Книга Технология создания массового турпродукта, страница 72 – Владимир Веткин, Елена Винтайкина

Авторы: А Б В Г Д Е Ж З И Й К Л М Н О П Р С Т У Ф Х Ч Ш Ы Э Ю Я
Книги: А Б В Г Д Е Ж З И Й К Л М Н О П Р С Т У Ф Х Ц Ч Ш Щ Ы Э Ю Я
Бесплатная онлайн библиотека LoveRead.ec

Онлайн книга «Технология создания массового турпродукта»

📃 Cтраница 72

Кроме того, к полным затратам, относящимся к рассматриваемому турпродукту, надо прибавить некоторую часть затрат на содержание фирмы: – оплата аренды помещения под офис; – зарплата сотрудников; – хозяйственные расходы; – затраты на телефонные переговоры, факсы, электронную почту, интернет и т. п., а также некоторую часть затрат, относящихся ко всем видам производимых в фирме турпродуктов: – затраты на общую рекламу и продвижение с помощью выставок, рассылок и т. п. предлагаемого фирмой общего турпродукта и т. д. и т. п. Эти затраты обозначим Зфтпл). Не вдаваясь в тонкости экономики турфирмы, что выходит за рамки нашего пособия, заметим, что, во-первых, указанные затраты зависят от Ктпл, то есть от объема произведенного нами турпродукта данного типа, и, во-вторых, существуют методы расчета той части затрат на содержание фирмы, на продвижение и реализацию общего турпродукта, которая относится к интересующему нас типу турпродукта. То есть существуют методы расчета величины Зфтпл) и эта величина может быть представлена в виде

Зф(Ктпл) = С1кос × Ктпл,

где С1кос = Зфкос × С1прям / Зфпр, Зфкосполные косвенные затраты фирмы за год; Зфпрполные прямые затраты фирмы за год по рассматриваемому турпродукту; С1 прямсебестоимость турпродукта рассматриваемого типа, обусловленная прямыми затратами. С1косэто фигурирующая в формуле (3) часть себестоимости рассматриваемого турпродукта, обусловленная косвенными затратами. Видим, что С1 кос определяется как доля величины себестоимости единицы рассматриваемого турпродукта на уровне прямых затрат, причем эта доля определяется отношением величины полных косвенных затрат фирмы за год к величине полных прямых затрат за тот же год.

Могут существовать еще какие-то не упомянутые нами виды затрат. Это не существенно, поскольку если мы знаем их, то легко можем учесть. Существенным для решения поставленной в этом разделе задачи является зависимость каждого вида затрат от объема реализованной продукции, то есть от фактического количества КТ человек, купивших данный турпродукт.

Для выявления этой зависимости необходимо проанализировать все перечисленные нами затраты и разделить их на постоянные – Зпос, то есть не зависящие от объема реализованной продукции, и переменные Зперт), то есть пропорциональные фактическому количеству туристов, купивших данный турпродукт.

Полные фактические затраты З фирмы на производство и реализацию данного турпродукта за год, очевидно, будут равны сумме постоянных и переменных затрат

З = Зпос + Зперт) = Зпос + З1пер × Кт (11).

где З1персумма переменных затрат, относящихся к единице турпродукта, или, что то же самое, к одному туристу в течение тура; Ктфактическое количество туристов, купивших данный турпродукт в течение года.

Какие из перечисленных нами ранее затрат являются постоянными, то есть не зависящими от объема реализации данного турпродукта?

В первую очередь, это некоторая условно относящаяся к рассматриваемому турпродукту доля всех затрат на содержание турфирмы и общих затрат на продвижение и реализацию всего созданного на фирме турпродукта – мы обозначили ее Зфтпл), поскольку эта доля зависит от объема производства турпродукта данного типа, но не зависит от реально проданного количества туров. /Действительно, плата за помещение под офис никак не зависит от того, сколько человек купят наш турпродукт. То же, как правило, можно отнести к величине зарплаты персонала, хозяйственным расходам, затратам на рекламу, оплату телефона, факса и т. п./.

Во-вторых, это затраты на проектирование данного турпродукта – Зпрк. Они не зависят ни от объема производства турпродукта данного типа, ни от объема реализации этого турпродукта. Для определенности учтем их полностью в себестоимости турпродукта, произведенного за первый год.

В-третьих, это затраты на оплату забронированного нами блока мест в Отеле за весь сезон – Зоттпл), являющиеся фиксированной и невозвратной суммой. Эти затраты определяются количеством туристов, которое мы должны послать в Отель, но не зависят от количества, реально приехавших туристов.

В данном случае эта сумма, как легко сообразить, определяется количеством бронируемых нами мест Км, продолжительностью договора Тд, то есть количеством дней, в течение которых мы владеем этими местами и, следовательно, платим за них, и ценой Ц, которую мы платим за базовую услугу или базовый турпродукт / в нашем примере это цена только услуги размещения одного человека в номере данного типа, поскольку мы приняли, что питание оплачивается по фактически прибывшему количеству туристов/.

Таким образом, затраты на Отель – Зоттпл) определяются произведением

Зоттпл) = Км × Тд × Ц(12).

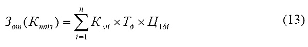
В общем случае, когда туроператор выбирает в данном средстве размещения не один тип номеров, а несколько, общее количество мест разделится на совокупность мест по каждому из взятых типов номеров. По каждому типу номеров будет своя цена Ц базовой услуги /турпродукта/. Таким образом, в общем случае затраты на оплату услуг Отеля запишутся в виде суммы нескольких слагаемых – по количеству типов забронированных номеров

Иллюстрация к книге — Технология создания массового турпродукта [i_004.jpg]

где i – принятый нами порядковый номер типа номера; n – количество типов номеров, выбранных нами для бронирования и создания своего турпродукта; Км iколичество мест в номерах i-того типа; Ц1бiцена единицы i-той базовой услуги /например, цена размещения в сутки одного человека в номере i-того типа/, или единицы i-того базового турпродукта /например, цена в сутки комплекса услуг на базе размещения в номере i-того типа/.

Цена Ц1бi в рассматриваемом случае зависит как от конкретного типа номера, так и от варианта получения мест – блок мест на условиях договора комитмента или элотмента, от размера блока и т. п.

Суть расчетов при этом не меняется, поэтому мы для простоты продолжаем вести рассмотрение для номеров одного типа.

Если количество мест, в номерах данного типа, которое мы бронируем в пансионате на каждый заезд – Км, а количество заездов за время действия договора Кз, то легко определить связь этих величин с количеством туристов Ктпл, которое надо отправить в Отель, чтобы заполнить все взятое количество мест в течение всего срока действия договора

Вход
Поиск по сайту
Ищем:
Календарь