Книга Оценка компаний. Анализ и прогнозирование с использованием отчетности по МСФО, страница 14 – Ник Антилл, Кеннет Ли

Авторы: А Б В Г Д Е Ж З И Й К Л М Н О П Р С Т У Ф Х Ч Ш Ы Э Ю Я
Книги: А Б В Г Д Е Ж З И Й К Л М Н О П Р С Т У Ф Х Ц Ч Ш Щ Ы Э Ю Я
Бесплатная онлайн библиотека LoveRead.ec

Онлайн книга «Оценка компаний. Анализ и прогнозирование с использованием отчетности по МСФО»

📃 Cтраница 14
Иллюстрация к книге — Оценка компаний. Анализ и прогнозирование с использованием отчетности по МСФО [i_023.jpg]

Такая логика общепризнана. Это отправная точка, с которой в учебниках начинается разговор об оптимизации налогов и цене риска дефолта. Однако есть один вопрос, который часто остается без внимания и который имеет смысл обсудить более подробно.

Оценки, приведенные в табл. 2.3, получены путем деления годовых денежных потоков на норму дисконтирования – 100 долл. в год, дисконтированные по 10 %, оцениваются в 1000 долл. Но что будет, если денежные потоки растут? Формула расчета стоимости бесконечно растущего денежного потока известна. В качестве примера можно взять расчет из табл. 2.2: доля заемного капитала составляет 50 %, а ежегодный рост составляет 3 %. В табл. 2.3 денежные потоки оценены независимо друг от друга с помощью модели Гордона, затем компания в целом оценена с использованием средневзвешенной стоимости капитала.

Иллюстрация к книге — Оценка компаний. Анализ и прогнозирование с использованием отчетности по МСФО [i_024.jpg]

Что же произошло? Очевидно, что полученные оценки недостоверны. Сумма отдельных частей получилась больше целого, что нелогично. Беда в том, что при увеличении g влияние знаменателя на оценку не линейное. При относительно малых значениях k влияние такого увеличения будет непропорционально велико. Такой неудовлетворительный вывод вынуждает вернуться к предположениям, на которых был основан первоначальный анализ Миллера и Модильяни. Их модель предполагает, что на рынке не существует налогов и дефолтов, отсутствует рост. Методы учета налогообложения и риска дефолта в первоначальной модели известны и используются довольно давно. Однако влиянию роста бизнеса на его оценку не было уделено столько же внимания, что весьма странно, ибо оно потенциально намного сильнее, учитывая, что большинство оценочных моделей предполагают постоянный темп роста по окончании прогнозного периода.

Поэтому изложенный ниже подход к практическому расчету ставки дисконтирования будет отличаться от принятого в учебниках и мы рассмотрим ситуации как постоянных, так и растущих денежных потоков.

Обычно специалисты по финансовому рынку используют теоретические подходы, которые идеально работают в статичном мире, но не подходят для анализа растущих компаний.

К несчастью, результатом оказывается систематическая переоценка бизнеса (как показано в табл. 2.3).

Таким образом, в процессе модификации формулы ставки дисконтирования с целью учета налогов и риска дефолта необходимо также учесть рост компаний. В связи с этим следует упомянуть, что приведенный ниже анализ не первый в своем роде. В библиографии можно найти ссылки на работы, где проведен этот анализ, но, возможно, из-за сложности его результаты не применяются на практике. Именно это обстоятельство хотелось бы изменить.

4. Финансовый рычаг и стоимость акционерного капитала

Вернемся к рис. 2.10. Поскольку предполагается, что риска дефолта не существует, то стоимость долга не изменяется и должна быть эквивалентна безрисковой ставке процента. В такой ситуации в качестве приближения обычно используется доходность при погашении государственных долгосрочных ценных бумаг. При изменении финансового рычага стоимость акционерного капитала изменяется таким образом, что оценка компании остается неизменной. Формула оценки акционерного капитала в соответствии со стандартной моделью САРМ такова:

KE = RF + (RM − RF) × B,

где KE – стоимость акционерного капитала, RM – ожидаемая доходность фондового рынка, RF – безрисковая ставка и B – бета акции компании.

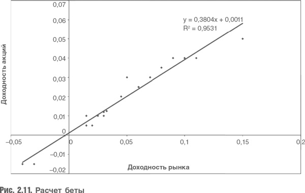
Как было сказано выше, бету принято рассматривать как меру ковариации доходности акции и доходности фондового рынка в целом. В основе этого утверждения лежит предположение (его обсуждение остается за рамками этой книги) о том, что инвесторы считают акции частью портфеля своих активов. Поэтому их не беспокоит волатильность ожидаемой доходности отдельных акций. Вместо этого они следят за волатильностью доходности портфеля в целом. Бета обычно измеряется как угол наклона линии регрессии между доходностью акции и доходностью рынка, для построения которой используются фактические данные о доходности за определенный период, например ежемесячные данные за пять лет (рис. 2.11).

В данном случае бета равна 0,38, это относительно низкое значение, а рыночная доходность объясняет 95 % доходности акции – это достаточно высокое значение с точки зрения статистической значимости регрессии. В реальности оценки часто оказываются статистически незначимыми.

В условиях эффективного рынка пересечение с осью ординат должно быть в нуле. Будучи положительным или отрицательным, этот коэффициент известен как альфа. Портфельные менеджеры подыскивают акции с положительными значениями коэффициента альфа. Индексные портфели строятся на предположении, что альфы носят случайный характер и непредсказуемы. В примере, приведенном выше, коэффициент альфа положительный, но пренебрежимо мал.

Иллюстрация к книге — Оценка компаний. Анализ и прогнозирование с использованием отчетности по МСФО [i_025.jpg]

Наибольшее влияние на величину бета акции конкретной компании, с операционной точки зрения, оказывает степень востребованности продукции компании в разные фазы экономического цикла. Кроме этого, бета напрямую зависит от финансовой структуры компании. Акции даже очень стабильного бизнеса могут характеризоваться высокой бетой, если доля долгового финансирования слишком высокая, поскольку большой финансовый рычаг усиливает волатильность доходов акционеров. Зависимость беты и финансового рычага (без учета риска дефолта) выражается следующим образом:

BL = BA × (1 + VD/VE),

где BL – бета с учетом финансового рычага, BA – бета без учета финансового рычага (бета актива), VD – рыночная стоимость долга, VE – рыночная стоимость акционерного капитала.

Перейти от беты без учета рычага к бете актива можно с помощью аналогичной формулы:

BA = BL / (1+VD/VE).

Чтобы разобраться в этой формуле, предположим, что рыночные стоимости заимствований и акционерного капитала компании равны. Тогда соотношение VD/VE равно 100 %. Любое изменение общей стоимости активов будет удваиваться в применении к акционерному капиталу, как показано в табл. 2.4.

Иллюстрация к книге — Оценка компаний. Анализ и прогнозирование с использованием отчетности по МСФО [i_026.jpg]
Вход
Поиск по сайту
Ищем:
Календарь