Книга Управление персоналом, страница 55 – Алла Дейнека

Авторы: А Б В Г Д Е Ж З И Й К Л М Н О П Р С Т У Ф Х Ч Ш Ы Э Ю Я
Книги: А Б В Г Д Е Ж З И Й К Л М Н О П Р С Т У Ф Х Ц Ч Ш Щ Ы Э Ю Я
Бесплатная онлайн библиотека LoveRead.ec

Онлайн книга «Управление персоналом»

📃 Cтраница 55

Квп.пл – коэффициент выполнения норм (в зарубежной практике отражает уровень производительности), рассчитываемый по формуле

Иллюстрация к книге — Управление персоналом [b00002887.jpg]

где tшт.норм – время изготовления единицы изделия по нормам (по технологии); tшт.факт – фактическое время изготовления единицы изделия.

Расчет дополнительной потребности осуществляется по формуле

Иллюстрация к книге — Управление персоналом [img5a9adbbfb2e34abdbad9e6dcbad0c740.jpg]

где ΔСчисл – прирост численности персонала в связи с расширением производства;

ΔCвозм – возмещение работников, ушедших с работы по различным причинам.

Определение численности административно-управленческого персонала фирмы производится с использованием формулы Розенкранца.

Особое значение для любой организации имеет численность административно-управленческого персонала (АУП), так как это связано с дополнительными затратами и оперативностью управления. Для расчета необходимой численности АУП используют следующую формулу:

Иллюстрация к книге — Управление персоналом [b00002902.jpg]

где n – количество видов управленческих работ, выполняемых данной категорией управленцев;

mi – среднее количество определенных действий (расчетов, переговоров, согласований и т. д.) в рамках i-й управленческой работы за определенный период времени (квартал, год);

ti – время, необходимое для выполнения единицы “m” действия в рамках i-го управленческого вида работ;

Тi – работа специалиста по контракту (договору) за соответствующий промежуток времени, принятый в расчетах (квартал, год);

Kнрв – коэффициент необходимого распределения времени;

Kфрв – коэффициент фактического распределения времени;

tр – время на различные виды работ, которые невозможно предвидеть и учесть в предварительных расчетах.

Для расчета коэффициента необходимого распределения времени используется следующая формула:

Kнрв = Kдр × Kо × qя,

где Kдр – коэффициент затрат на дополнительные работы (1,2 ≤ Kдр ≤1,4);

Kо – коэффициент затрат времени на отдых в течение рабочего дня (Kо ≈1,12);

qя – коэффициент пересчета явочной численности в списочную.

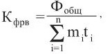
Расчет коэффициента фактического распределения времени проводится по формуле

Иллюстрация к книге — Управление персоналом [b00002913.jpg]

где Фобщ – общий фонд времени работы подразделений.

В плановых расчетах формула Розенкранца используется в следующем виде:

Иллюстрация к книге — Управление персоналом [b00002916.jpg]

где T – фонд времени работы одного сотрудника.

20.3. Сущность прогнозирования потребности в персонале

При прогнозировании потребности в персонале приходится решать ряд задач. К основным задачам относятся:

• учет внешних и внутрифирменных факторов, влияющих на потребность персонала;

• поиск источников замещения вакансий персонала;

• выбор путей поиска кандидатур;

• учет влияния правовой среды.

Вакансии на предприятии могут появляться по двум причинам: внешним и внутрифирменным.

К внешним причинам относятся:

• конъюнктура рынка труда;

• колебания спроса и предложения рабочей силы;

• политико-экономические причины.

Внутрифирменные причины связаны:

• с продвижением по службе и кадровыми перемещениями;

• ротацией (например, процесс поочередного овладения различными операциями, видами работы и профессиями в пределах одного и того же предприятия);

• заменой сотрудников из-за ухода на пенсию, призыва в армию, болезни;

• всевозможными конкурсами;

• расширением номенклатуры.

Для решения задачи прогнозирования потребности персонала используются следующие основные источники:

• биржи труда;

• центры трудоустройства;

• школы, колледжи, университеты;

• частные агентства;

• родственные предприятия;

• иммиграция;

• профсоюзы.

Выбор путей прогнозирования сводится к следующим вариантам:

• обращение в агентство;

• неформальные связи;

• презентации и Public Relations.

Правовые аспекты прогнозирования рассматриваются с позиций соответствия ТК РФ.

Вопросы для самоконтроля

1. Понятие потребности в персонале.

2. В чем сущность качественной потребности в персонале?

3. В чем сущность количественной потребности в персонале? 4. Назовите методы планирования количественной потребности в персонале.

5. Сущность прогнозирования потребности в персонале.

6. Методы прогнозирования потребности в персонале.

21. КОММУНИКАЦИИ В ОРГАНИЗАЦИИ
21.1. Содержание коммуникационного процесса

Коммуникации в организации обязательно присутствуют в деятельности как руководителя, так и работника. Недостаточное владение техникой коммуникаций увеличивает затраты времени на решение производственных вопросов, затрудняет достижение результата, рождает обиды и конфликты. Коммуникации во время непосредственных контактов с сослуживцами, при переписке, телефонных разговорах, на совещаниях, заседаниях, во время деловых переговоров и т. д. обязательно присутствуют в деятельности любого руководителя.

Руководитель вступает в управленческое общение с подчиненными, чтобы отдать распоряжения, указания что-либо порекомендовать, посоветовать, получить обратную информацию от подчиненного о выполнении задания, дать оценку выполнения задания подчиненным.

Следовательно, руководитель общается с персоналом, чтобы:

• передать или получить информацию или указания;

Вход
Поиск по сайту
Ищем:
Календарь