Книга Фрукторианство. Новый взгляд на эволюцию питания человека, страница 42 – Артем Демчуков

Авторы: А Б В Г Д Е Ж З И Й К Л М Н О П Р С Т У Ф Х Ч Ш Ы Э Ю Я
Книги: А Б В Г Д Е Ж З И Й К Л М Н О П Р С Т У Ф Х Ц Ч Ш Щ Ы Э Ю Я
Бесплатная онлайн библиотека LoveRead.ec

Онлайн книга «Фрукторианство. Новый взгляд на эволюцию питания человека»

📃 Cтраница 42

От всего сердца желаю каждому читателю крепкого здоровья, гармонии и неиссякаемого источника бодрости!!!

Фрукторианство с точки зрения науки
Глава 16
Биохимия гниения белка

Ещё в начале ХХ века великий физиолог И. Мечников утверждал, что процессы гниения белковой пищи в кишечнике и вызываемая ими аутоинтоксикация – главное препятствие в достижении долголетия. В своих экспериментах он вводил подопытным животным гнилостные продукты из кишечника человека и наблюдал у них появление различных патологических состояний организма.


Многочисленные гнилостные микроорганизмы кишечника для своего роста и размножения могут использовать целый ряд аминокислот: цистин, цистеин, метионин, орнитин, лизин, фенилаланин, тирозин и триптофан. Эти восемь аминокислот присутствуют в любых белках, и поэтому процесс гниения в равной степени присущ как животной, так и растительной пище – причём независимо от того, прошла она термообработку или нет.

Патогенная микрофлора кишечника располагает набором ферментных систем, отличных от соответствующих ферментов человека и катализирующих самые разнообразные превращения аминокислот и белковых молекул нашей пищи. Поэтому на высокобелковом рационе в кишечнике человека создаются оптимальные условия для образования ядовитых продуктов распада аминокислот – фенола, индола, крезола, скатола, сероводорода, метилмеркаптана, кадаверина, путресцина и т. д.

Суммарное токсическое действие этих веществ оказывает отрицательный эффект на весь организм человека. Даже в малых концентрациях продукты гниения белка могут вызывать головную боль, тошноту и общее ухудшение самочувствия. А в высоких концентрациях многие из этих соединений обладают выраженным нейротоксичным действием, поражают центральную нервную систему, вызывают психические и неврологические расстройства, а также могут провоцировать депрессию.

Процесс, включающий многочисленные превращения аминокислот, вызванные деятельностью микроорганизмов кишечника, получил общее название гниение белков в кишечнике.

Серосодержащие аминокислоты (цистин, цистеин, метионин) в процессе их распада в кишечнике образуются токсичные газы с ярко выраженным отталкивающим запахом – сероводород (H2S) и метил-меркаптан (CH3SH).

Диаминокислоты (орнитин и лизин) – подвергаются процессу декарбоксилирования с образованием токсичных соединений путресцина и кадаверина.

Ароматические аминокислоты (фенилаланин, тирозин и триптофан): при аналогичном бактериальном декарбоксилировании образуются соответствующие ядовитые субстанции – фенилэтиламин, параоксифенилэтиламин и индолилэтиламин.

Циклические аминокислоты (тирозин и триптофан): ферменты кишечной микрофлоры, помимо всего прочего, вызывают постепенное разрушение боковых цепей циклических аминокислот, что в свою очередь приводит к образованию ядовитых продуктов обмена – крезола и фенола, скатола и индола.

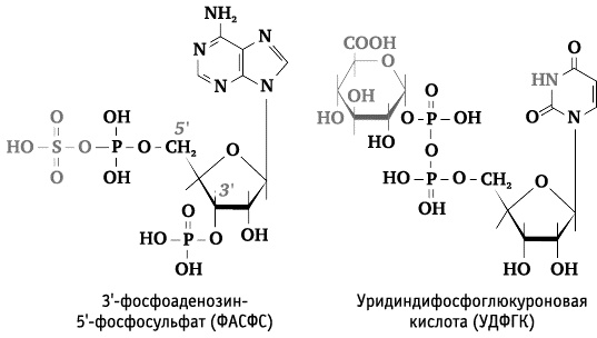
После всасывания эти продукты через воротную вену попадают в печень, где подвергаются обезвреживанию путём химического связывания с серной или глюкуроновой кислотой с образованием нетоксичных, так называемых парных кислот (например, фенолсерная или скатоксилсерная кислота). Последние выделяются с мочой. Механизм обезвреживания этих продуктов изучен детально.

Иллюстрация к книге — Фрукторианство. Новый взгляд на эволюцию питания человека [_175.jpg]

В печени содержатся специфические ферменты – арилсульфотрансфераза и УДФ-глюкоронилтран-сфераза, катализирующие соответственно перенос остатка серной кислоты из её связанной формы – 3-фосфоаденозин-5-фосфосульфата (ФАФС) – и остатка глюкуроновой кислоты, также из её связанной формы – уридил-дифосфоглюкуроновой кислоты (УДФГК), – на любой из указанных продуктов.

Иллюстрация к книге — Фрукторианство. Новый взгляд на эволюцию питания человека [_176.jpg]

Индол и скатол предварительно подвергаются окислению в индоксил и скатоксил, которые впоследствии взаимодействуют с ферментами ФАФС или с УДФГК и превращаются в индоксилсерную и скатоксилсерную кислоту или соответственно в индоксилглюкуроновую и скатоксилглюкуроновую кислоту. В итоге эти конечные продукты нейтрализации токсичных метаболитов становятся хорошо растворимыми в воде и выводятся с мочой через почки.

Последствия гниения белка в кишечнике человека
1. Закисление тканей и нарушение микроциркуляции

Микроциркуляция – это движение крови и лимфы по микрососудам капиллярного типа, а также движение межклеточной жидкости и метаболитов по межклеточным пространствам.

Вследствие того что в организме человека все вышеперечисленные токсичные продукты гниения белка подвергаются обезвреживанию путём химического связывания с серной или глюкуроновой кислотой, в тканях тела происходит накопление кислых продуктов метаболизма. А, как известно, при сдвигах pH-фактора в кислую сторону происходит дегидратация соединительной ткани и переход межклеточного вещества в состояние плохо проницаемого геля.

В итоге у человека возникает отёчность и наступает ухудшение микроциркуляции тканей, что неизбежно приводит к нарушению их нормального метаболизма и ослаблению функциональной активности.

2. Воспалительный процесс в кишечнике и печени

Как известно, в зависимости от характера предпочитаемого пищевого субстрата кишечную микрофлору человека разделяют на две основные группы:

сахаролитическая нормофлора (расщепляет сахара), относится преимущественно к грамположительным микроорганизмам – это бифидобактерии, лактобактерии, энтерококки, клостридии и т. д.;

протеолитическая микрофлора (расщепляет белки), относится в основном к грамотрицательным микроорганизмам – это кишечная палочка, бактероиды, протей, фузобактерии и т. д.

Примечательным в этом подразделении кишечной микрофлоры является то, что все гнилостные микроорганизмы, помимо того что отравляют организм человека трупными ядами, ещё и выделяют особый эндотоксин – липополисахарид. Это биологически активное вещество является компонентом наружной стенки всех грамотрицательных бактерий.

В организме человека эндотоксин проникает через слизистую в ткани и кровь, где распознаётся иммунными клетками и вызывает сильный иммунный ответ. Именно поэтому бактериальный эндотоксин гнилостной микрофлоры играет ключевую роль в развитии воспалительного процесса в толстом кишечнике, печени и эндотелии кровеносных сосудов.

3. Гипераммониемия (повышение уровня аммиака в организме)

В результате гниения белков в кишечнике человека образуется и всасывается в кровь токсичный газ аммиак. Даже небольшое повышение его концентрации оказывает неблагоприятное действие на организм, и прежде всего на ЦНС. Этот ядовитый газ легко проникает через мембраны в клетки и изменяет течение некоторых биохимических реакций в митохондриях. Результатом воздействия аммиака на метаболизм тканей мозга является кислородное и энергетическое голодание нейронов, изменение нормального обмена аминокислот, а также подавление синтеза некоторых нейромедиаторов. Поэтому активное гниение белковой пищи в кишечнике может приводить к различным неврологическим и психическим нарушениям.

Вход
Поиск по сайту
Ищем:
Календарь