Онлайн книга «Формирование стоимости и определение эффективности инвестиций»
|
Для непроизводственных объектов 2-й группы, строящихся преимущественно за счет бюджетных средств, прежде всего, определяется социальная эффективность. Коммерческая эффективность реализации инвестиционного проекта, осуществляемого за счет бюджетных средств, при должных условиях обеспечивается в деятельности подрядных организаций, предприятий промышленности строительных материалов и стройиндустрии, транспорта, энергетики, коммунального хозяйства. Расчет коммерческой эффективности для 2-й и 3-й групп инвестиционных проектов должен сопровождаться определением бюджетной эффективности. Бюджетная эффективность девелопмента также проявляет себя в двух основных аспектах: прямом и косвенном. Прямой бюджетный эффект проектов развития недвижимости находит свое отражение в тех платежах и налогах, которые непосредственно возникают в процессе реализации проектов девелопмента. К таким доходам бюджета могут быть отнесены платежи за право застройки, арендная плата за земельные участки, налоги на добавленную стоимость, прибыль застройщиков, инвесторов и подрядчиков, налоги с заработной платы работников, занятых в процессе реализации проектов. Косвенный бюджетный эффект – это те доходы (или бюджетная экономия), которые получает бюджет в процессе функционирования созданного объекта недвижимости, а именно налоги с имущества, земельный налог и другие, а также экономия в связи с повышением занятости населения, ростом их доходов и т. п. Эффективность участия государства в проекте определяется показателями бюджетной эффективности. Как и при оценке общественной эффективности, бюджетная эффективность определяется показателями, являющимися следствием социальных и экономических результатов осуществления жилищного и общественного строительства (рис. 5.4). ![]() Рис. 5.4. Показатели бюджетной эффективности вследствие достижения социальных и экономических результатов [110] Эффект мультипликации, увеличивающий объемы реального производства, находит отражение также в налоговой сфере. Бюджетная эффективность характеризуется следующими показателями: • чистый дисконтированный бюджетный доход за весь срок реализации проекта; • индекс доходности бюджетных инвестиций; • степень финансового участия государства в финансировании строительства жилья и других объектов социальной сферы, %. Интегральный чистый дисконтированный бюджетный доход определяется по формуле
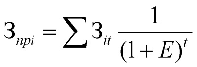
где Dбm и P бm – доходы и расходы бюджета по шагам расчета (m); Т – расчетный период, годы. Однако следует отметить, что при экономической оценке объектов непроизводственного назначения важнейшая роль отводится методам расчета сравнительной эффективности. Если инвестор вкладывает средства в строительство непроизводственных объектов для удовлетворения собственных потребностей в жилье, парковках для автомобилей, в дачных участках и т. п., то коммерческая эффективность таких проектов отсутствует. Однако инвестор заинтересован в приобретении качественного товара при сокращении инвестиционных затрат, т. е. в выборе наиболее выгодного проекта с точки зрения соотношения качества и затрат. При этом предпочтения различны в зависимости от уровня доходов и общественного положения потребителей. Так, небольшая группа населения, включающая политическую, деловую и культурную элиту, предпочитает дорогое престижное эксклюзивное жилье. Инвесторы со средними доходами стремятся приобрести достаточно комфортное жилье по разумной цене. Остальная преобладающая часть населения удовлетворяется массовым жильем, соответствующим по своим параметрам современным представлениям о жилище, но имеющим минимально возможную цену. В любом случае здесь речь идет о сравнительной оценке проектов, основанной на соизмерении качества и затрат. Строительство объектов социального назначения за счет бюджетных средств призвано обеспечить определенный социальный стандарт жизни населения в стране при минимизации затрат. Наиболее приемлем в этом случае расчет приведенных затрат по вариантам:
где Зit – затраты по i-му варианту на шаге t, включающие как инвестиционные, так и эксплуатационные расходы (руб.). Таким образом, расчеты сравнительной эффективности позволяют выбрать наиболее экономичный проект, отвечающий требованиям строительных норм и правил к объемно-планировочным решениям, санитарно-гигиеническим условиям, надежности строительных конструкций и другим характеристикам. Рекомендации по оценке социальных результатов строительства непроизводственных объектов Реализация инвестиционных проектов непроизводственного строительства, в том числе коммерческих, сопровождается социальными результатами. В расчетах эффективности следует отразить основные социальные результаты. Этот вопрос достаточно подробно был рассмотрен в диссертации Т. С. Крестовских, выполненной в 2001 г. (под руководством проф. Н. И. Барановской) [110]. Они могут быть использованы для оценки социальной эффективности жилищного строительства. В данной работе авторы ограничиваются рассмотрением системы показателей, характеризуются социальные результаты осуществления комплексной жилой застройки. При этом можно выделить две группы показателей. 1. Улучшение жилищных условий населения. 2. Создание комфортной жилой среды, включающей все необходимые объекты социальной инфраструктуры. Улучшение жилищных условий населения характеризуется следующими показателями: • повышение обеспеченности населения жильем (нормативная обеспеченность в настоящее время – 28 м2 общей площади квартир, в перспективе до 2025 г. – 35 м2); • снижение количества семей (человек), стоящих на очереди на улучшение жилищных условий; • темпы обеспечения жильем очередников, %; • уменьшение количества коммунальных квартир, их площади и удельного веса в общем объеме жилищного фонда, %; • улучшение состояния жилого фонда; • увеличение показателей ввода жилья, м2; • улучшение качественных характеристик нового жилого фонда (увеличение общей и жилой площади квартир, совершенствование их объемно-планировочных решений и др.). |
![Иллюстрация к книге — Формирование стоимости и определение эффективности инвестиций [i_106.jpg] Иллюстрация к книге — Формирование стоимости и определение эффективности инвестиций [i_106.jpg]](img/book_covers/065/65906/i_106.jpg)
![Иллюстрация к книге — Формирование стоимости и определение эффективности инвестиций [i_107.jpg] Иллюстрация к книге — Формирование стоимости и определение эффективности инвестиций [i_107.jpg]](img/book_covers/065/65906/i_107.jpg)
![Иллюстрация к книге — Формирование стоимости и определение эффективности инвестиций [i_108.jpg] Иллюстрация к книге — Формирование стоимости и определение эффективности инвестиций [i_108.jpg]](img/book_covers/065/65906/i_108.jpg)