Книга Таро здоровья и благополучия, страница 2 – Вера Склярова

Авторы: А Б В Г Д Е Ж З И Й К Л М Н О П Р С Т У Ф Х Ч Ш Ы Э Ю Я
Книги: А Б В Г Д Е Ж З И Й К Л М Н О П Р С Т У Ф Х Ц Ч Ш Щ Ы Э Ю Я
Бесплатная онлайн библиотека LoveRead.ec

Онлайн книга «Таро здоровья и благополучия»

📃 Cтраница 2

Пример расклада «Десять небесных стволов»

Пример прогноза здоровья пожилой Дамы, вдовы, которая настолько плохо себя чувствует, что, как она выражается, «жизнь ей не мила». Просит одно сказать: когда же наступит конец ее мучениям? При всем этом она не состоит на учете ни по одному заболеванию и вообще не обращается к врачам.

Расклад проводится по первому варианту, Старшими Арканами. Вид расклада представлен на рис. 2.

Арканы:

• в поз. 1 – «сердце», сердечные заболевания;

• в поз. 2 – «тонкий кишечник», заболевания тонкого кишечника;

• в поз. 3 – «желудок» и заболевания, связанные с ним, в том числе заболевания двенадцатиперстной кишки;

• в поз. 4 – «гепатобилиарная зона», в том числе заболевания селезенки, нарушения формулы крови;

• в поз. 5 – «легкие», перикард, бронхи, астма;

• в поз. 6 – «толстый кишечник», а также аллергия, кожные дисфункции;

• в поз. 7 – «почки», мочеполовая система;

• в поз. 8 – «гинекология»;

• в поз. 9 – «печень», органы кровообращения;

• в поз. 10 – «желчевыводящие пути» и все, что с этим связано.

Вообще говоря, здоровье по Таро можно предсказывать довольно точно, вплоть до профессиональных заболеваний, послеоперационных и посттравматических синдромов, родовспоможения, операций разного уровня и т. д. Данная тема – одна из глобальных прогностических в Таро, поэтому все же лучше использовать специальную колоду – Парацельса.

Иллюстрация к книге — Таро здоровья и благополучия [_15.jpg]

Рис. 2. Пример расклада «Десять небесных стволов» для Дамы Мечей. Вариант 1


Диагностика нашей Дамы такова:

• сердце пошаливает – возможно, возрастные изменения, но это то «заболевание», которое лечится валокордином, корвалолом и валерианой, иногда нитроглицерином. Серьезных нарушений нет;

• тонкий кишечник – основного заболевания также нет, но имеет место наследственная предрасположенность к нарушению стула, диарее;

• желудок и желудочно-кишечный тракт – заболеваний нет. Возможно нарушение кислотности, она, скорее всего, повышена;

• селезенка и кроветворные органы – здесь есть серьезное нарушение формулы крови, проблемы значительные. Рекомендация: немедленно сдать кровь на полное обследование, в том числе на «химию»;

• легкие в норме. Лет через десять возможны нарушения легочного плана;

• толстый кишечник нездоров. Возможно, имеет место геморрой. Рекомендация: проверить;

• почки – есть пиелонефрит. Рекомендация: сдать анализ мочи на белок;

• гинекология «сомнительна». Возможно, были операции в прошлом, а сейчас не уделяется должное внимание;

• печень – здесь тоже проблемы. Возможно, они вызваны неверным режимом питания. Рекомендация: обратиться к диетологу; желчный пузырь переполнен камнями, причем уже около трех лет, это серьезная проблема. Рекомендация: посоветоваться с врачом по поводу удаления.

Картина ясна абсолютно.

Если Клиент спрашивает, делать ли операцию, которую советуют врачи, также можно спросить у Таро о целесообразности ее проведения, но расклад следует делать по варианту 3 или 4, тогда по Младшим Арканам можно будет даже подсказать Клиенту, когда лучше лечь на операцию, если ложиться все-таки нужно. Как вести себя в послеоперационный период, тоже может прекрасно подсказать Таро: что лучше – возможно, нетрадиционное лечение, траволечение, гомеопатия и тому подобное. Лучшего диагноста и вообще специалиста в области здравоохранения просто нет – только Таро. Оно подскажет будущей матери, кто у нее родится, то есть пол ребенка, какими будут роды, возможность кесарева сечения. Одним словом, Таро ЗНАЕТ ВСЕ! Оно даже дает рекомендации, показана ли операция за рубежом, и объяснит почему.

Подобные расклады помогают Клиенту подтвердить опасения или, напротив, снять их. Это не исключает необходимости посещения врачей, обращения к официальной медицине; здесь дается только прогноз. Мастера не проводят лечение через Таро, они ставят диагноз и, увидев серьезные нарушения, немедленно направляют больного к врачу.

В СОЧЕТАНИЯХ АРКАНОВ всех групп также даны полные описания недугов человека, поэтому опытный Мастер, проводя расклады не только о здоровье, сразу же сумеет уловить те вибрации тонкого уровня, которые осторожно намекают на проблемы со здоровьем. Следует незамедлительно обратить на них внимание наших Клиентов. Таро – настолько мудрая система знаний, что может заранее сигнализировать о болезнях, еще не проявившихся у Клиента, или о болезнях наследственных, профессиональных и других.

Слушайте голос Таро! Будьте здоровы, и да поможет вам в этом бессмертный Ангел Каббалы, великий Сандальфон!

Расклад «Восемь лучей надежды»

Расклад прорицает возможности облегчения существования в экстремальных условиях, давая НАДЕЖДУ, реально существующую в этих условиях для вибраций реального Клиента.


Методика и техника расклада

Схема расклада представлена на рис. 3.

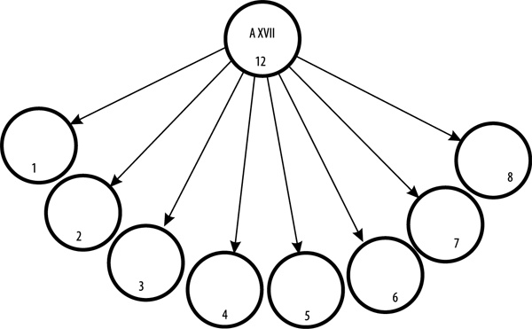
Картой-сигнификатором служит Старший Аркан «Звезда», XVII. Символ Аркана – большая Звезда в окружении семи малых. Итого звезд всего ВОСЕМЬ, как и суммарный номер Аркана: 17 = 1 + 7 = 8.

Расклад «Восемь лучей надежды» прорицает возможности облегчения существования в экстремальных условиях, давая надежду, реально существующую в этих условиях для вибраций реального Клиента.

На базе Аркана «Звезда» проводится данный расклад. Он выявляет степень надежды.

Расклад проводится по всем вариантам. Всего в раскладе работают ВОСЕМЬ Арканов установленного достоинства.

Иллюстрация к книге — Таро здоровья и благополучия [_17.jpg]

Рис. 3. Схема расклада «Восемь лучей надежды»


Пример расклада «Восемь лучей надежды»

Для Дамы Жезлов, узнавшей о том, что тяжело и неизлечимо больна.

Расклад проводится только Старшими Арканами, по первому варианту.

Колода Старших Арканов (без сигнификатора, который вынут из колоды ранее, вокруг него будет производиться расклад) стасована, дана Клиентке на «подснятие», после чего восемь Арканов вынуты наугад закрыто и разложены в свои позиции, с 1-й по 8-ю.

Чтение проводится последовательно, с первой позиции по восьмую. Номера Арканов в раскладе – против часовой стрелки.

Расклад для Дамы Жезлов представлен на рис. 4.

Чтение расклада.

Да, диагноз установлен верно, Дама и сама давно знала, что серьезно больна. Надвигается катастрофа, фатальное предопределение, Дьявол сыграл с Дамой злую шутку, он продолжает разрушать ее организм, неся крах, конец, и он будет ужасным, ибо Аркан XII сигнализирует об этом. Но нужно что-то делать, следует ВЫБРАТЬ ПУТЬ – или длительного лечения, сопряженного с НАДЕЖДОЙ НА ИСЦЕЛЕНИЕ, или… А ведь другого пути нет! Вот что твердо женщина должна усвоить, понять и укрепить свой ДУХ. С нею великая надежда, – надежда на чудо, которому всегда есть место в жизни. Так будем же надеяться на лучшее!

Вход
Поиск по сайту
Ищем:
Календарь