Книга Формирование стоимости и определение эффективности инвестиций, страница 12 – Наталья Барановская, ФэйФэй Гу, НаньНань Чжан

Авторы: А Б В Г Д Е Ж З И Й К Л М Н О П Р С Т У Ф Х Ч Ш Ы Э Ю Я
Книги: А Б В Г Д Е Ж З И Й К Л М Н О П Р С Т У Ф Х Ц Ч Ш Щ Ы Э Ю Я
Бесплатная онлайн библиотека LoveRead.ec

Онлайн книга «Формирование стоимости и определение эффективности инвестиций»

📃 Cтраница 12

В ГЭСН приводятся данные о расходе ресурсов: затрат труда рабочих, чел. – ч; времени работы строительных машин, маш. – ч; материалов – натуральные показатели (м3, м2, т, шт., кг и т. д.) на принятый измеритель работ (обычно укрупненный), 100 м2, 100 м3 и т. п.

Сметные цены на ресурсы в сборниках единичных расценок приняты в базисных ценах на 01.01.2000 г. Сметные цены на эксплуатацию строительных машин и на материалы приводятся в соответствующих сборниках (ССЦ); федеральных (в базисных ценах) и для Санкт-Петербурга (в базисных и текущих ценах, ежемесячно).

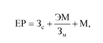
Единичная расценка (ЕР) – калькуляция прямых затрат на выполнение единицы работ или конструктивных элементов.

Иллюстрация к книге — Формирование стоимости и определение эффективности инвестиций [i_041.jpg]
, (3.1)

где Зс – заработная плата рабочих-строителей, руб.;

Зс=Hcчел. – ч × Стар(3.2)

Иллюстрация к книге — Формирование стоимости и определение эффективности инвестиций [i_042.jpg]
– расходы на эксплуатацию строительных машин, в том числе заработная плата машинистов (Зм), руб.;

Иллюстрация к книге — Формирование стоимости и определение эффективности инвестиций [i_043.jpg]
, (3.3)

М – материалы, руб.;

Иллюстрация к книге — Формирование стоимости и определение эффективности инвестиций [i_044.jpg]
, (3.4),

где

Hcчел. – ч – норма затрат труда рабочих-строителей на выполнение единицы работ, чел. – ч; Нмаш. – чi – норма затрат машинного времени на выполнение единицы работ, маш. – ч; i – виды машин; Hнорммj – норма расхода j-го материала на выполнение единицы работ, натуральные показатели (м3, м2, т и т. п.); Стар – тарифные ставки рабочего соответствующего разряда, руб./ч; Цмаш. – чi – сметная стоимость эксплуатации строительных машин, руб./маш. – ч; Цмj – сметная стоимость строительных материалов, руб./ед.

В сметах учитываются накладные расходы (состав их показан в главе 2, на рис. 2.2), сметная прибыль. Могут включаться так называемые лимитированные затраты: на временные здания и сооружения, зимние удорожания. Они также рассчитываются по сметным нормативам (рис. 3.2).

Для составления смет используются разные нормативные базы (в ценах на 01.01.2000 г.):

• при финансировании стройки из средств федерального бюджета (ФЕР-2001), издания 2009, 2014 гг.; для строек, финансируемых из средств бюджета Санкт-Петербурга:

• территориальная сметно-нормативная база ТСНБ «Госэталон 1.1» (для строек, начатых до 2012 г.);

• территориальная сметно-нормативная база ТСНБ «Госэталон-2012» – для строительства, начинаемого с 2012 г.

Иллюстрация к книге — Формирование стоимости и определение эффективности инвестиций [i_045.jpg]

Рис. 3.2. Сметные нормативы сопутствующих затрат при производстве строительно-монтажных работ


Для строек, финансируемых за счет средств частных инвесторов, локальные сметы обычно составляются по сборникам ТЕР-2001 СПб. (с дополнениями и изменениями), разработанными Санкт-Петербургским Региональным центром по ценообразованию в строительстве (РЦЦС СПб.), утвержденным и введенным в действие с 01.01.2002 г. приказом Комитета экономики и промышленной политики Администрации Санкт-Петербурга от 07.09.2001 г. № 223 (с учетом дополнений и изменений, введенных в период 2002–2013 гг.).

3.2. Порядок составления сметной документации на комплексное жилищное строительство

Локальные сметы – это первичная сметная документация. Они составляются на отдельные виды работ и затрат по зданиям и сооружениям, общеплощадочным работам.

В соответствии с действующим порядком сметная документация на экспертизу должна представляться в базисном (без индексации затрат) и текущем уровнях цен.

Сметная стоимость строительных работ в базисных ценах определяется по формуле (3.5):

Иллюстрация к книге — Формирование стоимости и определение эффективности инвестиций [i_046.jpg]
, (3.5)

где Vi – физический объем работ в натуральных измерителях; i (1, 2…., n) – виды работ в смете; ЕРi – единичная расценка на i-й вид работ, руб.;

Иллюстрация к книге — Формирование стоимости и определение эффективности инвестиций [i_047.jpg]
– прямые затраты по смете; НР – накладные расходы, определяются в процентах от фонда оплаты труда рабочих-строителей и машинистов (Зсм) по нормам, установленным в МДС81– 33.2004; Псм – сметная прибыль, определяется в процентах от фонда оплаты труда рабочих-строителей и машинистов (Зсм) по нормам, установленным в МДС81–25.2001 (с изменениями).

В текущих ценах – с индексацией статей прямых затрат; накладные расходы с коэффициентом 0,85 и сметная прибыль – с коэффициентом 0,8 (по письму Минрегиона от 17.03.2011 г.).

Применяются два метода индексации: по статьям затрат или общей сметной стоимости:

• при индексации статей прямых затрат:

Иллюстрация к книге — Формирование стоимости и определение эффективности инвестиций [i_048.jpg]
, (3.6)


где Jзп, Jм, Jмат – индексы оплаты труда рабочих, эксплуатации машин, стоимости материалов по видам работ;

• при индексации общей сметной стоимости строительно-монтажных работ:

Иллюстрация к книге — Формирование стоимости и определение эффективности инвестиций [i_049.jpg]
(3.7)

где Jтек – индексы к общей сметной стоимости по зданиям, сооружениям и видам строительно-монтажных работ.

Вход
Поиск по сайту
Ищем:
Календарь