатке, соответствующем выборкам с s = 0 дефектных изделий. Эта теорема ужасна. В ней утверждается, что если отдельные дефекты независимы, как это обычно свойственно процессу, находящемуся в статистически хорошо управляемом состоянии, то любая попытка использовать план приемочного контроля для принятия решения о 100 %-ной разбраковке оставшейся части партии будет равносильна подбрасыванию монеты [114]. (Подбрасывание монеты намного дешевле, чем испытания выборок.) Вместо того чтобы брать выборку из партии, можно просто разделить партию с помощью случайных чисел на две части – выборку и остаток. Упражнение 2. Если распределение дефектов в партиях уже, чем биномиальное, и если правило приемки остатка основано на испытаниях выборки, тогда правило будет таким: принимать остаток так, как он есть, когда в выборке много дефектов, и браковать остаток и проводить в нем отбраковку, когда в выборке мало или совсем нет дефектов, т. е. действовать наперекор обычным правилам [115]. Простой способ понять, как получается вышеописанный результат, – рассмотреть ситуацию, когда все входящие партии содержат одно и то же число дефектных изделий. Дефекты, которых нет в остатке, содержатся в выборке, и наоборот. Следовательно, большое число дефектных изделий в выборке будет указывать на малое их число в остатке. И. Хилл (1960) указал на простой способ производить партии с однородным качеством. Допустим, 20 станков изготавливают одно и то же изделие, 19 из них не производят дефектов, а один выпускает только негодные изделия. Для формирования партии возьмем по одному изделию от каждого из 20 станков. Тогда каждая партия из 20 изделий будет содержать 5 % дефектных изделий. Партии почти постоянного качества не исключительное явление. Рассмотрим блок фиксирующих поддонов, например, в количестве 12 штук. Они вращаются в процессе штамповки листового металла. Один из поддонов неисправен. Почти все изделия, которые штампуются на нем, окажутся дефектными. Остальные 11 поддонов в хорошем состоянии. Выход партий, формируемых из 12 последовательных изделий, будет постоянно близок к значению 1/12, или 8,3 % дефектных. Упражнение 3. Доказательство правила «все или ничего». Выберем с помощью случайных чисел деталь из партии. Назовем ее деталью i. Она может быть дефектной или качественной. Следует ли нам проверить ее или пустить прямо в производство безо всякого контроля? Мы можем представить среднюю полную стоимость в виде таблицы (табл. 5). Таблица 5 ![]() Мы видим, что варианты «да» и «нет» одинаковы, если p = k1/k2. Такое качество Александр Муд назвал равновесным. В точке равновесного качества полная стоимость одинакова для варианта «нет» и варианта «да». Дальше мы видим, что если p < k1/k2, то к меньшим общим потерям приводит вариант «нет», а если p > k1/k2, то вариант «да» (см. рис. 54). ![]() Рис. 54. График, показывающий минимальные полные затраты на изделие в партии в зависимости от входящего качества p. Минимальная доля дефектных изделий лежит вдоль линии 0ВГ. Излом В происходит в точке равновесного качества Б, где p = k1/k2. Полная стоимость максимизируется при использовании 100 %-ного контроля там, где минимум полных затрат обеспечило бы отсутствие контроля, и наоборот Очевидно, что если наихудшая партия, которая поступит (например) на следующей неделе, будет отстоять слева от точки равновесия, то остальные партии будут лучше, еще больше отдаляясь влево. Ясно, что в этих условиях отсутствие контроля приведет к минимуму средних полных затрат (случай 1). Если наилучшая партия находится справа от точки равновесия, тогда все другие партии будут хуже и отстоять еще дальше вправо. Это пример случая 2. Полный контроль всех партий приведет к минимуму средних полных затрат. |
![Иллюстрация к книге — Выход из кризиса. Новая парадигма управления людьми, системами и процессами [i_089.jpg] Иллюстрация к книге — Выход из кризиса. Новая парадигма управления людьми, системами и процессами [i_089.jpg]](img/book_covers/065/65974/i_089.jpg)
![Иллюстрация к книге — Выход из кризиса. Новая парадигма управления людьми, системами и процессами [i_090.jpg] Иллюстрация к книге — Выход из кризиса. Новая парадигма управления людьми, системами и процессами [i_090.jpg]](img/book_covers/065/65974/i_090.jpg)
![Иллюстрация к книге — Выход из кризиса. Новая парадигма управления людьми, системами и процессами [i_091.jpg] Иллюстрация к книге — Выход из кризиса. Новая парадигма управления людьми, системами и процессами [i_091.jpg]](img/book_covers/065/65974/i_091.jpg)
![Иллюстрация к книге — Выход из кризиса. Новая парадигма управления людьми, системами и процессами [i_092.jpg] Иллюстрация к книге — Выход из кризиса. Новая парадигма управления людьми, системами и процессами [i_092.jpg]](img/book_covers/065/65974/i_092.jpg)
![Иллюстрация к книге — Выход из кризиса. Новая парадигма управления людьми, системами и процессами [i_093.jpg] Иллюстрация к книге — Выход из кризиса. Новая парадигма управления людьми, системами и процессами [i_093.jpg]](img/book_covers/065/65974/i_093.jpg)